目标检测损失函数Loss大盘点

2020 年 9 月 21 日 CVer

点击上方“CVer”,选择加"星标"置顶

重磅干货,第一时间送达

本文者:Augus

https://zhuanlan.zhihu.com/p/235533342

本文已由原作者授权,不得擅自二次转载


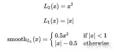
L2, L1, smooth L1

表示

L2 loss, L1 loss, Smooth L1 loss


smooth L1 loss 相对于 L2 loss的优点

  • 当预测框与 ground truth 差别过大时,梯度值不至于过大;

  • 当预测框与 ground truth 差别很小时,梯度值足够小。

Focal Loss

动机

在one-stage检测算法中,会出现正负样本数量不平衡以及难易样本数量不平衡的情况,为了解决则以问题提出了focal loss。

hit的检测框就是正样本。容易的正样本是指置信度高且hit的检测框,困难的负样本就是置信度低但hit的检测框,容易的负样本是指未hit且置信度低的检测框,困难的负样本指未hit但置信度高的检测框。



表现形式

目的是解决样本数量不平衡的情况 - 正样本loss增加,负样本loss减小 - 难样本loss增加,简单样本loss减小

参考配置:  , 


IoU loss

本文由旷视提出,发表于2016 ACM

UnitBox: An Advanced Object Detection Network

4个坐标点独立回归的缺点

  • 通过4个点回归坐标框的方式是假设4个坐标点是相互独立的,没有考虑其相关性,实际4个坐标点具有一定的相关性

  • 不具有尺度不变形

  • 可能存在相同的l1 或 l2 loss(如下图),但是IOU不唯一。


相同的L1 loss和L2 loss,但是IOU不同

表示

优点

尺度不变性,也就是对尺度不敏感(scale invariant), 在regression任务中,判断predict box和gt的距离最直接的指标就是IoU。(满足非负性;同一性;对称性;三角不等性)

GIOU Loss

  • 本文由斯坦福学者提出,发表于CVPR2019

  • 论文:arxiv.org/abs/1902.09630

  • https://github.com/generalized-iou/g-darknet

IOU缺点

  • 如果两个框没有相交,根据定义,IoU=0,不能反映两者的距离大小(重合度)。同时因为loss=0,没有梯度回传,无法进行学习训练。

  • IoU无法精确的反映两者的重合度大小。如下图所示,三种情况IoU都相等,但看得出来他们的重合度是不一样的,左边的图回归的效果最好,右边的最差。

相同的IOU,重合度不同

公式表示

C表示包含两个框的最小矩形

优点

  • 尺度不变性

  • 边框相交时,可以反映边框的相交情况

DIOU Loss

  • 天津大学 AAAI 2020

  • 论文:arxiv.org/abs/1911.08287

  • https://github.com/Zzh-tju/DIoU-darknet

GIOU Loss 的缺点

当目标框完全包裹预测框的时候,IoU和GIoU的值都一样,此时GIoU退化为IoU, 无法区分其相对位置关系,如下图三种情况GIOU loss是完全一致的。

预测框被完全包裹时有相同的GIOU loss

公式表示

其中  表示欧式距离,分子d表示GT框和Inference框中心点距离的平方,分母c表示GT框和Inference框最小外接矩形的对角线距离。

公式中分子d和分母c的说明

DIOU的优点

  • 尺度不变性

  • 相比于GIOU,优化距离替换优化面积,收敛速度更快。

  • 解决GIOU的缺点:完全包裹预测框时loss一样的情况

CIOU Loss

  • 天津大学 AAAI 2020

  • 论文:arxiv.org/abs/1911.08287

  • https://github.com/Zzh-tju/DIoU-darknet

DIOU的问题

DIOU没有考虑到检测框的长宽比。长宽比更接近的边框应当有更低的loss。

公式表示

参数  是个trade off的参数,参数  用来衡量长宽比一致性

参考文章

1. https://zhuanlan.zhihu.com/p/101303119

2. https://zhuanlan.zhihu.com/p/104236411

3. https://zhuanlan.zhihu.com/p/80594704


资料下载


在CVer公众号后台回复:目标检测二十年,即可下载39页的目标检测最全综述,共计411篇参考文献。


下载2


后台回复:CVPR2020,即可下载代码开源的论文合集

后台回复:ECCV2020,即可下载代码开源的论文合集

后台回复:YOLO,即可下载YOLOv4论文和代码


重磅!CVer-目标检测 微信交流群已成立


扫码添加CVer助手,可申请加入CVer-目标检测 微信交流群,目前已汇集4100人!涵盖2D/3D目标检测、小目标检测、遥感目标检测等。互相交流,一起进步!


同时也可申请加入CVer大群和细分方向技术群,细分方向已涵盖:目标检测、图像分割、目标跟踪、人脸检测&识别、OCR、姿态估计、超分辨率、SLAM、医疗影像、Re-ID、GAN、NAS、深度估计、自动驾驶、强化学习、车道线检测、模型剪枝&压缩、去噪、去雾、去雨、风格迁移、遥感图像、行为识别、视频理解、图像融合、图像检索、论文投稿&交流、PyTorch和TensorFlow等群。


一定要备注:研究方向+地点+学校/公司+昵称(如目标检测+上海+上交+卡卡),根据格式备注,可更快被通过且邀请进群

▲长按加群


▲长按关注我们

整理不易,请给CVer点赞和在看

登录查看更多
2

相关内容

深度学习目标检测方法综述
专知会员服务
280+阅读 · 2020年8月1日
【ICML 2020 】小样本学习即领域迁移
专知会员服务
78+阅读 · 2020年6月26日
专知会员服务
164+阅读 · 2020年4月21日
CVPR2020 | 商汤-港中文等提出PV-RCNN:3D目标检测新网络
专知会员服务
45+阅读 · 2020年4月17日
密歇根大学《20年目标检测综述》
专知会员服务
99+阅读 · 2019年10月13日
CVPR 2019:精确目标检测的不确定边界框回归
AI科技评论
13+阅读 · 2019年9月16日
目标检测中边界框的回归策略
极市平台
17+阅读 · 2019年9月8日
再谈人脸识别损失函数综述
人工智能前沿讲习班
14+阅读 · 2019年5月7日
FCOS: 最新的one-stage逐像素目标检测算法
极市平台
15+阅读 · 2019年4月14日
综述 | CVPR2019目标检测方法进展
计算机视觉life
15+阅读 · 2019年4月3日
一种小目标检测中有效的数据增强方法
极市平台
119+阅读 · 2019年3月23日
人脸识别损失函数综述(附开源实现)
极市平台
29+阅读 · 2019年3月12日
Arxiv
0+阅读 · 2020年12月2日
Arxiv
0+阅读 · 2020年12月1日
Deformable Style Transfer
Arxiv
14+阅读 · 2020年3月24日
Mesh R-CNN
Arxiv
4+阅读 · 2019年6月6日
VIP会员
最新内容
人工智能在战场行动中的演进及伊朗案例
专知会员服务
4+阅读 · 4月18日
美AI公司Anthropic推出网络安全模型“Mythos”
专知会员服务
2+阅读 · 4月18日
【博士论文】面向城市环境的可解释计算机视觉
大语言模型的自改进机制:技术综述与未来展望
《第四代军事特种作战部队选拔与评估》
专知会员服务
1+阅读 · 4月18日
相关VIP内容
深度学习目标检测方法综述
专知会员服务
280+阅读 · 2020年8月1日
【ICML 2020 】小样本学习即领域迁移
专知会员服务
78+阅读 · 2020年6月26日
专知会员服务
164+阅读 · 2020年4月21日
CVPR2020 | 商汤-港中文等提出PV-RCNN:3D目标检测新网络
专知会员服务
45+阅读 · 2020年4月17日
密歇根大学《20年目标检测综述》
专知会员服务
99+阅读 · 2019年10月13日
相关资讯
CVPR 2019:精确目标检测的不确定边界框回归
AI科技评论
13+阅读 · 2019年9月16日
目标检测中边界框的回归策略
极市平台
17+阅读 · 2019年9月8日
再谈人脸识别损失函数综述
人工智能前沿讲习班
14+阅读 · 2019年5月7日
FCOS: 最新的one-stage逐像素目标检测算法
极市平台
15+阅读 · 2019年4月14日
综述 | CVPR2019目标检测方法进展
计算机视觉life
15+阅读 · 2019年4月3日
一种小目标检测中有效的数据增强方法
极市平台
119+阅读 · 2019年3月23日
人脸识别损失函数综述(附开源实现)
极市平台
29+阅读 · 2019年3月12日
Top
微信扫码咨询专知VIP会员