【泡泡图灵智库】一种用于快速自主飞行且非常鲁棒的双目视觉惯性里程计方法(ICRA-39)

2018 年 9 月 3 日 泡泡机器人SLAM

泡泡图灵智库,带你精读机器人顶级会议文章

题:Robust Stereo Visual Inertial Odometry for  Fast Autonomous Flight

作者Ke Sun, Kartik Mohta, Bernd Pfrommer, Michael Watterson, Sikang Liu,Yash Mulgaonkar, Camillo J. Taylor, and Vijay Kumar

来源:ICRA2017

播音员:四姑娘

编译:杨小育

审核:皮燕燕

欢迎个人转发朋友圈;其他机构或自媒体如需转载,后台留言申请授权


摘要

       大家好,今天为大家带来的文章是——一种用于快速自主飞行且非常鲁棒的双目视觉惯性里程计方法,该文章发表于ICRA2017 。


       近年来,基于状态估计方法的视觉辅助IMU里程计方法已非常成熟。然而微型飞行器的尺寸和负载能力有限,因而无法使用高精度的传感器和强大的处理器,所以在提升算法的效率和鲁棒性方面就会遇到很多挑战。在本文中,我们提出了一种基于滤波器的双目视觉惯性里程计,它使用多状态约束卡尔曼滤波器(MSCKF)实现。以前的双目视觉里程计方法的计算成本都很高,而我们提出的双目多状态约束卡尔曼滤波器(S-MSCKF)在计算效率方面和现有的单目视觉里程计方法相当,同时又有很高的鲁棒性。为了评估S-MSCKF方法,我们把它和OKVIS,ROVIO,VINS-MONO在EuRoC数据集和自己的数据集上进行了比较。在真实的室内和室外环境中进行实验时,无人机的最大飞行速率达到17.5m/s。S-MSCKF方法的代码可以在https://github.com/KumarRobotics/msckf_vio获得。

主要贡献

      1、 提出一种基于滤波器的双目视觉融合IMU里程计,该方法可以在没有GPU加速的情况下运行。

      2、 该方法所提出的S-MSCKF比现有的开源VIO解决方案(OKVIS,ROVIO 和VINS-MONO )在准确性,效率和鲁棒性方面有更出色的表现。

算法流程

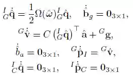
1、 IMU的状态估计方程为

  其中w和a分别为IMU测量的角速度和加速度


2、 用IMU误差估计的线性连续动力学模型为

3、 协方差的增广矩阵为

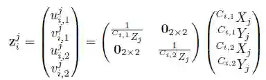
4、 双目相机的观测方程为

        其中, Ci,k Xj,  Ci,k Yj , Ci,k Zj , k ∈ {1, 2},为特征点的坐标。


5、 在对当前估计值下对观测方程进行线性化处理,因而残差可以近似为

        由于Gpj是由相机的姿态计算出来的,为了保证Gpj的不确定性不影响残差,所以将上式投影到零空间,可得下式

主要结果

图 1 (a)和(b)分别为OKVIS,ROVIO,VINS-MONO在EuRoC数据集上的均方根误差(RMSE)和平均CPU负载

图 2 (a)和(b)分别为OKVIS,ROVIO,VINS-MONO在我们数据集上的均方根误差(RMSE)和平均CPU负载

图 3 全自主飞行实验,蓝色,红色和黄色点分别代表起始点,目标位置和仓库的唯一入口,在超过700米的飞行中,最终的漂移在3米左右,约为0.5%

Abstract

In recent years, vision-aided inertial odometry for state estimation has matured significantly. However, we still encounter challenges in terms of improving the computational efficiency and robustness of the underlying algorithms for ap-plications in autonomous flight with micro aerial vehicles in which it is difficult to use high quality sensors and powerful processors because of constraints on size and weight. In this paper, we present a filter-based stereo visual inertial odometry that uses the Multi-State Constraint Kalman Filter (MSCKF) [1]. Previous work on stereo visual inertial odometry has resulted in solutions that are computationally expensive. We demon-strate that our Stereo Multi-State Constraint Kalman Filter (S-MSCKF) is comparable to state-of-art monocular solutions in terms of computational cost, while providing significantly greater robustness. We evaluate our S-MSCKF algorithm and compare it with state-of-art methods including OKVIS, ROVIO, and VINS-MONO on both the EuRoC dataset, and our own experimental datasets demonstrating fast autonomous flight with maximum speed of 17.5m/s in indoor and outdoor environ-ments. Our implementation of the S-MSCKF is available at https://github.com/KumarRobotics/msckf vio.


如果你对本文感兴趣,想要下载完整文章进行阅读,可以关注【泡泡机器人SLAM】公众号


点击阅读原文,即可获取本文下载链接。

欢迎来到泡泡论坛,这里有大牛为你解答关于SLAM的任何疑惑。

有想问的问题,或者想刷帖回答问题,泡泡论坛欢迎你!

泡泡网站:www.paopaorobot.org

泡泡论坛:http://paopaorobot.org/forums/


泡泡机器人SLAM的原创内容均由泡泡机器人的成员花费大量心血制作而成,希望大家珍惜我们的劳动成果,转载请务必注明出自【泡泡机器人SLAM】微信公众号,否则侵权必究!同时,我们也欢迎各位转载到自己的朋友圈,让更多的人能进入到SLAM这个领域中,让我们共同为推进中国的SLAM事业而努力!

商业合作及转载请联系[email protected]

登录查看更多
7

相关内容

the IEEE International Conference on Robotics and Automation (ICRA), is an annual academic conference covering advances in robotics. It is one of the premier conferences of its field with an 'A' rating from the Australian Ranking of ICT Conferences obtained in 2010 and an 'A1' rating from the Brazilian ministry of education in 2012.
【开放书】SLAM 中的几何与学习方法,62页pdf
专知会员服务
111+阅读 · 2020年6月5日
基于视觉的三维重建关键技术研究综述
专知会员服务
166+阅读 · 2020年5月1日
【CVPR2020-百度】用于视觉识别的门控信道变换
专知会员服务
13+阅读 · 2020年3月30日
专知会员服务
87+阅读 · 2019年12月13日
【泡泡图灵智库】协同视觉-惯性SLAM
泡泡机器人SLAM
29+阅读 · 2019年9月6日
【泡泡图灵智库】面向无人机的高效双目SLAM
泡泡机器人SLAM
6+阅读 · 2019年5月31日
【泡泡图灵智库】基于点线的直接单目视觉里程计(ICRA)
【泡泡图灵智库】基于线段引导的直接视觉里程计算法
泡泡机器人SLAM
3+阅读 · 2018年8月19日
Real-time Scalable Dense Surfel Mapping
Arxiv
5+阅读 · 2019年9月10日
Efficient and Effective $L_0$ Feature Selection
Arxiv
5+阅读 · 2018年8月7日
Arxiv
3+阅读 · 2018年3月13日
VIP会员
最新内容
AutoScientists:自组织智能体团队驱动长期科学实验
战略前沿人工智能的再思考(中文)
专知会员服务
2+阅读 · 今天14:53
《量化地基防空系统间接效应的博弈论方法》
专知会员服务
2+阅读 · 今天14:51
“史诗怒火行动”中美军损失的作战飞机
专知会员服务
2+阅读 · 今天14:38
ICML 2026 | 理解上下文持续学习中的泛化与遗忘
专知会员服务
5+阅读 · 5月28日
Agent Harness综述:大模型智能体执行器工程全景
专知会员服务
13+阅读 · 5月28日
《基于理论的威慑效能评估》
专知会员服务
8+阅读 · 5月28日
相关VIP内容
【开放书】SLAM 中的几何与学习方法,62页pdf
专知会员服务
111+阅读 · 2020年6月5日
基于视觉的三维重建关键技术研究综述
专知会员服务
166+阅读 · 2020年5月1日
【CVPR2020-百度】用于视觉识别的门控信道变换
专知会员服务
13+阅读 · 2020年3月30日
专知会员服务
87+阅读 · 2019年12月13日
Top
微信扫码咨询专知VIP会员