论文笔记Orthogonal Deep Features Decomposition for AIFR

2018 年 9 月 21 日 统计学习与视觉计算组

该论文发表于ECCV2018

论文链接为http://openaccess.thecvf.com/content_ECCV_2018/papers/yitong_wang_Orthogonal_Deep_Features_ECCV_2018_paper.pdf

一、背景

1、跨年龄人脸识别的难点:同一个人不同年龄段的外貌会有非常大的差异,即存在类内差异大的问题,而年龄相近的两个人却比较相似,即存在类间相似的问题,所以类内差异大、类间相似的问题严重影响跨年龄人脸识别的精度,如图一所示;

2、跨年龄人脸识别的意义:帮助寻找很多年前丢失的孩子、不同年龄段人脸匹配等。

图一

二、贡献

1、为了减少年龄变化导致的类内差异,作者提出了一种称为正交嵌入CNN(Orthogonal Embedding CNNs, OE-CNNs)的框架来学习年龄不变的深度人脸特征。

2、作者还构建了一个大型跨年龄人脸数据集(Cross-Age Face Datset, CAF),该数据集包含313986张人脸图像,共4668个个体,图像经过了清洗且各年龄段图像分布较均匀。

3、实验结果表明,作者提出的OE-CNNs,不仅对跨年龄人脸识别任务有效,且对普通的人脸识别也有效,证明了该算法具有泛化能力。

三、OE-CNN方法

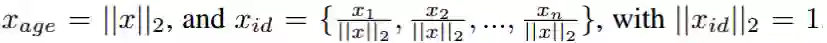
1、 特征分解

x 为最后一个全连接层输出的特征向量,将x分解为其中之所这样分解,作者是受人脸识别任务中提出的A-softmax函数的启发,因为经过A-softmax的约束,在映射到超球体空间中时,不同的个体拥有不同的角度,且作者又将xid进行了归一化,用缩放因子s代替,从而剔除了年龄带来的影响,其中A-softmax函数如下式所示:

2、基于age的lable对xage进行回归

其中nxi为向量x的L2范数,f为线性映射函数,具体为f=kx+b,zi为第i个样本对应的年龄的lable。即通过线性函数f来学习nxi和zi之间的关系,为一个回归任务,这里f采用线性函数,而非多层非线性函数映射的网络,是因为nxi为一个一维标量,越复杂的模型越容易过拟合。

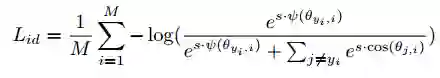
3、基于id的lable对xid进行分类

 

此公式用缩放因子s替换了原本的A-softmax公式中||xid||,因为经过步骤1的特征分解,||xid||=1,所以此处引入s来弥补L2范数带来的损失,实验中取值为32。

4、联合Lage和Lid,训练该网络

 

两种分量最后通过多任务学习的方式同时训练,最终的损失函数是二者损失的算术叠加,其中平衡因子,实验中取值为0.01,整个网络结构如图所示:

5、可视化

可视化结果表明,(1)不同的个体被判为不同的角度;(2)A-softmax和OE-CNN的类间间隔明显大于Softmax;(3)OE-CNNs表明同一个个体的不同年龄反应在半径方向上,即半径越长,该个体年龄越大,而其它两个模型没有该规律。

四、作者收集的数据集CAF

该数据集的特点:(1)数量多,313986张人脸图像,对应4668个个体,每个个体大约80张图片;(2)年龄间隔大;(3)经过了数据清洗,使用检测算法MTCNN过滤掉了不含人脸图像的图片,且尽量保证每个年龄段的图片数量相近;(4)通过DEX算法估计图像年龄,生成图像对应的age标签。

五、实验

1、基于MORPH数据集,验证OE-CNN的有效性

(1)对比Softmax、A-softmax和OE-CNN,验证了OE-CNN的有效性

(2)与其他主流跨人脸识别算法对比,验证了OE-CNN的有效性

2、基于人脸识别数据库CACD-VS,证明该算法的鲁棒性

3、基于人脸识别数据库LFW,证明该算法的泛化能力


登录查看更多
0

相关内容

深度学习搜索,Exploring Deep Learning for Search
专知会员服务
61+阅读 · 2020年5月9日
神经网络的拓扑结构,TOPOLOGY OF DEEP NEURAL NETWORKS
专知会员服务
35+阅读 · 2020年4月15日
PTGAN for Person Re-Identification
统计学习与视觉计算组
4+阅读 · 2018年9月10日
《pyramid Attention Network for Semantic Segmentation》
统计学习与视觉计算组
44+阅读 · 2018年8月30日
论文笔记之Feature Selective Networks for Object Detection
统计学习与视觉计算组
21+阅读 · 2018年7月26日
CosFace: Large Margin Cosine Loss for Deep Face Recognition论文笔记
统计学习与视觉计算组
44+阅读 · 2018年4月25日
读论文Discriminative Deep Metric Learning for Face and KV
统计学习与视觉计算组
12+阅读 · 2018年4月6日
Soft-NMS – Improving Object Detection With One Line of Code
统计学习与视觉计算组
6+阅读 · 2018年3月30日
LibRec 每周算法:DeepFM
LibRec智能推荐
14+阅读 · 2017年11月6日
LibRec 每周算法:NFM (SIGIR'17)
LibRec智能推荐
8+阅读 · 2017年10月17日
LibRec 每周算法:Collaborative Metric Learning (WWW'17)
LibRec智能推荐
6+阅读 · 2017年7月4日
Generalization and Regularization in DQN
Arxiv
6+阅读 · 2019年1月30日
Arxiv
14+阅读 · 2018年4月6日
Arxiv
4+阅读 · 2018年3月19日
VIP会员
最新内容
KDD 2026 | MixRAGRec:面向LLM推荐的混合专家KG-RAG框架
BES:让语言模型通过双向进化搜索自我改进
专知会员服务
4+阅读 · 5月30日
以色列-美国-伊朗战争中的无人机:关键要点
专知会员服务
4+阅读 · 5月30日
《Palantir任务保障性软件安全标准(MA-S2)》
专知会员服务
14+阅读 · 5月30日
基于声学的无人机检测技术综述
专知会员服务
8+阅读 · 5月30日
《当代混合战争分析框架:俄乌战争经验教训》
战略前沿人工智能的再思考(中文)
专知会员服务
8+阅读 · 5月29日
《量化地基防空系统间接效应的博弈论方法》
专知会员服务
7+阅读 · 5月29日
相关VIP内容
深度学习搜索,Exploring Deep Learning for Search
专知会员服务
61+阅读 · 2020年5月9日
神经网络的拓扑结构,TOPOLOGY OF DEEP NEURAL NETWORKS
专知会员服务
35+阅读 · 2020年4月15日
相关资讯
PTGAN for Person Re-Identification
统计学习与视觉计算组
4+阅读 · 2018年9月10日
《pyramid Attention Network for Semantic Segmentation》
统计学习与视觉计算组
44+阅读 · 2018年8月30日
论文笔记之Feature Selective Networks for Object Detection
统计学习与视觉计算组
21+阅读 · 2018年7月26日
CosFace: Large Margin Cosine Loss for Deep Face Recognition论文笔记
统计学习与视觉计算组
44+阅读 · 2018年4月25日
读论文Discriminative Deep Metric Learning for Face and KV
统计学习与视觉计算组
12+阅读 · 2018年4月6日
Soft-NMS – Improving Object Detection With One Line of Code
统计学习与视觉计算组
6+阅读 · 2018年3月30日
LibRec 每周算法:DeepFM
LibRec智能推荐
14+阅读 · 2017年11月6日
LibRec 每周算法:NFM (SIGIR'17)
LibRec智能推荐
8+阅读 · 2017年10月17日
LibRec 每周算法:Collaborative Metric Learning (WWW'17)
LibRec智能推荐
6+阅读 · 2017年7月4日
Top
微信扫码咨询专知VIP会员