TTFNet | 提高训练效率的实时目标检测(附源码)

2020 年 6 月 29 日 计算机视觉战队

计算机视觉研究院专栏

作者:Edison_G

目标检测模型的training time, inference speed, 和accuracy之间寻找trade off,重点关注如何在保持另外两个指标的情况下,减少模型的训练时间。
启示:
1、单纯的数据扩增能增加数据数量,但也会降低数据质量,导致需更多的训练时间才会收敛;
2、根据Linear Scaling Rule,学习率与batchsize一般情况下呈线性正比,增加高质量的sample也能起到类似batchsize的作用,从而可以提高学习率,缩短模型训练时间;
3、在精度方面,实验显示res18下与CenterNet都在COCO上达到了28.1的mAP,但0.5的mAP比CenterNet低了1个点左右,0.75的mAP比CenterNet高了0.6个点,所以猜测TTFNet可能检测出的bbox更加紧凑,因此提高了mAP。







扫码关注我们

公众号 : 计算机视觉战队

关注回复:TTFNet,获取源码


简要

现在目标检测器很少能同时实现训练时间短,推理速度快,精度高。为了达到平衡,作者就提出了Train-Friendly Network(TTFNet)。作者从light-head, single-stage, and anchor-free设计开始,这使得推理速度更快。然后作者重点缩短训练时间。 

我们注意到,从注释框中编码更多的训练样本与增加批处理大小具有相似的作用,这有助于扩大学习速率和加速训练过程。为此作者就介绍了一种利用高斯核对训练样本进行编码的新方法。此外,为了更好地利用信息,还设计了主动样本权重。在MSCOCO上的实验表明,TTFNet在平衡训练时间、推理速度和精度方面具有很大的优势。它比以前的实时检测器减少了7倍以上的训练时间,同时保持了最先进的性能。此外,super-fast版本的TTFNet-18和TTFNet-53可以分别是SSD300和YOLOv3的训练时间不到十分之一。

历史回顾&背景

目标检测器的精度,推理速度,训练时间等方面都得到了广泛关注和不断提高。然而,很少工作可以在它们之间取得良好的平衡。 直观地说,推理速度较快的检测器应该有较短的训练时间。 然而,事实上大多数实时检测器比非实时检测器需要更长的训练时间。 高精度检测器可以大致分为两种类型之——它们的推理速度慢,而且需要大量的训练时间。
第一类网络( Huang, L.; Yang, Y.; Deng, Y.; and Yu, Y. 2015. Densebox: Unifying landmark localization with end to end object detection. )一般依靠heavy检测头或复杂后处理。虽然这些设计有利于精度的提高和快速收敛,但它们显著降低了推理速度。因此,这种类型的网络通常不适合实时应用。
为了加快推理,研究人员努力简化检测头和后处理,同时保持准确性( Zoph, B., and Le, Q. V. 2017. Neural architecture search with reinforcement learning. )。 在最近的一项名为CenterNet的研究中,推理时间进一步缩短,几乎与主干网络消耗的时间相同。 然而,所有这些网络不可避免地需要很长的训练时间。 这是因为这些网络由于简化而难以训练,使得它们在很大程度上依赖于数据增强和较长的训练时间。 例如,CenterNet需要在公共数据集MSCOCO上进行140个epochs训练。 相比之下,第一类网络通常需要12个ep ochs
动机

根据Linear Scaling Rule,可以通过增大batchsize提高learning rate,然而仔细分析SGD的公式,我们也可以通过增加高质量的正样本个数来起到同样的作用。也就是不仅可以增大n,也可以增大m。

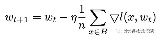
回顾随机梯度下降(SGD)的公式,权重更新表达式可以描述为:

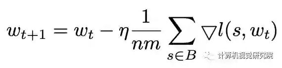
至于目标检测,图像x可以包含多个注释框,这些框将被编码到训练样本s∈Sx。Mx=|Sx|表示图像x中所有框产生的样本数, 因此上公式可以表述为:

为了简化,假设mx对于小批量B中的每个图像x是相同的。关注个体训练样本s,上式可以改写为:

线性缩放规则是在经验中发现的,如果批处理大小乘以k,则学习速率应该乘以k,除非网络正在迅速变化,或者采用非常大的mini-batch批处理。也就是说,用小的mini-batch Bj和学习速率η执行k迭代基本上相当于用大的mini-batch ∪j∈[0,k)Bj和学习速率kη执行1迭代,只有当我们可以假设:

这个条件通常是在大规模的真实世界数据下满足的。

较大的学习速率不能帮助CenterNet更快地收敛,并且删除数据增强会导致性能变差。根据上面的结论,我认为这是因为CenterNet在训练过程中只在目标中心编码一个单一的回归样本。这种设计使得CenterNet在很大程度上依赖于数据增强和较长的训练时间,导致不友好的训练时间。 

为了减少网络对数据增强的依赖,同时减少训练时间,我认为需要更好的编码回归样本的策略。在这一动机的指导下,作者提出新的方法,在 ablation研究中进行更全面的实验可以进一步验证新方法的优越性。
新方法

登录查看更多
0

相关内容

CenterNet由中科院,牛津大学以及华为诺亚方舟实验室联合提出,截至目前,CenterNet应该是one-stage目标检测方法中性能最好的方法。
【CVPR2020-北京大学】自适应间隔损失的提升小样本学习
专知会员服务
85+阅读 · 2020年6月9日
CVPR2020 | 商汤-港中文等提出PV-RCNN:3D目标检测新网络
专知会员服务
45+阅读 · 2020年4月17日
【CVPR2020-谷歌】多目标(车辆)跟踪与检测框架 RetinaTrack
专知会员服务
45+阅读 · 2020年4月10日
专知会员服务
45+阅读 · 2020年3月6日
47.4mAP!最强Anchor-free目标检测网络:SAPD
极市平台
13+阅读 · 2019年12月16日
训练目标检测模型只需要这 6 行代码
AI科技评论
8+阅读 · 2019年8月19日
大盘点 | 性能最强的目标检测算法
极市平台
9+阅读 · 2019年7月8日
【学界】李沐等将目标检测绝对精度提升 4%,不牺牲推理速度
GAN生成式对抗网络
7+阅读 · 2019年2月15日
基于手机系统的实时目标检测
计算机视觉战队
8+阅读 · 2018年12月5日
哇~这么Deep且又轻量的Network,实时目标检测
计算机视觉战队
7+阅读 · 2018年8月15日
Arxiv
13+阅读 · 2019年4月9日
Few-shot Adaptive Faster R-CNN
Arxiv
3+阅读 · 2019年3月22日
Arxiv
8+阅读 · 2018年5月17日
Arxiv
5+阅读 · 2018年5月16日
Arxiv
8+阅读 · 2018年4月8日
VIP会员
最新内容
内省扩散语言模型
专知会员服务
1+阅读 · 4月14日
国外反无人机系统与技术动态
专知会员服务
2+阅读 · 4月14日
大规模作战行动中的战术作战评估(研究论文)
未来的海战无人自主系统
专知会员服务
2+阅读 · 4月14日
美军多域作战现状分析:战略、概念还是幻想?
无人机与反无人机系统(书籍)
专知会员服务
16+阅读 · 4月14日
美陆军2026条令:安全与机动支援
专知会员服务
6+阅读 · 4月14日
相关VIP内容
【CVPR2020-北京大学】自适应间隔损失的提升小样本学习
专知会员服务
85+阅读 · 2020年6月9日
CVPR2020 | 商汤-港中文等提出PV-RCNN:3D目标检测新网络
专知会员服务
45+阅读 · 2020年4月17日
【CVPR2020-谷歌】多目标(车辆)跟踪与检测框架 RetinaTrack
专知会员服务
45+阅读 · 2020年4月10日
专知会员服务
45+阅读 · 2020年3月6日
相关资讯
Top
微信扫码咨询专知VIP会员