让研究人员绞尽脑汁的Transformer位置编码

2021 年 2 月 24 日 PaperWeekly


©PaperWeekly 原创 · 作者|苏剑林

单位|追一科技

研究方向|NLP、神经网络


不同于 RNN、CNN 等模型,对于 Transformer 模型来说,位置编码的加入是必不可少的,因为纯粹的 Attention 模块是无法捕捉输入顺序的,即无法区分不同位置的 Token。

为此我们大体有两个选择:1、想办法将位置信息融入到输入中,这构成了绝对位置编码的一般做法;2、想办法微调一下 Attention 结构,使得它有能力分辨不同位置的 Token,这构成了相对位置编码的一般做法。

虽然说起来主要就是绝对位置编码和相对位置编码两大类,但每一类其实又能衍生出各种各样的变种,为此研究人员可算是煞费苦心、绞尽脑汁了,此外还有一些不按套路出牌的位置编码。本文就让我们来欣赏一下研究人员为了更好地表达位置信息所构建出来的“八仙过海,各显神通”般的编码方案。


绝对位置编码
形式上来看,绝对位置编码是相对简单的一种方案,但即便如此,也不妨碍各路研究人员的奇思妙想,也有不少的变种。一般来说,绝对位置编码会加到输入中:在输入的第 k 个向量 中加入位置向量 变为 ,其中 只依赖于位置编号 k。
1.1 训练式
很显然,绝对位置编码的一个最朴素方案是不特意去设计什么,而是直接将位置编码当作可训练参数,比如最大长度为 512,编码维度为 768,那么就初始化一个 的矩阵作为位置向量,让它随着训练过程更新。
现在的 BERT、GPT 等模型所用的就是这种位置编码,事实上它还可以追溯得更早,比如 2017 年 Facebook 的《Convolutional Sequence to Sequence Learning》 [1] 就已经用到了它。

对于这种训练式的绝对位置编码,一般的认为它的缺点是没有外推性,即如果预训练最大长度为 512 的话,那么最多就只能处理长度为 512 的句子,再长就处理不了了。当然,也可以将超过 512 的位置向量随机初始化,然后继续微调。

但笔者最近的研究表明,通过层次分解的方式,可以使得位置编码能外推到足够长的范围,同时保持还不错的效果,细节请参考笔者之前的文章 层次分解位置编码,让 BERT 可以处理超长文本。
1.2 三角式
三角函数式位置编码,一般也称为 Sinusoidal 位置编码,是 Google 的论文《Attention is All You Need》 [2] 所提出来的一个显式解:

其中 分别是位置 k 的编码向量的第 个分量。

很明显,三角函数式位置编码的特点是有显式的生成规律,因此可以期望于它有一定的外推性。

另外一个使用它的理由是:由于 以及 ,这表明位置 的向量可以表示成位置 位置 的向量组合,这提供了表达相对位置信息的可能性。但很奇怪的是,现在我们很少能看到直接使用这种形式的绝对位置编码的工作,原因不详。
1.3 递归式
原则上来说,RNN 模型不需要位置编码,它在结构上就自带了学习到位置信息的可能性(因为递归就意味着我们可以训练一个“数数”模型),因此,如果在输入后面先接一层 RNN,然后再接 Transformer,那么理论上就不需要加位置编码了。
同理,我们也可以用 RNN 模型来学习一种绝对位置编码,比如从一个向量 出发,通过递归格式 来得到各个位置的编码向量。
ICML 2020 的论文《Learning to Encode Position for Transformer with Continuous Dynamical Model》 [3] 把这个思想推到了极致,它提出了用微分方程(ODE) 的方式来建模位置编码,该方案称之为 FLOATER。显然,FLOATER 也属于递归模型,函数 可以通过神经网络来建模,因此这种微分方程也称为神经微分方程,关于它的工作最近也逐渐多了起来。
理论上来说,基于递归模型的位置编码也具有比较好的外推性,同时它也比三角函数式的位置编码有更好的灵活性(比如容易证明三角函数式的位置编码就是 FLOATER 的某个特解)。但是很明显,递归形式的位置编码牺牲了一定的并行性,可能会带速度瓶颈。
1.4 相乘式
刚才我们说到,输入 与绝对位置编码 的组合方式一般是 ,那有没有“不一般”的组合方式呢?比如 (逐位相乘)?我们平时在搭建模型的时候,对于融合两个向量有多种方式,相加、相乘甚至拼接都是可以考虑的,怎么大家在做绝对位置编码的时候,都默认只考虑相加了?

很抱歉,笔者也不知道答案。可能大家默认选择相加是因为向量的相加具有比较鲜明的几何意义,但是对于深度学习模型来说,这种几何意义其实没有什么实际的价值。

最近笔者看到的一个实验显示,似乎将“加”换成“乘”,也就是 的方式,似乎比 能取得更好的结果。具体效果笔者也没有完整对比过,只是提供这么一种可能性。关于实验来源,可以参考《中文语言模型研究:(1) 乘性位置编码》 [4]


相对位置编码

相对位置并没有完整建模每个输入的位置信息,而是在算 Attention 的时候考虑当前位置与被 Attention 的位置的相对距离,由于自然语言一般更依赖于相对位置,所以相对位置编码通常也有着优秀的表现。对于相对位置编码来说,它的灵活性更大,更加体现出了研究人员的“天马行空”。
2.1 经典式

相对位置编码起源于 Google 的论文《Self-Attention with Relative Position Representations》[5],华为开源的 NEZHA 模型也用到了这种位置编码,后面各种相对位置编码变体基本也是依葫芦画瓢的简单修改。

一般认为,相对位置编码是由绝对位置编码启发而来,考虑一般的带绝对位置编码的 Attention:

其中 softmax 对 j 那一维归一化,这里的向量都是指行向量。我们初步展开

为了引入相对位置信息,Google 把第一项位置去掉,第二项 改为二元位置向量 ,变成:

以及 中的 换成

所谓相对位置,是将本来依赖于二元坐标 (i,j) 的向量 ,改为只依赖于相对距离 i-j,并且通常来说会进行截断,以适应不同任意的距离:

这样一来,只需要有限个位置编码,就可以表达出任意长度的相对位置(因为进行了截断),不管 是选择可训练式的还是三角函数式的,都可以达到处理任意长度文本的需求。

2.2 XLNET式

XLNET 式位置编码其实源自 Transformer-XL 的论文《Transformer-XL: Attentive Language Models Beyond a Fixed-Length Context》[6],只不过因为使用了 Transformer-XL 架构的 XLNET [7] 模型并在一定程度上超过了 BERT 后,Transformer-XL 才算广为人知,因此这种位置编码通常也被冠以 XLNET 之名。

XLNET 式位置编码源于对上述 的完全展开:

Transformer-XL 的做法很简单,直接将 替换为相对位置向量 ,至于两个 ,则干脆替换为两个可训练的向量

此外, 上的位置偏置就直接去掉了,即直接令 似乎从这个工作开始,后面的相对位置编码都只加到 Attention 矩阵上去,而不加到 上去了。
2.3 T5式

T5 模型出自文章《Exploring the Limits of Transfer Learning with a Unified Text-to-Text Transformer》[8],里边用到了一种更简单的相对位置编码。思路依然源自展开式(7),如果非要分析每一项的含义,那么可以分别理解为“输入-输入”、“输入-位置”、“位置-输入”、“位置-位置”四项注意力的组合。

如果我们认为输入信息与位置信息应该是独立(解耦)的,那么它们就不应该有过多的交互,所以“输入-位置”、“位置-输入”两项 Attention 可以删掉,而 实际上只是一个只依赖于 (i,j) 的标量,我们可以直接将它作为参数训练出来,即简化为:

说白了,它仅仅是在 Attention 矩阵的基础上加一个可训练的偏置项而已,而跟 XLNET 式一样,在 上的位置偏置则直接被去掉了。包含同样的思想的还有微软在 ICLR 2021 的论文《Rethinking Positional Encoding in Language Pre-training》 [9] 中提出的 TUPE 位置编码。
比较“别致”的是,不同于常规位置编码对将 视为 i-j 的函数并进行截断的做法,T5 对相对位置进行了一个“分桶”处理,即相对位置是 i-j 的位置实际上对应的是 f(i-j) 位置,映射关系如下:

具体的映射代码,读者自行看源码就好。这个设计的思路其实也很直观,就是比较邻近的位置(0~7),我们需要比较得精细一些,所以给它们都分配一个独立的位置编码,至于稍远的位置(比如8~11),我们不用区分得太清楚,所以它们可以共用一个位置编码,距离越远,共用的范围就可以越大,直到达到指定范围再 clip。
2.4 DeBERTa式

DeBERTa 也是微软搞的,去年 6 月就发出来了,论文为《DeBERTa: Decoding-enhanced BERT with Disentangled Attention》[10],最近又小小地火了一把,一是因为它正式中了 ICLR 2021,二则是它登上 SuperGLUE [11] 的榜首,成绩稍微超过了 T5。

其实 DeBERTa 的主要改进也是在位置编码上,同样还是从展开式(7)出发,T5 是干脆去掉了第 2、3 项,只保留第 4 项并替换为相对位置编码,而 DeBERTa 则刚刚相反,它扔掉了第 4 项,保留第 2、3 项并且替换为相对位置编码(果然,科研就是枚举所有的排列组合看哪个最优):

至于 的设计也是像式(6)那样进行截断的,没有特别的地方。

不过,DeBERTa 比较有意思的地方,是提供了使用相对位置和绝对位置编码的一个新视角,它指出 NLP 的大多数任务可能都只需要相对位置信息,但确实有些场景下绝对位置信息更有帮助,于是它将整个模型分为两部分来理解。

以 Base 版的 MLM 预训练模型为例,它一共有 13 层,前 11 层只是用相对位置编码,这部分称为 Encoder,后面 2 层加入绝对位置信息,这部分它称之为 Decoder,还弄了个简称 EMD(Enhanced Mask Decoder);至于下游任务的微调截断,则是使用前 11 层的 Encoder 加上 1 层的 Decoder 来进行。

SuperGLUE 上的成绩肯定了 DeBERTa 的价值,但是它论文的各种命名真的是让人觉得极度不适,比如它自称的 “Encoder”、“Decoder” 就很容易让人误解这是一个 Seq2Seq 模型,比如 EMD 这个简称也跟 Earth Mover's Distance 重名。虽然有时候重名是不可避免的,但它重的名都是 ML 界大家都比较熟悉的对象,相当容易引起误解,真不知道作者是怎么想的...


其他位置编码
绝对位置编码和相对位置编码虽然花样百出,但仍然算是经典范围内,从上述介绍中我们依然可以体会到满满的套路感。除此之外,还有一些并不按照常规套路出牌,它们同样也表达了位置编码。
3.1 CNN式

尽管经典的将 CNN 用于 NLP 的工作《Convolutional Sequence to Sequence Learning》[12] 往里边加入了位置编码,但我们知道一般的 CNN 模型尤其是图像中的 CNN 模型,都是没有另外加位置编码的,那 CNN 模型究竟是怎么捕捉位置信息的呢?

如果让笔者来回答,那么答案可能是卷积核的各项异性导致了它能分辨出不同方向的相对位置。不过 ICLR 2020 的论文《How Much Position Information Do Convolutional Neural Networks Encode?》[13] 给出了一个可能让人比较意外的答案:CNN模型的位置信息,是Zero Padding泄漏的!

我们知道,为了使得卷积编码过程中的 feature 保持一定的大小,我们通常会对输入 padding 一定的 0,而这篇论文显示该操作导致模型有能力识别位置信息。也就是说,卷积核的各向异性固然重要,但是最根本的是 zero padding 的存在,那么可以想象,实际上提取的是当前位置与 padding 的边界的相对距离。

不过,这个能力依赖于 CNN 的局部性,像 Attention 这种全局的无先验结构并不适用,如果只关心 Transformer 位置编码方案的读者,这就权当是扩展一下视野吧。
3.2 复数式
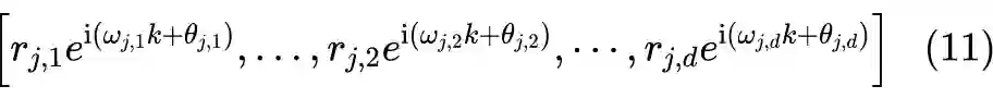
复数式位置编码可谓是最特立独行的一种位置编码方案了,它来自 ICLR 2020 的论文《Encoding word order in complex embeddings》 [14] 。论文的主要思想是结合复数的性质以及一些基本原理,推导出了它的位置编码形式(Complex Order)为:

这里的 是虚数单位,j 代表某个词,k 代表该词所在的位置,而:

代表词j的三组词向量。你没看错,它确实假设每个词有三组跟位置无关的词向量了(当然可以按照某种形式进行参数共享,使得它退化为两组甚至一组),然后跟位置k相关的词向量就按照上述公式运算。

你以为引入多组词向量就是它最特立独行的地方了?并不是!我们看到式(11)还是复数形式,你猜它接下来怎么着?将它实数化?非也,它是将它直接用于复数模型

也就是说,它走的是一条复数模型路线,不仅仅输入的 Embedding 层是复数的,里边的每一层 Transformer 都是复数的,它还实现和对比了复数版的 Fasttext、LSTM、CNN 等模型!这篇文章的一作是 Benyou Wang,可以搜到他的相关工作基本上都是围绕着复数模型展开的,可谓复数模型的铁杆粉了。
3.3 融合式

无偶独有,利用复数的形式,笔者其实也构思了一种比较巧的位置编码,它可以将绝对位置编码与相对位置编码融于一体,分享在此,有兴趣的读者欢迎一起交流研究。

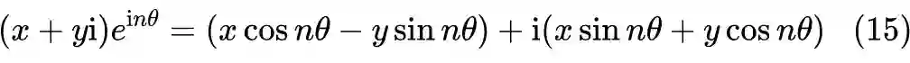
简单起见,我们先假设 是位置分别是 m,n 的二维的行向量,既然是二维,那么我们可以将它当作复数来运算。我们知道,Attention 关键之处在于向量的内积,用复数表示为:

其中 是共轭复数,右端的乘法是普通的复数乘法, 表示取结果的实部。换句话说:
两个二维向量的内积,相当于把它们当复数看时,一个复数与另一个复数的共轭的乘积实部。如果我们将 分别乘以 变成 ,那么就相当于给它们配上了绝对位置编码了(因为显式地依赖绝对位置 m,n),然后放到内积里边,我们有:

相当有意思的是,内积只依赖于相对位置 m-n!这就巧妙地将绝对位置与相对位置融合在一起了。

注意,我们没有像 Complex Order 那么“疯狂”,上述运算本质上还是在实数范畴内的,只不过我们是借助复数来完成了某些推导而已。由上述结果可知,对于位置为n的二维实数向量 [x,y],我们当它复数来运算,乘以 ,得到:

即通过:

来赋予它绝对位置信息,那么它在 Attention 运算的时候同时也等价于相对位置编码。如果是多于二维的向量,可以考虑每两维为一组进行同样的运算,每一组的 可以不一样。
这样一来,我们得到了一种融绝对位置与相对位置于一体的位置编码方案,从形式上看它有点像乘性的绝对位置编码。初步实验显示它是可以 work 的,但还没有充分验证,欢迎大家尝试交流。


文章内容小结
本文汇总了一些位置编码的工作,大体分为绝对式、相对式、非套路式三种,从中我们可以看到各色神奇的操作。最后,笔者分享了自己构思的一种融合绝对位置与相对位置的编码方案,供有兴趣的读者参考。

参考文献

[1] https://arxiv.org/abs/1705.03122
[2] https://arxiv.org/abs/1706.03762
[3] https://arxiv.org/abs/2003.09229
[4] https://zhuanlan.zhihu.com/p/183234823
[5] https://arxiv.org/abs/1803.02155
[6] https://arxiv.org/abs/1901.02860
[7] https://arxiv.org/abs/1906.08237
[8] https://arxiv.org/abs/1910.10683
[9] https://arxiv.org/abs/2006.15595
[10] https://arxiv.org/abs/2006.03654
[11] https://super.gluebenchmark.com/
[12] https://arxiv.org/abs/1705.03122
[13] https://arxiv.org/abs/2001.08248
[14] https://arxiv.org/abs/1912.12333

更多阅读




#投 稿 通 道#

 让你的论文被更多人看到 



如何才能让更多的优质内容以更短路径到达读者群体,缩短读者寻找优质内容的成本呢?答案就是:你不认识的人。


总有一些你不认识的人,知道你想知道的东西。PaperWeekly 或许可以成为一座桥梁,促使不同背景、不同方向的学者和学术灵感相互碰撞,迸发出更多的可能性。 


PaperWeekly 鼓励高校实验室或个人,在我们的平台上分享各类优质内容,可以是最新论文解读,也可以是学习心得技术干货。我们的目的只有一个,让知识真正流动起来。


📝 来稿标准:

• 稿件确系个人原创作品,来稿需注明作者个人信息(姓名+学校/工作单位+学历/职位+研究方向) 

• 如果文章并非首发,请在投稿时提醒并附上所有已发布链接 

• PaperWeekly 默认每篇文章都是首发,均会添加“原创”标志


📬 投稿邮箱:

• 投稿邮箱:[email protected] 

• 所有文章配图,请单独在附件中发送 

• 请留下即时联系方式(微信或手机),以便我们在编辑发布时和作者沟通



🔍


现在,在「知乎」也能找到我们了

进入知乎首页搜索「PaperWeekly」

点击「关注」订阅我们的专栏吧



关于PaperWeekly


PaperWeekly 是一个推荐、解读、讨论、报道人工智能前沿论文成果的学术平台。如果你研究或从事 AI 领域,欢迎在公众号后台点击「交流群」,小助手将把你带入 PaperWeekly 的交流群里。



登录查看更多
1

相关内容

【AAAI2021】生成式Transformer的对比三元组提取
专知会员服务
51+阅读 · 2021年2月7日
Transformer替代CNN?8篇论文概述最新进展!
专知会员服务
77+阅读 · 2021年1月19日
Transformer模型-深度学习自然语言处理,17页ppt
专知会员服务
108+阅读 · 2020年8月30日
Transformer文本分类代码
专知会员服务
118+阅读 · 2020年2月3日
BERT进展2019四篇必读论文
专知会员服务
70+阅读 · 2020年1月2日
注意力机制介绍,Attention Mechanism
专知会员服务
172+阅读 · 2019年10月13日
Transformer 在美团搜索排序中的实践
AINLP
3+阅读 · 2020年4月17日
绝对干货!NLP预训练模型:从transformer到albert
新智元
13+阅读 · 2019年11月10日
深度学习的下一步:Transformer和注意力机制
云头条
56+阅读 · 2019年9月14日
深入理解BERT Transformer ,不仅仅是注意力机制
大数据文摘
22+阅读 · 2019年3月19日
Transformer-XL:释放注意力模型的潜力
谷歌开发者
31+阅读 · 2019年2月19日
详解谷歌最强NLP模型BERT(理论+实战)
AI100
11+阅读 · 2019年1月18日
BERT大火却不懂Transformer?读这一篇就够了
大数据文摘
12+阅读 · 2019年1月8日
一文读懂「Attention is All You Need」| 附代码实现
PaperWeekly
37+阅读 · 2018年1月10日
论文共读 | Attention is All You Need
黑龙江大学自然语言处理实验室
15+阅读 · 2017年9月7日
Arxiv
3+阅读 · 2020年9月30日
Arxiv
6+阅读 · 2019年7月11日
Universal Transformers
Arxiv
5+阅读 · 2019年3月5日
Star-Transformer
Arxiv
5+阅读 · 2019年2月28日
The Evolved Transformer
Arxiv
5+阅读 · 2019年1月30日
Music Transformer
Arxiv
5+阅读 · 2018年12月12日
VIP会员
最新内容
超越网格:作战环境对炮兵的影响
专知会员服务
1+阅读 · 今天15:35
KDD 2026 | MixRAGRec:面向LLM推荐的混合专家KG-RAG框架
BES:让语言模型通过双向进化搜索自我改进
专知会员服务
4+阅读 · 5月30日
以色列-美国-伊朗战争中的无人机:关键要点
专知会员服务
4+阅读 · 5月30日
《Palantir任务保障性软件安全标准(MA-S2)》
专知会员服务
14+阅读 · 5月30日
基于声学的无人机检测技术综述
专知会员服务
8+阅读 · 5月30日
《当代混合战争分析框架:俄乌战争经验教训》
相关VIP内容
【AAAI2021】生成式Transformer的对比三元组提取
专知会员服务
51+阅读 · 2021年2月7日
Transformer替代CNN?8篇论文概述最新进展!
专知会员服务
77+阅读 · 2021年1月19日
Transformer模型-深度学习自然语言处理,17页ppt
专知会员服务
108+阅读 · 2020年8月30日
Transformer文本分类代码
专知会员服务
118+阅读 · 2020年2月3日
BERT进展2019四篇必读论文
专知会员服务
70+阅读 · 2020年1月2日
注意力机制介绍,Attention Mechanism
专知会员服务
172+阅读 · 2019年10月13日
相关资讯
Transformer 在美团搜索排序中的实践
AINLP
3+阅读 · 2020年4月17日
绝对干货!NLP预训练模型:从transformer到albert
新智元
13+阅读 · 2019年11月10日
深度学习的下一步:Transformer和注意力机制
云头条
56+阅读 · 2019年9月14日
深入理解BERT Transformer ,不仅仅是注意力机制
大数据文摘
22+阅读 · 2019年3月19日
Transformer-XL:释放注意力模型的潜力
谷歌开发者
31+阅读 · 2019年2月19日
详解谷歌最强NLP模型BERT(理论+实战)
AI100
11+阅读 · 2019年1月18日
BERT大火却不懂Transformer?读这一篇就够了
大数据文摘
12+阅读 · 2019年1月8日
一文读懂「Attention is All You Need」| 附代码实现
PaperWeekly
37+阅读 · 2018年1月10日
论文共读 | Attention is All You Need
黑龙江大学自然语言处理实验室
15+阅读 · 2017年9月7日
相关论文
Arxiv
3+阅读 · 2020年9月30日
Arxiv
6+阅读 · 2019年7月11日
Universal Transformers
Arxiv
5+阅读 · 2019年3月5日
Star-Transformer
Arxiv
5+阅读 · 2019年2月28日
The Evolved Transformer
Arxiv
5+阅读 · 2019年1月30日
Music Transformer
Arxiv
5+阅读 · 2018年12月12日
Top
微信扫码咨询专知VIP会员