详解 | SLAM回环检测问题

2019 年 5 月 10 日 计算机视觉life

点击“计算机视觉life”关注,置顶更快接收消息!

本文经知乎作者fishmarch授权转载,二次转载请联系作者

原文:https://zhuanlan.zhihu.com/p/45573552

在视觉SLAM问题中,位姿的估计往往是一个递推的过程,即由上一帧位姿解算当前帧位姿,因此其中的误差便这样一帧一帧的传递下去,也就是我们所说的累积误差。

如下图所示,我们的位姿约束都是与上一帧建立的,第五帧的位姿误差中便已经积累了前面四个约束中的误差。

但此时,如果我们发现第五帧位姿不一定要由第四帧推出来,还可以由第二帧推算出来,那显然这样计算误差更小呀,因为只有两个约束的误差了嘛。像这样与之前的某一帧建立位姿约束关系就叫做回环。回环通过减少了约束数,起到了减小累积误差的作用。

那现在又有新的问题了,我们怎么知道可以由第二帧推算第五帧位姿呢?就像下图,可能第一帧、第三帧也可以呀。确实,我们之所以用前一帧递推下一帧位姿,因为这两帧足够近,肯定可以建立两帧的约束,但是距离较远的两帧就不一定可以建立这样的约束关系了。找出可以建立这种位姿约束的历史帧,就是回环检测

那我们现在的重点就是回环检测了。其实我们完全可以把以前的所有帧都拿过来和当前帧做匹配,匹配足够好的就是回环嘛,但问题是计算量太大了,两帧匹配本来就慢,这样做的话还没有比较好的初值,需要匹配的数目又如此巨大,CPU和我们都会疯的。

但其实,任意两帧是否构成回环可以由更简单的方法做一个初步的筛选,就像一帧中有一个房子,另一帧中是一棵树,那这两帧明显关系不大嘛。通过这种方式,我们便可以对回环做出初步筛选。而这里说的房子、树就是词袋模型中的单词。也就是描述子的进一步抽象集合。

词袋模型

单词:差距较小的描述子的集合

字典:所有的单词

因此每一帧都可以用单词来描述,也就是这一帧中有哪些单词,这里只关心了有没有,而不必关心具体在哪里。只有两帧中单词种类相近才可能构成回环。

因此,现在利用词袋模型我们将回环检测大致分为了以下三个步骤:

  1. 构建字典(所有单词的集合)

  2. 确定一帧中具有哪些单词,用向量表示 (1表示具有该单词,0表示没有)

  3. 比较两帧描述向量的差异

字典结构

字典由单词组成,而单词来自于描述子。并不是说一个描述子就是一个单词,而是一个单词表示了一组多个描述子,同组内的描述子差异较小。例如,描述子由256位组成,则描述子的种类便有 种,这个数相当大了,我们确定单词,构建字典的过程就类似于将这 种描述子进行分类(聚类)的过程,我们可以指定具体分成多少类。那就很像我们现实中的字典了,有厚有薄,也就是看我们分类的多少了。

那现在字典的构建也就是一个描述子聚类的过程。聚类算法也有很多了,这里采用了K-means算法,其过程也很简单:

摘自《视觉SLAM14讲》

也可以用下图表示:

摘自https://www.cnblogs.com/ybjourney/p/4714870.html

现在通过聚类我们获得了字典,但这里又有一个问题。回想我们平时查字典的过程,不可能直接打开一个一个去找吧,我们会利用目录,首字母等方法方便我们查找。这里也一样,一个个去查找速度太慢了,因此我们将字典构建成一个K叉树的结构来加速查找。如下图所示:

摘自《视觉SLAM14讲》

我们在每一层中都用K-means算法进行了聚类,分成了k个类,共有这样的d层(不包括根节点)因此在查找过程中,我们逐层向下,最终找到的叶节点也就是最终的单词。

还可以用下图理解:

摘自[2]

相似度计算

现在我们有了字典,但还有一点需要注意。我们利用单词表示图像,目的是发现回环,也就是两帧图像具有较高的相似性。那其实不同的单词对这一目的的贡献性是不同的。例如,我这篇文章中有很多“我们”这个词,但这个词并不能告诉我们太多信息。而有些单词例如“回环”、“K-means”就比较具有代表性,能大概告诉我们这句话讲了什么。因此不同的单词应该具有不同的权重。

我们用两个量来描述这种权重:

  • IDF(Inverse Document Frequency):描述单词在字典中出现的频率(构建字典时),越低越具有代表性

为所有描述子数, 为该单词出现次数。 的作用大概是降低量级,毕竟 很大。

  • TF(Term Frequency):单词在单帧图像中出现的频率,越高越具有代表性

为一帧图像中所有单词数, 为一帧图像中该单词出现次数。

因此将一帧图像转化为单词表示时,我们要计算其单词的权重:

因此一帧图像 由单词 、及对应的权重 表示:

同时,这里我们要将一帧图像中的所有的权重归一化:

我们在计算两帧图像的差异时,就比较对应的权重即可。

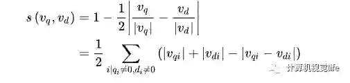
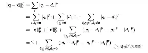
计算q和d两帧的差异(p表示范数,常取L1范数)

第二个等号进行了一个分类:只在q中有的单词、只在d中有的单词、在q、d中都有的单词。

第四个等号:因为进行了归一化,前两项都等于1

而两帧相似度的评分定义如下(越大表示越相似):

当评分s足够大时即可判断两帧可能为回环。

回环处理

在这里简单说一下,回环出现后的处理,看得不多,如有错误还请指正。

当然回环的判断也并没有这么简单,含有很多的筛选环节,毕竟错误的回环将带来巨大灾难,宁可不要。例如某一位姿附近连续多次(ORB-SLAM中为3次)与历史中某一位姿附近出现回环才判断为回环;回环候选帧仍然要匹配,匹配点足够才为回环。

在判断出现回环后,两帧计算Sim3变换(因为有尺度漂移),也就是从历史帧直接推算当前位姿。

当我们用第m帧推算了回环帧n的位姿时,使得n的位姿漂移误差较小,但其实同时可以用第n帧来计算n-1帧的位姿,使n-1帧的位姿漂移误差也减小。因此,这里还要有一个位姿传播。

另外我们可以优化所有的位姿,也就是进行一个位姿图优化(由位姿变换构建位姿约束)。

最后,我们还可以进行一起全局所有变量的BA优化。

总结

总结来说,词袋模型通过描述一帧图像中有哪些单词,来加速寻找可能闭环帧的过程。

另外我们也可以利用单词加速特征点的匹配,例如帧A中的特征点a属于单词 ,那在帧B中寻找匹配时,也要去找属于单词 的特征点。

其实感觉词袋模型更近一步就是语义了,也就是将单词赋予真实的语义信息,同样可以起到闭环帧筛选,两帧特征点辅助匹配的作用。

代码

最后简单看一下DBoW3中的代码

其中比较重要的大概就是以下几个函数:

Vocabulary()

构造函数,可以从文件中读取字典,由图像序列生成字典、复制字典等

其默认的树状结构为分支数k=10,深度L=5(不包括根节点);

权重为TF_IDF;

评分类型为L1范数

create()

其主要步骤为:构建树、构建单词、计算权重(IDF)

构建树:

主要就是一个k_means过程,不过每层都要聚类一次,所以有一个递归。

构建单词

寻找叶节点,添加为单词

计算权重

每个字典的IDF是不变的,所以在这里计算IDF部分的权重

transform()

该函数将一帧图像转换为单词表示

当然这里默认是要normalize的

我们再来看一下权重计算公式

normalize之前我们相当于计算的是

我们将它归一化,而没必要计算准确的TF,但也相当于综合考虑了TF和IDF。

score()

计算两帧相似度的评分

寻找具有相同单词的权重按公式计算即可。


参考文献:

[1] 高翔 《视觉SLAM十四讲》

[2] D. Nister and H. Stewenius, “Scalable recognition with a vocabulary tree,”in 2006 IEEE Computer Society Conference on Computer Vision and Pattern Recognition (CVPR’06), vol. 2, pp. 2161–2168, IEEE, 2006.

推荐阅读

如何从零开始系统化学习视觉SLAM?

从零开始一起学习SLAM | 为什么要学SLAM?

从零开始一起学习SLAM | 学习SLAM到底需要学什么?

从零开始一起学习SLAM | SLAM有什么用?

从零开始一起学习SLAM | C++新特性要不要学?

从零开始一起学习SLAM | 为什么要用齐次坐标?

从零开始一起学习SLAM | 三维空间刚体的旋转

从零开始一起学习SLAM | 为啥需要李群与李代数?

从零开始一起学习SLAM | 相机成像模型

从零开始一起学习SLAM | 不推公式,如何真正理解对极约束?

从零开始一起学习SLAM | 神奇的单应矩阵

从零开始一起学习SLAM | 你好,点云

从零开始一起学习SLAM | 给点云加个滤网

从零开始一起学习SLAM | 点云平滑法线估计

从零开始一起学习SLAM | 点云到网格的进化

从零开始一起学习SLAM | 理解图优化,一步步带你看懂g2o代码

从零开始一起学习SLAM | 掌握g2o顶点编程套路

从零开始一起学习SLAM | 掌握g2o边的代码套路

SLAM初识

SLAM技术框架

惯性导航系统简介

视觉里程计:起源、优势、对比、应用

视觉里程计:特征点法之全面梳理

SLAM领域牛人、牛实验室、牛研究成果梳理

我用MATLAB撸了一个2D LiDAR SLAM

可视化理解四元数,愿你不再掉头发

IMU标定 | 工业界和学术界有什么不同?

汇总 | VIO、激光SLAM相关论文分类集锦

最近一年语义SLAM有哪些代表性工作?

视觉SLAM技术综述

研究SLAM,对编程的要求有多高?

深度学习遇到SLAM | 如何评价基于深度学习的DeepVO,VINet,VidLoc?

2018年SLAM、三维视觉方向求职经验分享

新型相机DVS/Event-based camera的发展及应用

最近三年开源「语义SLAM/分割/建模」方案介绍
超详细干货 | 三维语义分割概述及总结
高翔:谈谈语义SLAM/地图
视觉SLAM关键方法总结
MaskFusion: 多运动目标实时识别、跟踪和重建

限时优惠,5月10号24:00截止

觉得有用,给个好看啦~  

登录查看更多
5

相关内容

即时定位与地图构建(SLAM或Simultaneouslocalizationandmapping)是这样一种技术:使得机器人和自动驾驶汽车等设备能在未知环境(没有先验知识的前提下)建立地图,或者在已知环境(已给出该地图的先验知识)中能更新地图,并保证这些设备能在同时追踪它们的当前位置。
【CMU】基于图神经网络的联合检测与多目标跟踪
专知会员服务
59+阅读 · 2020年6月24日
【开放书】SLAM 中的几何与学习方法,62页pdf
专知会员服务
111+阅读 · 2020年6月5日
专知会员服务
87+阅读 · 2019年12月13日
【电子书】Flutter实战305页PDF免费下载
专知会员服务
23+阅读 · 2019年11月7日
综述 | SLAM回环检测方法
计算机视觉life
16+阅读 · 2019年8月19日
干货总结 | SLAM 面试常见问题及参考解答
计算机视觉life
17+阅读 · 2019年5月19日
高翔:谈谈语义SLAM/地图
计算机视觉life
37+阅读 · 2019年3月26日
【泡泡机器人】也来谈语义SLAM/语义地图
泡泡机器人SLAM
21+阅读 · 2019年3月12日
从零开始一起学习SLAM | 掌握g2o边的代码套路
计算机视觉life
5+阅读 · 2019年3月6日
视觉SLAM技术综述
计算机视觉life
27+阅读 · 2019年1月4日
从零开始一起学习SLAM | SLAM有什么用?
计算机视觉life
18+阅读 · 2018年9月17日
阿里工程师详解典型SLAM应用场景及解决方案
机械鸡
6+阅读 · 2017年8月21日
SLAM初识
计算机视觉life
5+阅读 · 2017年6月4日
Real-time Scalable Dense Surfel Mapping
Arxiv
5+阅读 · 2019年9月10日
Structure Aware SLAM using Quadrics and Planes
Arxiv
4+阅读 · 2018年8月13日
VIP会员
最新内容
人工智能在战场行动中的演进及伊朗案例
专知会员服务
2+阅读 · 4月18日
美AI公司Anthropic推出网络安全模型“Mythos”
专知会员服务
2+阅读 · 4月18日
【博士论文】面向城市环境的可解释计算机视觉
大语言模型的自改进机制:技术综述与未来展望
《第四代军事特种作战部队选拔与评估》
专知会员服务
1+阅读 · 4月18日
相关VIP内容
【CMU】基于图神经网络的联合检测与多目标跟踪
专知会员服务
59+阅读 · 2020年6月24日
【开放书】SLAM 中的几何与学习方法,62页pdf
专知会员服务
111+阅读 · 2020年6月5日
专知会员服务
87+阅读 · 2019年12月13日
【电子书】Flutter实战305页PDF免费下载
专知会员服务
23+阅读 · 2019年11月7日
相关资讯
综述 | SLAM回环检测方法
计算机视觉life
16+阅读 · 2019年8月19日
干货总结 | SLAM 面试常见问题及参考解答
计算机视觉life
17+阅读 · 2019年5月19日
高翔:谈谈语义SLAM/地图
计算机视觉life
37+阅读 · 2019年3月26日
【泡泡机器人】也来谈语义SLAM/语义地图
泡泡机器人SLAM
21+阅读 · 2019年3月12日
从零开始一起学习SLAM | 掌握g2o边的代码套路
计算机视觉life
5+阅读 · 2019年3月6日
视觉SLAM技术综述
计算机视觉life
27+阅读 · 2019年1月4日
从零开始一起学习SLAM | SLAM有什么用?
计算机视觉life
18+阅读 · 2018年9月17日
阿里工程师详解典型SLAM应用场景及解决方案
机械鸡
6+阅读 · 2017年8月21日
SLAM初识
计算机视觉life
5+阅读 · 2017年6月4日
Top
微信扫码咨询专知VIP会员