CVPR 19系列 | Stereo R-CNN 3D 目标检测

2019 年 11 月 22 日 计算机视觉战队

摘要

之前在3D检测方面的文章层出不穷,也是各个公司无人驾驶或者机器人学部门关注的重点,包含了点云,点云图像融合,以及单目3D检测,但是在双目视觉方面的贡献还是比较少,自从3DOP之后。总体来说,图像的检测距离,图像的density以及context信息,在3D检测中是不可或缺的一部分,因此作者在这篇文章中挖掘了双目视觉做3D检测的的潜力。

今天给大家分享的文章又是一个新技术:这篇文章通过充分利用立体图像中的稀疏、密集、语义和几何信息,提出了一种用于自动驾驶的称为立体声R-CNN的三维物体检测方法。扩展了Faster R-CNN用于立体声输入,以同时检测和关联左右图像中的对象。通过在立体区域提议网络(RPN)之后添加额外分支以预测稀疏关键点,视点和对象维度,其与2D左右框组合以计算粗略的3D对象边界框。然后,通过使用左右RoI的基于区域的光度对准来恢复精确的3D边界框。该方法不需要深度输入和3D位置,但是,效果优于所有现有的完全监督的基于图像的方法。在具有挑战性的KITTI数据集上的实验表明,该方法在3D检测和3D定位任务上的性能优于最先进的基于立体的方法约30%AP。

新网络框架

与单帧检测器(如Faster R-CNN)相比,Stereo R-CNN可以同时检测并关联左右图像的2D边界框,并进行微小修改。使用权重共享ResNet-101FPN 作为骨干网络来提取左右图像的一致特征。,受益于新提出的训练目标设计,如下图,没有额外的数据关联计算。

整个网络结构分为以下的几个部分:

  • RPN部分,将左右目的图像通过stereo RPN产生相应的候选,其实就是stereo RPN是在FPN的基础上,将每个FPN的scale上的feature map的进行concat的结构;

  • Stereo Regression,在RPN之后,通过Roi Align的操作,得到each FPN scale下的left and right Roi features,然后concat相应的特征,经过全连接层得到目标类别, stereo bounding boxes dimension还有viewpoint angle(下图所示) 的值;

viewpoint:根据上图假定物体的朝向是 θ,车中心和camera中心的方位角是β,那么viewpoint的角度为α = θ+ β,为了避免角度的歧义性,新技术回归的量还是[ sinα, cosα ]。

  • keypoint的检测。这里采用的是类似于mask rcnn的结构进行关键点的预测,定义了4个3D semantic keypoint,即车辆底部的3D corner point,同时将这4个点投影到图像,得到4个perspective keypoint,这4个点在3D bbox regression起到一定的作用,我们在下一部分再介绍。在keypoint检测任务中,利用Roi Align得到的14*14特征图,经过卷积和反卷积最后得到6 * 28 * 28的特征图,注意到只有keypoint的u坐标会提供2D Box以外的信息,因此,处于减少计算量的目的,新技术aggregate每一列的特征得到6 * 28的输出,其中前4个通道代表4个keypoint被投影到相应的u坐标的概率,后面两个通道代表是left or right boundary上的keypoint的概率。

3D Box Estimation

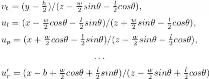
通过网络回归得到的2D box的dimension,viewpoint,还有keypoint,可以通过一定的方式得到3D box的位置,定义3D box的状态x = [x, y, z, θ]。

上图,给出了一些稀疏的约束。包含了特征点的映射过程。这里也体现了keypoint的用处:

上述公式即为约束方程,因此可以通过高斯牛顿的方法直接求解。

Dense 3D Box Alignment

这里就回到shenshaojie老师比较熟悉的BA的过程了,由于part 3仅仅只是一个object level的深度,这里文章利用最小化左右视图的RGB的值,得到一个更加refine的过程。定义如下的误差函数:

其中△zi代表第i个像素的深度与相对应的3D box的深度差。整个对齐过程其实相对于深度的直接预测是更加鲁棒,因为这种预测方法,避免了全局的depth estimation中的一些invalid的pixel引起的ill problem的问题。

实验

  • Stereo Recall and Stereo Detection:

Stereo R-CNN旨在同时检测和关联左右图像的对象。除了评估左右图像上的2D AR和2D AP之外,还定义了立体声AR和立体声AP度量。

Stereo AR和stereo AP度量共同评估2D检测和关联性能。如上表所示,stereo R-CNN在单个图像上具有与Faster R-CNN相似的提议回忆和检测精度,同时在左右图像中产生高质量的数据关联而无需额外的计算。虽然stereo AR略低于RPN中的左AR,但在R-CNN之后观察到几乎相同的左,右和stereo AP,这表明左右图像上的一致检测性能以及几乎所有真正的正向盒子。左图有相应的正阳性右框。还测试了左右特征融合的两种策略:元素均值和通道级联。如上表所示,其通道串联显示出更好的性能,因为它保留了所有信息。

  • 3D Detection and 3D Localization:

如上表使用针对鸟瞰图(AP bv)和3D框(AP 3d)的平均精度来评估3D检测和3D定位性能。注意:KITTI 3D检测基准测试很难用于基于图像的方法,随着物体距离的增加,3D性能会逐渐降低。 

在上图中可以直观地观察到这种现象,尽管该方法实现了子像素视差估计(小于0.5像素),但是由于视差和深度之间的反比关系,随着物距增加,深度误差变得更大。对于具有明显差异的对象,基于严格的几何约束实现高精度的深度估计。这就解释了为什么更高的IoU阈值,对象所属的更容易的制度,与其他方法相比,该方法获得了更多的改进。

  • Benefits of the Keypoint:

如下表所示,关键点的使用通过非平凡边缘改善了所有难度制度下的AP bv和AP 3D。由于关键点除了2D盒级测量之外还为3D盒角提供像素级约束,因此它可确保更准确的本地化性能:

  • Benefits of the Dense Alignment:

该实验显示了密集对齐带来的显着改进。如上表,评估粗3D盒(无对齐)的3D性能,其中深度信息是根据盒级视差和2D盒尺寸计算的。即使1像素视差或2D盒子错误也会导致远距离物体的大距离误差。结果,虽然粗糙的3D盒子在图像上具有预期的精确投影,但它对于3D定位来说不够准确。

Insight

最后谈谈文章看完后的一些insights,首先,整个文章将传统的detection的任务,结合了geometry constraint优化的方式,做到了3D位置的估计,想法其实在不少文章SFM-Learner之类的文章已经有体现过了,不过用在3D 检测上面还是比较新颖,避免了做双目匹配估计深度的过程。也属于SLAM跟深度学习结合的一篇文章,感兴趣的朋友可以继续看看arxiv.org/abs/1802.0552等相关文章。

我个人意义上的不足:首先耗时过程0.28s的inference time,不过可能作者的重点也不在这个方面,特征的利用上可以更加有效率,在实现上;其次,能不能采用deep 3dbox的方式预测dimension,然后添加入优化项呢?总体来说,是一篇不错的值得一读的文章!

END

如果想加入我们“计算机视觉战队”,请扫二维码加入学习群。计算机视觉战队主要涉及机器学习、深度学习等领域,由来自于各校的硕博研究生组成的团队,主要致力于人脸检测、人脸识别,多目标检测、目标跟踪、图像分割等研究方向。

我们开创一段时间的“计算机视觉协会”知识星球,也得到很多同学的认可,我们定时会推送实践型内容与大家分享,在星球里的同学可以随时提问,随时提需求,我们都会及时给予回复及给出对应的答复。

微信学习讨论群也可以加入,我们会第一时间在该些群里预告!

论文地址:https://arxiv.org/pdf/1902.09738.pdf

登录查看更多
0

相关内容

CVPR 2020 最佳论文与最佳学生论文!
专知会员服务
36+阅读 · 2020年6月17日
3D目标检测进展综述
专知会员服务
193+阅读 · 2020年4月24日
CVPR2020 | 商汤-港中文等提出PV-RCNN:3D目标检测新网络
专知会员服务
45+阅读 · 2020年4月17日
【北京大学】CVPR 2020 | PQ-NET:序列化的三维形状生成网络
近期必读的5篇 CVPR 2019【图卷积网络】相关论文和代码
专知会员服务
33+阅读 · 2020年1月10日
CVPR2019无人驾驶相关论文
极市平台
21+阅读 · 2019年3月20日
CVPR2019 | Stereo R-CNN 3D 目标检测
极市平台
27+阅读 · 2019年3月10日
Faster R-CNN
数据挖掘入门与实战
4+阅读 · 2018年4月20日
Fast R-CNN
数据挖掘入门与实战
3+阅读 · 2018年4月20日
Mask R-CNN 论文笔记
统计学习与视觉计算组
11+阅读 · 2018年3月22日
从R-CNN到Mask R-CNN
机器学习研究会
25+阅读 · 2017年11月13日
Mesh R-CNN
Arxiv
4+阅读 · 2019年6月6日
Arxiv
12+阅读 · 2019年1月24日
Auto-Context R-CNN
Arxiv
4+阅读 · 2018年7月8日
Arxiv
7+阅读 · 2018年1月24日
VIP会员
最新内容
《第四代军事特种作战部队选拔与评估》
专知会员服务
0+阅读 · 今天6:23
不对称优势上升:自主系统如何强化海上拒止
专知会员服务
0+阅读 · 今天5:51
《人工智能赋能电磁战》(报告)
专知会员服务
2+阅读 · 4月17日
【CMU博士论文】迈向可扩展的开放世界三维感知
相关资讯
CVPR2019无人驾驶相关论文
极市平台
21+阅读 · 2019年3月20日
CVPR2019 | Stereo R-CNN 3D 目标检测
极市平台
27+阅读 · 2019年3月10日
Faster R-CNN
数据挖掘入门与实战
4+阅读 · 2018年4月20日
Fast R-CNN
数据挖掘入门与实战
3+阅读 · 2018年4月20日
Mask R-CNN 论文笔记
统计学习与视觉计算组
11+阅读 · 2018年3月22日
从R-CNN到Mask R-CNN
机器学习研究会
25+阅读 · 2017年11月13日
相关论文
Mesh R-CNN
Arxiv
4+阅读 · 2019年6月6日
Arxiv
12+阅读 · 2019年1月24日
Auto-Context R-CNN
Arxiv
4+阅读 · 2018年7月8日
Arxiv
7+阅读 · 2018年1月24日
Top
微信扫码咨询专知VIP会员