手把手教你做出诺奖级研究:寻找系外行星(内附代码)

2019 年 10 月 15 日 科研圈

银河系之外的恒星在地球上看来不过是夜空中一个小小的亮点,直接观测围绕它们旋转的行星显然不可能。两位天文学家因发现第一颗系外行星获得了今年的诺贝尔物理学奖,不过这项工作背后的原理其实并不复杂……


图片来源:NASA


来源 Wired

撰文 Rhett Allain

翻译 张元一

编辑 戚译引


10 月 8 日,2019 年诺贝尔物理学奖将 2/3 授予米歇尔·马约尔(Michel Mayor)和迪迪埃·奎洛兹(Didier Queloz),以表彰他们在 1995 年做出的惊人发现:他们首次探测到一颗行星,围绕与太阳相似的遥远恒星运行。在此之前,我们所知的行星只有自己所处的太阳系中的八大行星。我们甚至都不知道行星在宇宙中是常见还是稀有,而这个问题有着重大的影响,它关乎外星生命存在的可能。


这是科学探索的壮举。马约尔和奎洛兹观察飞马座星系中的一颗恒星,叫做飞马座 51,距离我们 50.45 光年。我们可以看到恒星发出来的光,但是在那样的距离,光源的角度太小,望远镜无法分辨。换言之,我们看不到恒星本身。而且既然看不到恒星,那么我们当然也看不到环绕着它的小得多的行星。


那他们怎么做呢?当然是靠物理学了。与所有事物一样,理解它的最好方法是建立模型。因此,让我们构造一个有史以来被探测到的系外行星的简单模型。


飞马座 51 很像我们的太阳,只是更大一点;如果把它们放在一起,你很可能无法分辨谁是谁。而这颗行星被称为飞马座 51 b,和木星一样是个气态巨行星,离它的恒星近得不可思议,其轨道半径仅为 0.05 AU。(AU 代表天文单位,是从地球到太阳的平均距离。)作为对照,木星的轨道半径约为 5 AU。


现在我要倒推一下发现过程,当一回事后诸葛亮。我们将使用恒星和系外行星的估计质量以及轨道半径,来模拟该恒星-行星系统的行为,然后我会展示如何找到行星。当然,马约尔和奎洛兹得先从数据中得出这些估计值,但是他们脑海里很可能有相似的模型,来指导他们的工作。


在任何太阳系中都存在引力,将恒星和行星拉在一起。引力与两个物体的质量(分别记为 Ms 和 mp)以及它们之间的距离(r)相关,其大小可通过这条公式得出:


这里,G 是引力常数,值为 6.67 x 10-11 N×m2/kg2。作用在天体上的力实际上会产生什么影响呢?根据动量原理,它会改变其动量(p)——动量等于速度(v)乘以质量。像这样:



字母前的希腊符号 Δ 表示该变量的微小变化。变量上的箭头表明这些是矢量。听起来似乎很花哨,但它只是将方向信息添加到力和动量的大小中。我们需要知道事物的去向,不是吗?


现在,为了画出该恒星-行星系统中的运动轨迹,我将使用逐步数值方法。上面的方程式表明了作用在恒星和行星上的力。由此,我可以计算出每个物体在一个很小的时间间隔(Δt)内的动量变化。然后我可以用那个来找到恒星和行星的新位置。这是力(F)及其动量变化(红色箭头)的示意图:


图片来源:Rhett Allain


“短”时间间隔到底有多长?飞马座 51 b 绕恒星一周只需要短短的四个地球日,这真是太快了。因此,我们尝试间隔 100 秒。然后,要绘制出一个完整的旋转轨迹,只需要重复这些力和动量计算 3000 次以上。哈!没问题,我可以将它们放在简短的 Python 脚本中进行迭代。



GlowScript 2.9 VPython

#Constants and stuff

G=6.67e-11

AU=1.496e11 #1 AU in meters

a=0.052*AU #semimajor axis

T=101.5388*3600 #orbital period in s

speed=136e3 #m/s

#m=jupiter/2

#r = 1.5*jupiter

Msun=1.9891e30

Rsun=695.5e6

Mjupiter=1.898e27

Rjupiter=69.911e6

mstar=1.11*Msun

rstar=1.237*Rsun


#Pegasi 51

star=sphere(pos=vector(0,0,0), radius=rstar,color=color.yellow)

star.m=mstar



placeholder=sphere(pos=vector(0,1.3*a,0),radius=1)


#Pegasi 51 b

planet=sphere(pos=vector(a,0,0),radius=1.5*Rjupiter,make_trail=True)

planet.m=1.5*Mjupiter

#set the initial momentum

planet.p=planet.m*vector(0,speed,0)

#make the total momentum zero

star.p=-planet.p


t=0

#time interval

dt=100

#do 10 orbits

while t<10*T:

  rate(250)

  #calculate the vector from star to planet

  r=planet.pos-star.pos

  #caclulate the gravitational force on planet

  F=-G*star.m*planet.m*r.hat/r.mag**2

  #update momentum of planet

  planet.p=planet.p+F*dt

  #update momentum of star (opposite force)

  star.p=star.p-F*dt

  #update position of star and planet

  planet.pos=planet.pos+planet.p*dt/planet.m

  star.pos=star.pos+star.p*dt/star.m

  t=t+dt

你也可以在这里查看代码:https://trinket.io/glowscript/f86aaefed6 


很明显,行星绕恒星运行,但是这里还发生着其他事情,只是在这种规模下看不到,那就是恒星也在移动!利用引力,恒星将经历与行星完全相同的动量变化。由于它具有更大的质量(p = m×v),因此它的速度变化要小得多,但它不是静止不动的。基本上,随着行星旋转,恒星会发生小幅度的摆动。


让我们详细解释一下:使用 Python 模型的结果,我将恒星的运动绘制在一维图上。(只是为了简单起见。假设一个三维空间中的 XYZ 坐标系,那么我只是在 y 方向上追踪其速度。)


画图代码参见:https://trinket.io/glowscript/f86aaefed6 | 图片来源:Rhett Allain


恒星的最大速度低于 200 m/s,其移动速度比行星慢得多,但它确实在移动。这是整个过程的关键。尽管看不到行星,但你可以看到行星对恒星速度的影响。再借助多普勒效应(Doppler effect),你可以通过观察星光来“观察”恒星的速度。


你很可能已经听说过多普勒效应了。当一辆飞速行驶的火车从你身旁飞过,或赛车在赛道上,听起来就像:


NEEEEEEEEEEEEEEEE-RAAAAAAAAAAAAAAAAR……


我不想再模仿一次了,总之这就是多普勒效应的标志性声音。当一个发声物体朝我们的方向移动时,我们会听到音调较高(即频率较高)的声音;当它经过并远离我们时,我们会听到音调较低的声音。


事实上,还存在光的多普勒效应。如果一颗星星向你移动,它的光将移向色谱的蓝色端(频率较高,或者说波长较短的一端);当它远离你的时候,它的光将朝光谱的红色端(波长较长端)移动。


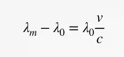
这很有用!由于我们已经知道光速 c(大约为3 x 108 m/s),因此我们可以测量波长的偏移,并由此推断出恒星的速度。在这里,λm 是测得的波长,λ0 是假设它静止不动时你看到的波长。



但是,看看右边的表达式,你会发现一个问题。如果分子中物体的速度(v)比分母中的光速(c)小得多,那么得到的波长偏移会很小,而这正是飞马座 51 的情况。


举个例子。假设这颗恒星发出的光波长为 500 纳米(相当于一米的五千亿分之一),这大致对应光谱上的绿色。使用这个波长和上述模型中恒星的速度,以下是测得的波长随时间变化的曲线图:


图片来源:Rhett Allain


这看起来仿佛是很大的波动,其实只是因为 y 轴上的刻度单位很小。仔细观察,你会发现波长范围在 500.00000 nm和 500.00031 nm 之间。这是一个极小的偏移,因此很难检测到。而且,情况还可能变得更糟!计算的假设前提是这颗恒星正在朝向或远离我们移动;但是如果行星轨道不一样,恒星相对于地球上下运动怎么办?那种情况下,我们看不到任何波长偏移。我们永远不会知道那里有一颗行星。


听起来很困难?现在你知道为什么这颗行星一直到 1995 年才被发现,以及为什么马约尔和奎洛兹能获得这样的荣誉了吧——诺贝尔奖委员会评价他们“开始了天文学的革命”。确实,利用他们开创的方法以及其他一些创新技术,天文学家已经在银河系中发现了 4000 多颗系外行星。也许其中一颗行星上也生活着杰出的科学家,谁知道呢?


本文来自微信公众号“科研圈”。如需转载,请在“科研圈”后台回复“转载”,或通过公众号菜单与我们取得联系。原始文章请点击“阅读原文”。

▽ 精彩回顾 ▽

登录查看更多
0

相关内容

动量方法 (Polyak, 1964) 旨在加速学习,特别是处理高曲率、小但一致的梯度,或是带噪声的梯度。 动量算法积累了之前梯度指数级衰减的移动平均,并且继续沿该方向移动。
【实用书】学习用Python编写代码进行数据分析,103页pdf
专知会员服务
199+阅读 · 2020年6月29日
少标签数据学习,54页ppt
专知会员服务
205+阅读 · 2020年5月22日
专知会员服务
109+阅读 · 2020年5月21日
【2020新书】如何认真写好的代码和软件,318页pdf
专知会员服务
66+阅读 · 2020年3月26日
【干货书】流畅Python,766页pdf,中英文版
专知会员服务
229+阅读 · 2020年3月22日
自回归模型:PixelCNN
专知会员服务
29+阅读 · 2020年3月21日
【Google】利用AUTOML实现加速感知神经网络设计
专知会员服务
30+阅读 · 2020年3月5日
《强化学习—使用 Open AI、TensorFlow和Keras实现》174页pdf
专知会员服务
139+阅读 · 2020年3月1日
物理学家终于找到了一种拯救薛定谔猫的方法
中科院物理所
8+阅读 · 2019年6月10日
100行Python代码,轻松搞定神经网络
大数据文摘
4+阅读 · 2019年5月2日
手把手教 | 深度学习库PyTorch(附代码)
数据分析
7+阅读 · 2018年3月20日
手把手教TensorFlow(附代码)
深度学习世界
15+阅读 · 2017年10月17日
手把手教你由TensorFlow上手PyTorch(附代码)
数据派THU
5+阅读 · 2017年10月1日
【原理】十个生成模型(GANs)的最佳案例和原理 | 代码+论文
GAN生成式对抗网络
8+阅读 · 2017年8月14日
SlowFast Networks for Video Recognition
Arxiv
4+阅读 · 2019年4月18日
Adaptive Neural Trees
Arxiv
4+阅读 · 2018年12月10日
Feature Denoising for Improving Adversarial Robustness
Arxiv
15+阅读 · 2018年12月9日
Arxiv
136+阅读 · 2018年10月8日
Adversarial Reprogramming of Neural Networks
Arxiv
3+阅读 · 2018年6月28日
Arxiv
3+阅读 · 2018年6月24日
Arxiv
29+阅读 · 2017年12月6日
Arxiv
3+阅读 · 2017年7月6日
VIP会员
最新内容
人工智能在战场行动中的演进及伊朗案例
专知会员服务
5+阅读 · 4月18日
美AI公司Anthropic推出网络安全模型“Mythos”
专知会员服务
3+阅读 · 4月18日
【博士论文】面向城市环境的可解释计算机视觉
大语言模型的自改进机制:技术综述与未来展望
《第四代军事特种作战部队选拔与评估》
专知会员服务
2+阅读 · 4月18日
相关VIP内容
【实用书】学习用Python编写代码进行数据分析,103页pdf
专知会员服务
199+阅读 · 2020年6月29日
少标签数据学习,54页ppt
专知会员服务
205+阅读 · 2020年5月22日
专知会员服务
109+阅读 · 2020年5月21日
【2020新书】如何认真写好的代码和软件,318页pdf
专知会员服务
66+阅读 · 2020年3月26日
【干货书】流畅Python,766页pdf,中英文版
专知会员服务
229+阅读 · 2020年3月22日
自回归模型:PixelCNN
专知会员服务
29+阅读 · 2020年3月21日
【Google】利用AUTOML实现加速感知神经网络设计
专知会员服务
30+阅读 · 2020年3月5日
《强化学习—使用 Open AI、TensorFlow和Keras实现》174页pdf
专知会员服务
139+阅读 · 2020年3月1日
相关资讯
物理学家终于找到了一种拯救薛定谔猫的方法
中科院物理所
8+阅读 · 2019年6月10日
100行Python代码,轻松搞定神经网络
大数据文摘
4+阅读 · 2019年5月2日
手把手教 | 深度学习库PyTorch(附代码)
数据分析
7+阅读 · 2018年3月20日
手把手教TensorFlow(附代码)
深度学习世界
15+阅读 · 2017年10月17日
手把手教你由TensorFlow上手PyTorch(附代码)
数据派THU
5+阅读 · 2017年10月1日
【原理】十个生成模型(GANs)的最佳案例和原理 | 代码+论文
GAN生成式对抗网络
8+阅读 · 2017年8月14日
相关论文
SlowFast Networks for Video Recognition
Arxiv
4+阅读 · 2019年4月18日
Adaptive Neural Trees
Arxiv
4+阅读 · 2018年12月10日
Feature Denoising for Improving Adversarial Robustness
Arxiv
15+阅读 · 2018年12月9日
Arxiv
136+阅读 · 2018年10月8日
Adversarial Reprogramming of Neural Networks
Arxiv
3+阅读 · 2018年6月28日
Arxiv
3+阅读 · 2018年6月24日
Arxiv
29+阅读 · 2017年12月6日
Arxiv
3+阅读 · 2017年7月6日
Top
微信扫码咨询专知VIP会员