【Awesome】最全的机器学习可解释性资料(machine-learning-interpretability)

2019 年 3 月 1 日 专知

【导读】 大家知道机器学习和深度学习在近几年已经取得了极大的发展,应用范围十分广泛,对各行各业也都产生了深远的影响。但是现在从事机器学习和深度学习的研究人员研究的焦点逐渐变成可解释性。什么是可解释性?可解释性就是不仅仅要知道怎么做,同时也要知道为什么这么做会产生这样的结果,不论结果是否理想。今天小编就给大家分享一些机器学习可解释性资料


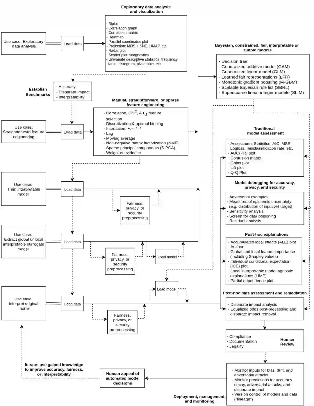
下面是一个局部的机器学习蓝图,可以从总体上帮助降低做机器学习任务的风险程度。



▌资料目录




  • 全面的软件示例和教程(Comprehensive Software Examples and Tutorials)

  • 可解释性或合适的增强软件包Explainability- or Fairness-Enhancing Software Package

    • Browser

    • Python

    • R

  • 免费的书(Free Books)

  • 其他可解释性和合适的资源和列表

  • 论文(Review and General Papers)

  • 教学资源(Teaching Resources)

  • 可解释(“白盒”)或合适的建模包(Interpretable ("Whitebox") or Fair Modeling Packages)

    • C/C++

    • Python

    • R

Comprehensive Software Examples and Tutorials




  • Getting a Window into your Black Box Model

  • IML

  • Interpretable Machine Learning with Python

  • Interpreting Machine Learning Models with the iml Package

  • Machine Learning Explainability by Kaggle Learn

  • Model Interpretability with DALEX

  • Model Interpretation series by Dipanjan (DJ) Sarkar:

    • The Importance of Human Interpretable Machine Learning

    • Model Interpretation Strategies

    • Hands-on Machine Learning Model Interpretation

  • Partial Dependence Plots in R

  • Visualizing ML Models with LIME


Expalinability-or Fairness-Enhancing Software Packages




  • Browser

    • What-if Tool

  • Python

    • ‍‍aequitas

    • AI Fairness 360

    • anchor

    • casme

    • cleverhans

    • ContrastiveExplanation (Foil Trees)

    • deeplift

    • deepvis

    • eli5

    • fairml

    • fairness

    • Integrated-Gradients

    • lofo-importance

    • L2X

    • lime

    • PDPbox

    • pyBreakDown

    • PyCEbox

    • shap

    • Skater

    • rationale

    • tensorflow/lucid

    • tensorflow/model-analysis

    • Themis

    • themis-ml

    • treeinterpreter

    • woe

    • xai

  • R

    • ALEPlot

    • breakDown

    • DALEX

    • ExplainPrediction

    • featureImportance

    • forestmodel

    • fscaret

    • ICEbox

    • iml

    • lightgbmExplainer

    • lime

    • live

    • mcr

    • pdp

    • shapleyR

    • smbinning

    • vip

    • xgboostExplainer


▌Free Books




  • Beyond Explainability: A Practical Guide to Managing Risk in Machine Learning Models

  • Fairness and Machine Learning

  • Interpretable Machine Learning


▌Other Interpretability and Fairness Resources and Lists



  • 8 Principles of Responsible ML

  • An Introduction to Machine Learning Interpretability

  • Awesome interpretable machine learning ;)

  • Awesome machine learning operations

  • algoaware

  • criticalML

  • Fairness, Accountability, and Transparency in Machine Learning (FAT/ML) Scholarship

  • Machine Learning Ethics References

  • Machine Learning Interpretability Resources

  • MIT AI Ethics Reading Group

  • XAI Resources


▌Review and General Papers




  • A Comparative Study of Fairness-Enhancing Interventions in Machine Learning

  • A Survey Of Methods For Explaining Black Box Models

  • Challenges for Transparency

  • Explaining Explanations: An Approach to Evaluating Interpretability of Machine Learning

  • On the Art and Science of Machine Learning Explanations

  • On the Responsibility of Technologists: A Prologue and Primer

  • Please Stop Explaining Black Box Models for High-Stakes Decisions

  • The Mythos of Model Interpretability

  • The Promise and Peril of Human Evaluation for Model Interpretability

  • Towards A Rigorous Science of Interpretable Machine Learning

  • Trends and Trajectories for Explainable, Accountable and Intelligible Systems: An HCI Research Agenda


▌Review and General Papers




  • An Introduction to Data Ethics

  • Fairness in Machine Learning

  • Human-Center Machine Learning

  • Practical Model Interpretability


▌Interpretable("Whitebox") or Fair Modeing Packages




  • C/C++

    • Certifiably Optimal RulE ListS

  • Python

    • Bayesian Case Model

    • Bayesian Ors-Of-Ands

    • Bayesian Rule List (BRL)

    • fair-classification

    • Falling Rule List (FRL)

    • H2O-3

      • Penalized Generalized Linear Models

      • Sparse Principal Components (GLRM)

    • Monotonic XGBoost

    • pyGAM

    • Risk-SLIM

    • Scikit-learn

      • Decision Trees

      • Generalized Linear Models

      • Sparse Principal Components

    • sklearn-expertsys

    • skope-rules

    • Super-sparse Linear Integer models (SLIMs)

  • R

    • arules

    • Causal SVM

    • elasticnet

    • gam

    • glmnet

    • H2O-3

      • Penalized Generalized Linear Models

      • Sparse Principal Components (GLRM)

    • Monotonic XGBoost

    • quantreg

    • rpart

    • RuleFit

    • Scalable Bayesian Rule Lists (SBRL)



参考链接:https://github.com/jphall663/awesome-machine-learning-interpretability#comprehensive-software-examples-and-tutorials

https://github.com/h2oai/mli-resources



END-

专 · 知

专知《深度学习:算法到实战》课程全部完成!490+位同学在学习,现在报名,限时优惠!网易云课堂人工智能畅销榜首位!

欢迎微信扫一扫加入专知人工智能知识星球群,获取最新AI专业干货知识教程视频资料和与专家交流咨询!

请加专知小助手微信(扫一扫如下二维码添加),加入专知人工智能主题群,咨询《深度学习:算法到实战》课程,咨询技术商务合作~

请PC登录www.zhuanzhi.ai或者点击阅读原文,注册登录专知,获取更多AI知识资料!

点击“阅读原文”,了解报名专知《深度学习:算法到实战》课程

登录查看更多
29

相关内容

可解释强化学习,Explainable Reinforcement Learning: A Survey
专知会员服务
132+阅读 · 2020年5月14日
【干货书】真实机器学习,264页pdf,Real-World Machine Learning
《可解释的机器学习-interpretable-ml》238页pdf
专知会员服务
210+阅读 · 2020年2月24日
专知会员服务
162+阅读 · 2020年1月16日
专知会员服务
119+阅读 · 2019年12月24日
【哈佛大学商学院课程Fall 2019】机器学习可解释性
专知会员服务
105+阅读 · 2019年10月9日
AI可解释性文献列表
专知
43+阅读 · 2019年10月7日
干货 | 可解释的机器学习
AI科技评论
20+阅读 · 2019年7月3日
【资源推荐】AI可解释性资源汇总
专知
47+阅读 · 2019年4月24日
移动端机器学习资源合集
专知
8+阅读 · 2019年4月21日
年度必读:2018最具突破性人工智能论文Top 10
新智元
5+阅读 · 2018年12月2日
机器学习线性代数速查
机器学习研究会
19+阅读 · 2018年2月25日
干货:必读机器学习书籍一览表
专知
7+阅读 · 2018年2月19日
Arxiv
20+阅读 · 2018年10月25日
Arxiv
22+阅读 · 2018年2月14日
Arxiv
16+阅读 · 2018年2月7日
Arxiv
4+阅读 · 2017年11月14日
VIP会员
最新内容
ICML 2026 | 理解上下文持续学习中的泛化与遗忘
专知会员服务
4+阅读 · 5月28日
Agent Harness综述:大模型智能体执行器工程全景
专知会员服务
12+阅读 · 5月28日
《基于理论的威慑效能评估》
专知会员服务
8+阅读 · 5月28日
ICML2026 | 重新思考顺序知识编辑中的正则化
专知会员服务
9+阅读 · 5月27日
《用于兵力发展选项优先排序的成本效益模型》
专知会员服务
12+阅读 · 5月27日
AutoResearch AI综述:迈向AI驱动的科学发现自动化
专知会员服务
10+阅读 · 5月26日
《Palantir边缘人工智能》手册
专知会员服务
25+阅读 · 5月26日
相关资讯
AI可解释性文献列表
专知
43+阅读 · 2019年10月7日
干货 | 可解释的机器学习
AI科技评论
20+阅读 · 2019年7月3日
【资源推荐】AI可解释性资源汇总
专知
47+阅读 · 2019年4月24日
移动端机器学习资源合集
专知
8+阅读 · 2019年4月21日
年度必读:2018最具突破性人工智能论文Top 10
新智元
5+阅读 · 2018年12月2日
机器学习线性代数速查
机器学习研究会
19+阅读 · 2018年2月25日
干货:必读机器学习书籍一览表
专知
7+阅读 · 2018年2月19日
Top
微信扫码咨询专知VIP会员