CVPR2019 | Stereo R-CNN 3D 目标检测

2019 年 3 月 10 日 极市平台

加入极市专业CV交流群,与6000+来自腾讯,华为,百度,北大,清华,中科院等名企名校视觉开发者互动交流!更有机会与李开复老师等大牛群内互动!

同时提供每月大咖直播分享、真实项目需求对接、干货资讯汇总,行业技术交流点击文末“阅读原文”立刻申请入群~


作者 | heryms

来源 | https://zhuanlan.zhihu.com/p/58077936


极市最近分享了一些CVPR2019的优秀论文解读,今天聊聊双目的3d object detection。这是一篇来自DJI与港科大合作的文章,作者分别是li peiliang,陈晓智 @陈晓智(DJI,MV3D的作者)和港科大的shenshaojie老师。


论文链接:https://arxiv.org/pdf/1902.09738.pdf


1. introduction

2018年在3D检测方面的文章层出不穷,也是各个公司无人驾驶或者机器人学部门关注的重点,包含了点云,点云图像融合,以及单目3D检测,但是在双目视觉方面的贡献还是比较少,自从3DOP之后。


总体来说,图像的检测距离,图像的density以及context信息,在3D检测中是不可或缺的一部分,因此作者在这篇文章中挖掘了双目视觉做3D检测的的潜力。


2. network structure


整个网络结构分为以下的几个部分。

1). RPN部分,作者将左右目的图像通过stereoRPN产生相应的proposal。具体来说stereo RPN是在FPN的基础上,将每个FPN的scale上的feature map的进行concat的结构。





3). keypoint的检测。这里采用的是类似于mask rcnn的结构进行关键点的预测。文章定义了4个3D semantic keypoint,即车辆底部的3D corner point,同时将这4个点投影到图像,得到4个perspective keypoint,这4个点在3D bbox regression起到一定的作用,我们在下一部分再介绍。


在keypoint检测任务中,作者利用RoiAlign得到的14*14feature map,经过conv,deconv最后得到6 * 28 * 28的feature map,注意到只有keypoint的u坐标会提供2D Box以外的信息,因此,处于减少计算量的目的,作者aggregate每一列的feature,得到6 * 28的output,其中,前4个channel代表4个keypoint被投影到相应的u坐标的概率,后面两个channel代表是left or right boundary上的keypoint的概率。


3. 3D Box Estimation

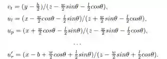
通过网络回归得到的2D box的dimension,viewpoint,还有keypoint,我们可以通过一定的方式得到3D box的位置。定义3D box的状态x = [x, y, z, θ]。



Figure 5,给出了一些稀疏的约束。包含了特征点的映射过程。这里也体现了keypoint的用处。



上述公式即为约束方程,因此可以通过高斯牛顿的方法直接求解。具体可以参考论文的引文17。这里我们简单证明一下第一个公式。注意,这里的假设都是u,v坐标都已经经过相机内参的归一化了。



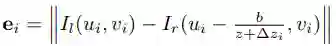
4. Dense 3D Box Alignment

这里就回到shenshaojie老师比较熟悉的BA的过程了,由于part 3仅仅只是一个object level的深度,这里文章利用最小化左右视图的RGB的值,得到一个更加refine的过程。定义如下的误差函数



其中 代表第i个pixel的深度与相对应的3D box的深度差。而这一块的求解利用G20或者ceres也可以完成。整个alignment过程其实相对于深度的直接预测是更加robust的,因为这种预测方法,避免了全局的depth estimation中的一些invalid的pixel引起的ill problem的问题。


5. experiment

作者在实验这块达到了双目视觉的state of art,同时对于各个module也做了很充足的实验,具体的数值可以参考论文的原文


6. Insight

最后谈谈文章给我的一些insights,首先,整个文章将传统的detection的任务,结合了geometry constraint优化的方式,做到了3D位置的估计,想法其实在不少文章sfm-learner之类的文章已经有体现过了,不过用在3Ddetection上面还是比较新颖,避免了做双目匹配估计深度的过程。也属于slam跟深度学习结合的一篇文章,感兴趣的朋友可以继续看看arxiv.org/abs/1802.0552等相关文章


谈几点我个人意义上的不足吧,首先耗时过程0.28s的inference time,不过可能作者的重点也不在这个方面,特征的利用上可以更加有效率,在实现上。其次,能不能采用deep3dbox的方式预测dimension,然后添加入优化项呢...总体来说,是一篇不错的值得一读的文章!不足之处欢迎指教讨论!


ps.CVPR2019 accepted list已经放出,极市已将目前收集到的公开论文总结到github上(目前已收集121篇),后续会不断更新,欢迎关注,也欢迎大家提交自己的论文:

https://github.com/extreme-assistant/cvpr2019




*延伸阅读

DaSiamRPN的升级版,视觉目标跟踪之SiamRPN++

多目标追踪资源列表(数据集、论文、代码和牛人主页等)


小Tips:如何查看和检索历史文章?

有不少小伙伴提问如何号内搜文章,其实很简单,在“极市平台”公众号后台菜单点击极市干货-历史文章,或直接搜索“极市平台”公众号查看全部消息,即可在如下搜索框查找往期文章哦~



ps.可以输入CVPR2019/目标检测/语义分割等等,快去探索宝藏吧~~


每月大咖直播分享、真实项目需求对接、干货资讯汇总,行业技术交流点击左下角“阅读原文”立刻申请入群~

觉得有用麻烦给个好看啦~  

登录查看更多
27

相关内容

3D目标检测进展综述
专知会员服务
193+阅读 · 2020年4月24日
CVPR2020 | 商汤-港中文等提出PV-RCNN:3D目标检测新网络
专知会员服务
45+阅读 · 2020年4月17日
【北京大学】CVPR 2020 | PQ-NET:序列化的三维形状生成网络
目标检测中边界框的回归策略
极市平台
17+阅读 · 2019年9月8日
CVPR2019通用目标检测
极市平台
8+阅读 · 2019年8月6日
CVPR2019无人驾驶相关论文
极市平台
21+阅读 · 2019年3月20日
视频理解 S3D,I3D-GCN,SlowFastNet, LFB
极市平台
7+阅读 · 2019年1月31日
Faster R-CNN
数据挖掘入门与实战
4+阅读 · 2018年4月20日
Fast R-CNN
数据挖掘入门与实战
3+阅读 · 2018年4月20日
从R-CNN到Mask R-CNN
机器学习研究会
25+阅读 · 2017年11月13日
Mesh R-CNN
Arxiv
4+阅读 · 2019年6月6日
Arxiv
12+阅读 · 2019年1月24日
Auto-Context R-CNN
Arxiv
4+阅读 · 2018年7月8日
Arxiv
7+阅读 · 2018年1月24日
VIP会员
最新内容
最新“指挥控制”领域出版物合集(简介)
专知会员服务
1+阅读 · 46分钟前
面向军事作战需求开发的人工智能(RAIMOND)
专知会员服务
1+阅读 · 52分钟前
软件定义多域战术网络:基础与未来方向(综述)
水下战战术决策中的气象与海洋预报(50页报告)
远程空中优势:新一代超视距导弹的兴起
专知会员服务
1+阅读 · 今天14:45
大语言模型溯因推理的统一分类学与综述
专知会员服务
0+阅读 · 今天12:07
美/以-伊战争:停火与后续情景与影响分析
专知会员服务
3+阅读 · 4月11日
相关资讯
目标检测中边界框的回归策略
极市平台
17+阅读 · 2019年9月8日
CVPR2019通用目标检测
极市平台
8+阅读 · 2019年8月6日
CVPR2019无人驾驶相关论文
极市平台
21+阅读 · 2019年3月20日
视频理解 S3D,I3D-GCN,SlowFastNet, LFB
极市平台
7+阅读 · 2019年1月31日
Faster R-CNN
数据挖掘入门与实战
4+阅读 · 2018年4月20日
Fast R-CNN
数据挖掘入门与实战
3+阅读 · 2018年4月20日
从R-CNN到Mask R-CNN
机器学习研究会
25+阅读 · 2017年11月13日
相关论文
Mesh R-CNN
Arxiv
4+阅读 · 2019年6月6日
Arxiv
12+阅读 · 2019年1月24日
Auto-Context R-CNN
Arxiv
4+阅读 · 2018年7月8日
Arxiv
7+阅读 · 2018年1月24日
Top
微信扫码咨询专知VIP会员