模型选择与多模型推断

2017 年 7 月 17 日 DataCanvas大数据云平台

分析千岛湖鸟类多样性与墓群出现率的决定性因素

摘要

由于常规的逐步回归分析在使用过程中有诸多缺陷,而信息理论的赤池信息量准则(AIC)弥补了这一缺点。此文基于AIC的判定方法,利用模型选择和多模型推断(model selection and multimodel inference)探讨千岛湖岛屿鸟类多样性的决定因素。同时开展对千岛湖墓葬分布的可能性分析,为盗墓的理论研究打下翔实的基础。

关键词

AIC、盗墓、多模型推断、模型选择、鸟类、千岛湖、逐步回归

前言

面对一系列可能的备选模型,如何评判模型的优劣?选用逐步回归分析(stepwise regression)还是信息理论(information theoretic analysis)?Whittingham等(2006)对2004年的Ecology LettersJournal of Applied EcologyAnimal Behaviors三个杂志分析,共有65篇文章使用多元回归(multiple regression),其中57%的研究使用了逐步回归的方法。虽然逐步回归依旧广泛使用,但是有许多缺陷,如:参数估计的误差(bias in parameter),模型选择算法的不一致(inconsistencies among model selection algorithms),多个假设检验的内在缺陷(inherent problem of multiple hypothesis testing),以及最后结果只依赖单一的最优模型(inappropriate focus or reliance on a single best model)。至于具体的缺陷原理,此处不予细说,本文将采用信息理论简要介绍多模型推断的方法。

千岛湖地处浙江西部,山清水秀,民风淳朴(此处省略一百字)。自1959年新安江大坝建成后,形成1078个岛屿(108米水位时),乃名副其实的“千岛湖”,是一个得天独厚的路桥岛屿天然实验场所。本研究团队自2003年开始千岛湖地区的鸟类调查,到目前已经逐渐拓展到蜘蛛、蜥蜴、青蛙、蛇、猴子、昆虫、兽类、蝴蝶以及植物等各项业务,欢迎广大生态爱好者和有志之士前来参观与洽谈。撰写本文的起因是早先跟本团队中的“蜘蛛侠”吴博士尝试探讨鸟类多样性与风水的关系,加上近日刚好看了一些有关模型选择和多模型推断(model selection and multimodel inference)的文献(xián),采用“先进”的AIC(Akaike information criterion)技术,探讨该学术问题的可能性。

本文主要探讨的问题包括两部分:1) AIC是啥?莫非是美国国际大学(American International College)的缩写?2) 模型选择的操作步骤;3) 千岛湖岛屿上鸟类和墓葬分布的机理。

材料与方法

研究地点与岛屿参数

按照面积和隔离度,利用分层随机抽样法(stratified random sampling)在千岛湖选取40个岛屿。自2002年开始实地考察并详细并测量了跟鸟类多样性相关的各种岛屿参数:面积、隔离度、 植被物种数、生境种类、周长、周长面积比、形状指数、海拔,并于昨晚想像了各种与盗墓可能相关的岛屿参数:凹凸度、坡度、朝向、铝和硅的含量,沙土指数和pH值。

其中铝和硅的含量是白膏泥的主要组成元素。由于白膏泥防水性能好,是墓葬出没的指标。沙土指数反映了建墓的可能性,即如果沙土含量过多,土质不夯实,容易测漏。pH值,跟墓葬中的有机体“发酵”程度相关。形状指数、凹凸度、坡度和朝向是判断风水优劣的关键,因为圆山、朝南、土层厚及石头少的生境是墓葬出现的高发区。

AIC

AIC(Akaika Information Criterion)即赤池信息量准则,是评估统计模型的复杂度和衡量统计模型拟合优良性的一种标准。最早由日本统计学家赤池弘次创立和发展,由此得名。

AIC在一般情况下,可以表示为

其中: k是参数的数量, L是似然函数(likelihood function)。这是公式,知道就可以,R语言中有现成的命令(stat包中的AIC命令,及stats包中的extractAIC命令)。如果自己动手算,也可以:假设条件是模型的误差服从独立正态分布,n为观察数, RSS为残差平方和,则

增加了自由参数提高了拟合的优良性,即AIC鼓励数据的优良性但是尽量避免出现过度拟合(overfitting)的情况,所以优先考虑的模型是AIC值最小的那一只。

其中在小样本的情况下(n/k < 40),AIC 转变成AICc (corrected AIC),即:

当n增加时,AICc收敛成AIC。所以AICc可以应用于任何样本大小的情况下(注: 这部分内容主要抄自维基百科,不过维基百科的该页中文文献引用有个小错误,即参考书是 Burham & Anderson(2002),而不是2004)

如果数据有过度离散(overdispersion)的影响,则需要考虑Q版的AIC,即

$\hat{c}$ 为方差膨胀系数(VIF)或者过度离散系数(overdispersion coefficient)。如果 $\hat{c}$ 大于1,则需要采用QAIC。当然,Q版的,也有QAICc,道理同上。一般在参数进入模型前,只要保证参数的独立性,则可以避免过度离散的情况。

计算模型权重

得到各个模型的AIC值后,按照AIC从小到大排列,然后每个模型的AIC值与最小的AIC值相减,得到ΔAIC。

通过得到的ΔAIC,计算各个模型的模型权重,即Akaika weight(wi )。其中第 i 个模型的模型权重为:

公式不复杂,而且R中有现成的命令计算wi 。wi 在0至1之间,并且所有模型权重之和为1。模型权重越大,表示该模型是真实模型的可能性就越大。比如第二个模型的w2 为0.31,则表示这个模型为真实模型(best possible model)的可能性为31%。

通过模型权重还可以计算各个参数的重要值(importance)。方法很简单,比如参数1,则挑出含参数1的所有模型,然后把这些模型的权重相加,即是该参数的权重。各个参数的权重值一比,就知道哪个参数最重要了。

模型选择的不确定性和多模型推断

其实现实一般不会这么完美的,上述所有结论都建立在ΔAIC>2的基础上,即第二个模型的AIC值比最小模型的AIC值差值大于2。如果小于2,则说明第一个模型跟第二个模型(或者连续前四五个模型)为真实模型的可能性差不多,无法决定优劣。咋么办?终极武器:模型平均(model averaging)。

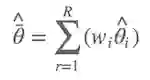
曾经ΔAIC>2是条金科玉律(Burnham & Anderson, 2002),但是Anderson大神在2008版的书中似乎把ΔAIC>2给降级了(Andersion, 2008),建议不要轻信这条规律,而是建议把所有模型统统进行模型平均,也就是不要随便剔除一些看似不可能模型,哪怕这些模型的权重都小得接近于零。如果ΔAIC>2,通过最优模型,代入实际岛屿参数测量值,就可以计算出预测的鸟类种数或者存在墓葬的可能性。现在由于ΔAIC<2,第一个模型无法“代表”其他模型,于是所有模型都得参与进来。假设 Y^ 值为预测值(鸟类种数或墓葬出现概率),则平均预测值为:

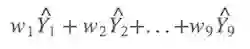
啥意思?假设有九个可能模型,则有九个模型的权重,以及可以计算出九个预测值。如今,平均预测值就是预测值分别乘以权重后的和,比如

既然预测值Y^需要模型平均,参数估计值也得平均,道理跟估计预测值相似。假设参数i的参数估计为θi,本来当ΔAIC>2时只要直接采用最小AIC模型的 θi 值即可,现在则需要把含有参数 i 的所有模型列出来,进行模型平均:

同理,计算参数估计的方差时,也得进行模型平均,得到非条件方差估计(unconditional variance estimate),详见(Burnham & Anderson, 2002, p.162):

Anderson大神似乎对这个公式也不是很满意,建议更新为Anderson (2008)第111页的公式,其实计算结果相差不多:

其中 $\hat{\bar{θ}}$ 是模型的平均参数估计,wi 是模型权重,以及 gi 表示第i 个模型。简言之,非条件方差估计就是包括两部分:根号内的前部分是本身的取样方差,另外一部分是由于模型选择不确定导致的方差。所以,把后者考虑进去以后,最后的方差估计不会由于模型的不确定性而降低准确性。我怕表达有所不准,列出Anderson(2008)第111页的原文: an estimator of the variance of parameter estimater esimates that incorporates both sampling variance, given a model, and a variance component for model selection uncertainty. 所以,在样本量较大的前提下,最后参数的置信区间为

实战演练

演练开始之前,请确保已经安装下列软件包:glmultiMuMInbbmle。网速给力的情况下,最简单的方法是直接在R语言操作界面中输入



install.packages("glmulti")



否则,得从R的镜像网站下载压缩包后再本地安装。

演练一:千岛湖鸟类多样性的决定因素

导入 glmulti



library(glmulti)



###Loading required package: rJava

导入千岛湖鸟类和岛屿数据(注:这个数据是真实的,只是我把数据的顺序随机调换了)



tilbird <- read.table("http://sixf.org/files/code/2014/tilbird.txt", h = T)  #找到 'tilbird.txt'文件并打开str(tilbird)  ##检查`til.bird`的数据结构



###'data.frame': 40 obs. of  9 variables: ### $ birdspp  : int  43 34 35 32 31 27 30 33 24 24 ... ### $ area     : num  1289.2 143.2 109 55.1 46.4 ... ### $ isolation: num  897 1415 965 954 730 ... ### $ plants   : int  36 50 88 86 65 68 45 49 45 31 ... ### $ habitats : int  3 6 3 3 3 3 3 7 4 4 ... ### $ Pe       : num  105965 17465 12022 7570 10444 ... ### $ PAR      : num  82.2 122 110.3 137.4 225.2 ... ### $ SI       : num  832 412 325 288 433 ... ### $ elev     : num  298 251 227 198 174 ...

数据中第一列为鸟类物种数,其余八列为岛屿参数,分别为:面积、隔离度、植物物种数、生境类别数、岛屿周长、周长面积比(越大表示边缘越多)、形状指数(完全的圆形,则形状指数为1)和海拔。

模型开始之前得进行岛屿参数的独立性检验。其中方法可以使用相关分析(correlation test),方差膨胀系数(VIF)和主成份分析(PCA),这里采用常用的相关分析。

相关分析的R语言命令是cor.test,这是两两检验。cor是多个参数一起检验,可以多个参数一起检验的时候,结果不给出p值,于是我写了一个小函数,就是多个参数检验的时候也同时给出p值。命令名称为cor.sig,代码为:



cor.sig = function(test) {    res.cor = cor(test)    res.sig = res.cor    res.sig[abs(res.sig) > 0] = NA    nx = dim(test)[2]    for (i in 1:nx) {        for (j in 1:nx) {            res.cor1 = as.numeric(cor.test(test[, i], test[, j])$est)            res.sig1 = as.numeric(cor.test(test[, i], test[, j])$p.value)            if (res.sig1 <= 0.001) {                sig.mark = "***"            }            if (res.sig1 <= 0.01 & res.sig1 > 0.001) {                sig.mark = "** "            }            if (res.sig1 <= 0.05 & res.sig1 > 0.01) {                sig.mark = "*  "            }            if (res.sig1 > 0.05) {                sig.mark = "   "            }            if (res.cor1 > 0) {                res.sig[i, j] = paste(" ", as.character(round(res.cor1, 3)),                  sig.mark, sep = "")            } else {                res.sig[i, j] = paste(as.character(round(res.cor1, 3)), sig.mark,                  sep = "")            }        }    }    as.data.frame(res.sig)}



所有岛屿参数进行相关分析,



cor.sig(tilbird[, 2:9])  #第一列不算,那是鸟类物种数,即Y值。



###               area isolation    plants  habitats        Pe       PAR ###area           1*** -0.115    -0.139    -0.064     0.996*** -0.429** ###isolation -0.115         1*** -0.101      -0.1    -0.117     0.299   ###plants    -0.139    -0.101         1***  -0.16    -0.138    -0.048   ###habitats  -0.064      -0.1     -0.16         1*** -0.057    -0.035   ###Pe         0.996*** -0.117    -0.138    -0.057         1*** -0.481** ###PAR       -0.429**   0.299    -0.048    -0.035    -0.481**       1*** ###SI         0.857*** -0.045    -0.167    -0.034     0.898*** -0.619*** ###elev       0.726*** -0.127    -0.039    -0.032     0.775*** -0.803*** ###                 SI      elev ###area       0.857***  0.726*** ###isolation -0.045    -0.127   ###plants    -0.167    -0.039   ###habitats  -0.034    -0.032   ###Pe         0.898***  0.775*** ###PAR       -0.619*** -0.803*** ###SI             1***  0.888*** ###elev       0.888***      1***

结果表明,面积跟周长、周长面积比、形状指数和海拔呈显著相关。考虑到这些因素的生物学意义,很明显,除去其他显著相关的参数而保留面积是合理的,因为在岛屿生物地理学框架下,面积是极为重要的参数,且这里的其他参数都可能由于面积而产生。比如海拔,由于是岛屿,在坡度相似的情况下,面积越大,海拔越高。所以,最后进入模型的是四个参数:面积、隔离度、植物数和生境数。

权且采用最常见的线性模型(linear model),创建总模型(global model),即包括所有参数:



global.model <- lm(birdspp ~ area + isolation + plants + habitats, data = tilbird)



然后利用glmulti包中的函数glmulti对所有可能模型中来选择最优模型。此处由于是4个参数,则共有2^4=16个可能模型(此处不考虑交互效应)。



bird.model <- glmulti(global.model, level = 1, crit = "aicc")  #选用AICc进行评判模型



###Initialization... ###TASK: Exhaustive screening of candidate set. ###Fitting... ###Completed.



summary(bird.model)



###$name ###[1] "glmulti.analysis" ### ###$method ###[1] "h" ### ###$fitting ###[1] "lm" ### ###$crit ###[1] "aicc" ### ###$level ###[1] 1 ### ###$marginality ###[1] FALSE ### ###$confsetsize ###[1] 100 ### ###$bestic ###[1] 223.7 ### ###$icvalues ### [1] 223.7 223.8 225.0 225.7 226.2 226.7 228.6 228.7 243.6 244.1 244.5 ###[12] 244.5 246.0 246.7 246.8 247.0 ### ###$bestmodel ###[1] "birdspp ~ 1 + area + habitats" ### ###$modelweights ### [1] 2.871e-01 2.708e-01 1.455e-01 1.049e-01 8.123e-02 6.348e-02 2.432e-02 ### [8] 2.259e-02 1.332e-05 1.036e-05 8.538e-06 8.461e-06 3.984e-06 2.794e-06 ###[15] 2.652e-06 2.496e-06 ### ###$includeobjects ###[1] TRUE

结果出来了,最优模型只包括面积和生境的参数,看看:



lm9 <- lm(birdspp ~ area + habitats, data = tilbird)summary(lm9)



### ###Call: ###lm(formula = birdspp ~ area + habitats, data = tilbird) ### ###Residuals: ###   Min     1Q Median     3Q    Max ###-6.606 -2.107 -0.263  1.911  8.705 ### ###Coefficients: ###            Estimate Std. Error t value Pr(>|t|)     ###(Intercept) 20.69295    2.08432    9.93  5.6e-12 *** ###area         0.01564    0.00289    5.41  3.9e-06 *** ###habitats     1.29893    0.55652    2.33    0.025 *   ###--- ###Signif. codes:  0 '***' 0.001 '**' 0.01 '*' 0.05 '.' 0.1 ' ' 1 ### ###Residual standard error: 3.67 on 37 degrees of freedom ###Multiple R-squared:  0.474, Adjusted R-squared:  0.445 ###F-statistic: 16.6 on 2 and 37 DF,  p-value: 7e-06

但再看看刚才的模型的AICc结果:



summary(bird.model)$icvalue



### [1] 223.7 223.8 225.0 225.7 226.2 226.7 228.6 228.7 243.6 244.1 244.5 ###[12] 244.5 246.0 246.7 246.8 247.0

发现第二个模型的ΔAICc为223.8-223.7=0.1。坑爹啊!如果此时ΔAICc>2,则模型选择到此结束,即最优模型为第一个模型。可是,现实比较残忍,继续模型平均,列出所有可能模型:





看着比较壮观,但是碰到十个参数,共 2^10=1024 个可能模型的时候就比较麻烦了。没事,可以再编个程序循环一下就行,后文会再次提及此问题。

16个可能模型一起平均,



library(MuMIn)lm.ave <- model.avg(lm1, lm2, lm3, lm4, lm5, lm6, lm7, lm8, lm9, lm10, lm11,    lm12, lm13, lm14, lm15, lm16)summary(lm.ave)



### ###Call: ###model.avg.default(object = lm1, lm2, lm3, lm4, lm5, lm6, lm7, ###    lm8, lm9, lm10, lm11, lm12, lm13, lm14, lm15, lm16) ### ###Component models: ###       df logLik  AICc Delta Weight ###12      4 -107.3 223.7  0.00   0.29 ###123     5 -106.0 223.8  0.12   0.27 ###124     5 -106.6 225.0  1.36   0.15 ###1234    6 -105.6 225.7  2.01   0.10 ###13      4 -108.5 226.2  2.53   0.08 ###1       3 -110.0 226.7  3.02   0.06 ###134     5 -108.4 228.6  4.94   0.02 ###14      4 -109.8 228.7  5.08   0.02 ###3       3 -118.5 243.6 19.96   0.00 ###23      4 -117.5 244.1 20.46   0.00 ###(Null)  2 -120.1 244.5 20.85   0.00 ###2       3 -118.9 244.5 20.86   0.00 ###34      4 -118.4 246.0 22.37   0.00 ###234     5 -117.5 246.7 23.08   0.00 ###4       3 -120.1 246.8 23.18   0.00 ###24      4 -118.9 247.0 23.31   0.00 ### ###Term codes: ###     area  habitats isolation    plants ###        1         2         3         4 ### ###Model-averaged coefficients: ###             Estimate Std. Error Adjusted SE z value Pr(>|z|)     ###(Intercept) 22.023011   3.272613    3.327045    6.62   <2e-16 *** ###area         0.015423   0.002945    0.003044    5.07   <2e-16 *** ###habitats     1.287322   0.560392    0.579478    2.22    0.026 *   ###isolation   -0.001104   0.000728    0.000753    1.47    0.143     ###plants       0.019405   0.021519    0.022247    0.87    0.383     ###--- ###Signif. codes:  0 '***' 0.001 '**' 0.01 '*' 0.05 '.' 0.1 ' ' 1 ### ###Full model-averaged coefficients (with shrinkage): ### (Intercept)      area  habitats isolation    plants ###   22.023011  0.015422  1.040595 -0.000531  0.005770 ### ###Relative variable importance: ###     area  habitats isolation    plants ###     1.00      0.81      0.48      0.30

结果中的第一部分,’Component models’,即列出了所有模型的自由度(df),对数似然函数(logLik),AICc值,ΔAICc值和模型权重。比如最优模型的模型权重为0.29,即为真实模型的可能性为29%(其实是非常低的,一般达到0.6-0.7就很不错了,当然,这里使用的数据是被我随机化过的,所以结果没有实际参考价值)

其中的第4部分,’Full model-averaged coefficients’,即是平均参数估计, $\hat{\bar{θ}}$ 。

第5部分,’Relative variable importance’,即是各个参数的重要值。最大为1,可见该例子中,面积是最重要的,次之是生境。至于隔离度和植物数量,则在模型中贡献不大。

MuMIn包里面其实有现成的命令dredge得到上述的部分结果,不信,试试输入以下一句命令:



dredge(global.model)



此时如果打算计算各岛的预鸟类物种数,则可以如下进行模型平均:

pred.mat <- matrix(NA, ncol = 16, nrow = 40, dimnames = list(paste("isl", 1:40,

sep = ""), paste("lm", 1:16, sep = "")))  #建立一个空矩阵,放40个岛的各16各模型预测值,如下所示

bird.pred <- pred.mat %*% summary(lm.ave)$msTable$weight[c(4,14,3,2,7,16,10,13,1,8,5,6,9,15,12,11)]round(t(bird.pred),2) #把矩阵换方向,给页面省点空间,跟分析无关

###      isl1  isl2  isl3  isl4  isl5  isl6  isl7  isl8  isl9 isl10 ###[1,] 44.76 30.01 26.82 25.98 25.85 24.97 24.87 29.67 26.19 25.46 ###     isl11 isl12 isl13 isl14 isl15 isl16 isl17 isl18 isl19 isl20 ###[1,] 25.11 25.06 24.81 23.79 25.03 24.41    26 25.03 24.92  26.6 ###     isl21 isl22 isl23 isl24 isl25 isl26 isl27 isl28 isl29 isl30 ###[1,] 25.63 25.12 24.32  24.1 25.02 24.62 24.15 26.52 27.03 23.69 ###     isl31 isl32 isl33 isl34 isl35 isl36 isl37 isl38 isl39 isl40 ###[1,] 25.59  24.5 24.27 26.11 25.51  26.5 24.88 24.95 28.28 24.91

还有一点是非条件方差估计,这个,有点麻烦,等以后再说。计算方法其实跟上述的 $\hat{\bar{Y}}$ 类似。

实战演练二: 千岛湖墓群的决定因素

这个分析就跟上述方法相似了,按部就班:



tiltomb <- read.table("http://sixf.org/files/code/2014/tiltomb.txt", h = T)  #读取墓的虚拟数据 'tiltomb.txt'cor.sig(tiltomb[, -1])



###              area    plants  habitats        SI      elev    convex ###area          1*** -0.139    -0.064     0.857***  0.726***  0.041   ###plants   -0.139         1***  -0.16    -0.167    -0.039    -0.107   ###habitats -0.064     -0.16         1*** -0.034    -0.032    -0.187   ###SI        0.857*** -0.167    -0.034         1***  0.888***  0.237   ###elev      0.726*** -0.039    -0.032     0.888***      1***  0.307   ###convex    0.041    -0.107    -0.187     0.237     0.307         1*** ###slope     0.248     0.193     0.115     0.247     0.322*    0.264   ###aspect   -0.114    -0.081     0.141     0.069     0.278     0.075   ###Al        0.088    -0.066     0.193     0.223     0.326*     0.06   ###Si        0.055    -0.099     0.101      0.14     0.243     0.081   ###sand     -0.207     0.197     0.111     -0.22    -0.191    -0.311   ###pH       -0.194    -0.132    -0.204     -0.17    -0.228     0.018   ###             slope    aspect        Al        Si      sand        pH ###area      0.248    -0.114     0.088     0.055    -0.207    -0.194   ###plants    0.193    -0.081    -0.066    -0.099     0.197    -0.132   ###habitats  0.115     0.141     0.193     0.101     0.111    -0.204   ###SI        0.247     0.069     0.223      0.14     -0.22     -0.17   ###elev      0.322*    0.278     0.326*    0.243    -0.191    -0.228   ###convex    0.264     0.075      0.06     0.081    -0.311     0.018   ###slope         1*** -0.093     0.412**   0.334*    0.111     -0.53*** ###aspect   -0.093         1***  0.075     0.101    -0.086     0.198   ###Al        0.412**   0.075         1***  0.887***  0.615*** -0.756*** ###Si        0.334*    0.101     0.887***      1***  0.504*** -0.646*** ###sand      0.111    -0.086     0.615***  0.504***      1*** -0.598*** ###pH        -0.53***  0.198    -0.756*** -0.646*** -0.598***      1***

结果发现面积、形状指数和海拔显著相关。考虑岛实际因素,岛屿面积或者说千岛湖以前的山头大小估计不会是墓葬考虑的因素,而这个山头圆不圆,这关乎风水的事,应该是主要因素,所以剔除面积和海拔。再看发现形状指数跟沙土也有正相关,可是考虑沙土多少是决定建不建墓的关键因素,予以保留,何况不是非常强烈的正相关(coef. = 0.373)。再看发现铝、硅和坡度有相关,可以确信铝和硅,其中之一是冗余的,因为白膏泥富含铝和硅。白膏泥相对铝含量较多,此处选择去除硅,以及另外的坡度。pH跟沙土相关,看来得把pH去除,估计过了上千年,墓葬中的有机质早化成泥土了。

再看看选取参数后的结果,



cor.sig(tiltomb[, c("plants", "habitats", "SI", "convex", "aspect", "Al", "sand")])



###            plants  habitats        SI    convex    aspect        Al ###plants        1***  -0.16    -0.167    -0.107    -0.081    -0.066   ###habitats  -0.16         1*** -0.034    -0.187     0.141     0.193   ###SI       -0.167    -0.034         1***  0.237     0.069     0.223   ###convex   -0.107    -0.187     0.237         1***  0.075      0.06   ###aspect   -0.081     0.141     0.069     0.075         1***  0.075   ###Al       -0.066     0.193     0.223      0.06     0.075         1*** ###sand      0.197     0.111     -0.22    -0.311    -0.086     0.615*** ###              sand ###plants    0.197   ###habitats  0.111   ###SI        -0.22   ###convex   -0.311   ###aspect   -0.086   ###Al        0.615*** ###sand          1***

后续步骤跟演练一类似,不同的是,此处的应变量为二元结构,即presence-absence数据,得用广义线性模型中的逻辑斯帝回归(logistic regression)。其他注解省略,直接上程序,



global.model.tomb <- glm(tomb ~ plants + habitats + SI + convex + aspect + Al +    sand, family = binomial("logit"), data = tiltomb)tomb.model <- glmulti(global.model.tomb, level = 1, crit = "aicc")



###Initialization... ###TASK: Exhaustive screening of candidate set. ###Fitting... ### ###After 50 models: ###Best model: tomb~1+SI ###Crit= 57.9820910321992 ###Mean crit= 64.0858355584437

### ###After 100 models: ###Best model: tomb~1+SI ###Crit= 57.9820910321992 ###Mean crit= 64.9421343165768

### ###After 150 models: ###Best model: tomb~1+SI ###Crit= 57.9820910321992 ###Mean crit= 64.5619346833708

###Completed.



summary(tomb.model)



###$name ###[1] "glmulti.analysis" ### ###$method ###[1] "h" ### ###$fitting ###[1] "glm" ### ###$crit ###[1] "aicc" ### ###$level ###[1] 1 ### ###$marginality ###[1] FALSE ### ###$confsetsize ###[1] 100 ### ###$bestic ###[1] 57.98 ### ###$icvalues ###  [1] 57.98 58.33 59.61 60.17 60.22 60.30 60.39 60.46 60.54 60.75 60.82 ### [12] 60.94 62.15 62.17 62.18 62.24 62.39 62.44 62.67 62.70 62.77 62.77 ### [23] 62.79 62.87 62.89 62.91 62.95 62.98 63.01 63.09 63.19 63.27 63.32 ### [34] 63.51 63.53 63.60 63.66 64.05 64.43 64.52 64.53 64.60 64.62 64.77 ### [45] 64.80 64.87 64.88 64.91 64.92 64.92 64.95 64.96 65.08 65.12 65.14 ### [56] 65.40 65.40 65.45 65.52 65.54 65.58 65.65 65.66 65.67 65.69 65.69 ### [67] 65.72 65.81 65.82 65.88 66.02 66.08 66.14 66.14 66.22 66.32 66.47 ### [78] 66.56 66.64 66.72 66.82 66.85 66.91 66.92 66.93 67.22 67.35 67.37 ### [89] 67.38 67.64 67.65 67.66 67.67 67.80 67.83 67.83 67.86 67.87 68.02 ###[100] 68.17 ### ###$bestmodel ###[1] "tomb ~ 1 + SI" ### ###$modelweights ###  [1] 0.1201201 0.1011728 0.0531133 0.0401592 0.0392729 0.0377621 0.0359927 ###  [8] 0.0348480 0.0333513 0.0300502 0.0290503 0.0273379 0.0149678 0.0148350 ### [15] 0.0147370 0.0143245 0.0132729 0.0129413 0.0115051 0.0113448 0.0109770 ### [22] 0.0109687 0.0108420 0.0104403 0.0103423 0.0102346 0.0100197 0.0098576 ### [29] 0.0097113 0.0093423 0.0088919 0.0085364 0.0083084 0.0075580 0.0074968 ### [36] 0.0072460 0.0070090 0.0057865 0.0047700 0.0045613 0.0045489 0.0043911 ### [43] 0.0043397 0.0040282 0.0039725 0.0038450 0.0038208 0.0037599 0.0037378 ### [50] 0.0037365 0.0036946 0.0036696 0.0034468 0.0033923 0.0033552 0.0029419 ### [57] 0.0029405 0.0028648 0.0027779 0.0027422 0.0026895 0.0025989 0.0025888 ### [64] 0.0025730 0.0025506 0.0025475 0.0025079 0.0023998 0.0023883 0.0023173 ### [71] 0.0021582 0.0020990 0.0020310 0.0020308 0.0019495 0.0018537 0.0017263 ### [78] 0.0016468 0.0015814 0.0015211 0.0014462 0.0014228 0.0013853 0.0013789 ### [85] 0.0013704 0.0011849 0.0011078 0.0011006 0.0010928 0.0009612 0.0009542 ### [92] 0.0009487 0.0009451 0.0008861 0.0008726 0.0008723 0.0008583 0.0008546 ### [99] 0.0007955 0.0007370 ### ###$includeobjects ###[1] TRUE

结果一看,最优模型只包括形状指数,看来理论想像的数据也不错嘛,虽然烦人的ΔAICc依旧小于2,因此还得继续模型平均了。因为 2^7=128 个可能模型,手动输入运算则是比较折腾了,所以得写个循环程序让电脑来运算。



tomb7=tiltomb[, c("plants", "habitats", "SI", "convex", "aspect", "Al", "sand","tomb")]npar=7modPar=c("plants", "habitats", "SI", "convex", "aspect", "Al", "sand","tomb")unit=c(1,0)parEst=rep(unit,each=2^(npar-1))for (i in 2:npar){  unit=c(i,0)  parEst.tmp=rep(rep(unit,each=2^(npar-i)),2^(i-1))  parEst=cbind(parEst,parEst.tmp)}parMat=cbind(parEst[,1:npar],1)dimnames(parMat)=list(1:(2^npar),modPar)allModel=list()for (i in 1:(dim(parMat)[1]-1)) {    tomb7.tmp=tomb7[,parMat[i,]!=0]    allModel[[i]]=glm(tomb~.,family = binomial("logit"),data=tomb7.tmp)}modelC=glm(tomb~1,family = binomial("logit"),data=tomb7)lm.ave <- model.avg(allModel,modelC)summary(lm.ave)



其中128个模型平均后的部分结果为:

### Full model-averaged coefficients (with shrinkage): ### (Intercept)          SI          Al        sand      aspect    habitats      convex      plants ### -2.96791424  0.01986124 -0.09423029 -0.08413135  0.00217080 -0.04294219  0.00446755  0.00043138 ### ###Relative variable importance: ###      SI   aspect       Al     sand habitats   convex   plants ###   0.98     0.27     0.27     0.26     0.24     0.23     0.22 

再次放个大招吧,一次性列出模型平均后的部分结果:



dredge(global.model.tomb)



结果

千岛湖鸟类多样性主要取决于岛屿面积和生境多样性,而墓葬可能性取决于岛屿的形状指数。

讨论

听说统计上有一个更牛的利器是随机森林模型(random forest model),可以无视参数是否独立,直接进入模型而且可以精确预测。哪天有兴趣琢磨琢磨。

PS: 以下是娱乐时间。

圆山头是墓葬的首选,所以,各位看官以后到千岛湖旅游,不要去什么猴岛蛇岛,选择山头比较圆的岛,才是王道!

最后检验一下鸟类多样性跟墓葬出现的相关性分析:



cor.test(tilbird[, 1], tiltomb[, 1])



### ### Pearson's product-moment correlation ### ###data:  tilbird[, 1] and tiltomb[, 1] ###t = 3.256, df = 38, p-value = 0.002378 ###alternative hypothesis: true correlation is not equal to 0 ###95 percent confidence interval: ### 0.1821 0.6797 ###sample estimates: ###   cor ###0.4671

结果是显著正相关(t = 3.2562, df = 38, p-value = 0.002378)。墓葬的出现,表示该岛风水还不错,所以最后证实本文的最初假设,即跟蜘蛛侠讨论时所做的预测:鸟类多样性与风水有显著的相关性。

by 算法与数据之美


登录查看更多
0

相关内容

基于深度学习的多标签生成研究进展
专知会员服务
147+阅读 · 2020年4月25日
因果关联学习,Causal Relational Learning
专知会员服务
185+阅读 · 2020年4月21日
【ACL2020-Google】逆向工程配置的神经文本生成模型
专知会员服务
17+阅读 · 2020年4月20日
【中国人民大学】机器学习的隐私保护研究综述
专知会员服务
134+阅读 · 2020年3月25日
【Google】无监督机器翻译,Unsupervised Machine Translation
专知会员服务
36+阅读 · 2020年3月3日
【新书】贝叶斯网络进展与新应用,附全书下载
专知会员服务
122+阅读 · 2019年12月9日
注意力机制模型最新综述
专知会员服务
271+阅读 · 2019年10月20日
一文读懂机器学习模型的选择与取舍
DBAplus社群
13+阅读 · 2019年8月25日
从语言学角度看词嵌入模型
AI研习社
4+阅读 · 2018年12月1日
计算:XGBoost背后的数学之美
论智
12+阅读 · 2018年8月20日
如果你研究多因子模型,这篇文章看不懂就别玩了!
量化投资与机器学习
26+阅读 · 2018年7月31日
基于样本选择的安全图半监督学习方法
Machine Learning:十大机器学习算法
开源中国
21+阅读 · 2018年3月1日
推荐|机器学习中的模型评价、模型选择和算法选择!
全球人工智能
10+阅读 · 2018年2月5日
基于LDA的主题模型实践(一)
机器学习深度学习实战原创交流
20+阅读 · 2015年9月9日
Arxiv
21+阅读 · 2019年8月21日
Adaptive Neural Trees
Arxiv
4+阅读 · 2018年12月10日
Arxiv
3+阅读 · 2018年10月18日
Arxiv
3+阅读 · 2018年2月24日
Arxiv
5+阅读 · 2018年1月16日
Arxiv
7+阅读 · 2018年1月10日
VIP会员
最新内容
BES:让语言模型通过双向进化搜索自我改进
专知会员服务
0+阅读 · 5月30日
以色列-美国-伊朗战争中的无人机:关键要点
专知会员服务
3+阅读 · 5月30日
《Palantir任务保障性软件安全标准(MA-S2)》
专知会员服务
7+阅读 · 5月30日
基于声学的无人机检测技术综述
专知会员服务
5+阅读 · 5月30日
《当代混合战争分析框架:俄乌战争经验教训》
战略前沿人工智能的再思考(中文)
专知会员服务
7+阅读 · 5月29日
《量化地基防空系统间接效应的博弈论方法》
专知会员服务
5+阅读 · 5月29日
相关VIP内容
基于深度学习的多标签生成研究进展
专知会员服务
147+阅读 · 2020年4月25日
因果关联学习,Causal Relational Learning
专知会员服务
185+阅读 · 2020年4月21日
【ACL2020-Google】逆向工程配置的神经文本生成模型
专知会员服务
17+阅读 · 2020年4月20日
【中国人民大学】机器学习的隐私保护研究综述
专知会员服务
134+阅读 · 2020年3月25日
【Google】无监督机器翻译,Unsupervised Machine Translation
专知会员服务
36+阅读 · 2020年3月3日
【新书】贝叶斯网络进展与新应用,附全书下载
专知会员服务
122+阅读 · 2019年12月9日
注意力机制模型最新综述
专知会员服务
271+阅读 · 2019年10月20日
相关资讯
一文读懂机器学习模型的选择与取舍
DBAplus社群
13+阅读 · 2019年8月25日
从语言学角度看词嵌入模型
AI研习社
4+阅读 · 2018年12月1日
计算:XGBoost背后的数学之美
论智
12+阅读 · 2018年8月20日
如果你研究多因子模型,这篇文章看不懂就别玩了!
量化投资与机器学习
26+阅读 · 2018年7月31日
基于样本选择的安全图半监督学习方法
Machine Learning:十大机器学习算法
开源中国
21+阅读 · 2018年3月1日
推荐|机器学习中的模型评价、模型选择和算法选择!
全球人工智能
10+阅读 · 2018年2月5日
基于LDA的主题模型实践(一)
机器学习深度学习实战原创交流
20+阅读 · 2015年9月9日
相关论文
Arxiv
21+阅读 · 2019年8月21日
Adaptive Neural Trees
Arxiv
4+阅读 · 2018年12月10日
Arxiv
3+阅读 · 2018年10月18日
Arxiv
3+阅读 · 2018年2月24日
Arxiv
5+阅读 · 2018年1月16日
Arxiv
7+阅读 · 2018年1月10日
Top
微信扫码咨询专知VIP会员