教师行为对教学视频学习效果影响的眼动研究

2018 年 10 月 23 日 MOOC

 | 全文共13137字,建议阅读时27分钟 |


本文由《远程教育杂志》授权发布

作者:王红艳、胡卫平、皮忠玲、葛文双、徐益龙、范笑天、梁燕玲

摘要

 

视频教学已成为当前在线教学传播的重要形式,而有关视频教学的研究,更多集中于视频课程本身的特点,鲜少关注视频教学中教师主体问题。教师作为教学活动的主体,其行为表现会影响学习者的学习效果。以眼动追踪技术为支持,深入探究教师目光引导与姿势引导,在陈述性知识和程序性知识的教学视频的学习过程中,对学习者的注意力、认知负荷、社会存在感和学习成绩四个方面存在的影响,可为在线学习视频的开发提供依据。研究结果表明,教师的两种引导行为,对学习者视频学习的注意力分配具有显著影响,进而影响了学习者在视频学习过程中的认知负荷、社会存在感和学习成绩。具体而言,相对于无引导行为,教师引导行为能有效的引导学习者将更多的注意力分配在学习内容展示区域,并有效减少了学习者在学习内容与教师形象两个不同兴趣区中的眼跳次数。另外,教师引导行为降低了每种知识类型学习的认知负荷,提升了每种知识类型的社会存在感,提高了程序性知识的学习成绩。因此,为更有效地提升学生的在线学习效果,未来开发视频教学资源,应添加教师引导行为。

关键词:教学视频;教师引导行为;认知负荷;社会存在感;眼动追踪

 

教育信息化促使教学方式和学习方式发生颠覆性变革。在线视频教学资源以其图文声像并茂、生动形象等特征,成为了新媒体时代学习者首选的学习资源。因此,如何通过在线视频课程促进个性化教学,成为研究者和教育实践者共同关注的问题。教师作为在线视频课程资源建设的核心人物,在学生学习和发展中扮演着引导者的角色,尤其在观看教师提前设计、实施完成的教学视频的学习过程中,教师的行为特征必然影响到视频学习的效率。

 

然而,目前从教师角度出发关注教学视频学习效率的研究,主要集中于视频是否添加教师画面,且其已有研究结果存在不一致现象,究其原因,可能存在两个方面的因素:一是不同研究的教学视频中,教师画面中教师的行为方式并未给出明确说明;二是不同研究者所选用的教学内容、知识性质有所不同。所以,本文以多媒体学习原理、社会存在理论和社会代理理论为理论基础,以眼动追踪为技术手段,分别探讨在陈述性知识和程序性知识视频学习过程中,教师行为对学习者注意力分配及学习效果的影响。

 

一、视频教学中教师角色的研究综述

 

数字化学习首选资源的视频教学,依然不能摆脱传统教学与在线学习之间的差异,即在线教学缺少面对面教学过程中的师生通过肢体动作所产生的非语言交互。而这被社会学研究者认为是师生之间的非语言交互行为,即人际交互的社会线索。相关研究表明,缺少社会线索的人际交互,个体容易产生孤独情绪与中途放弃行为。

 

为此,有研究者提出,视频添加教师画面能有效提高学习者的社会存在感,激活学习者的学习动机与注意力保持[1]。2015年,杨九民对国内外慕课平台上的207门在线课程的教学视频进行分析,发现94.7%的教学视频,呈现了教师画面。由此可见,在慕课视频开发中,教师画面已成为了重要构成要素[2]。

 

但就视频教学中是否添加教师画面,仍存在对立的观点:一方面是Mayer的“多媒体教学原理”中的冗余原则;另一方面是社会存在理论。冗余原则认为,教师画面在教学过程中并不代表教学内容的涵义,其动态变化的信息,会占据学习者相当大部分的注意力[3];如果恰好是关键操作点的时刻,那必将影响学习结果。如,Homer等人以社会存在感、认知负荷和学习成绩为测量变量,对PPT录屏和教师讲解视频+PPT录屏的两种格式视频教学,进行深入研究,结果发现,两组学习者的社会存在感和学习成绩不存在差异,而且有教师组的学习者的认知负荷,显著高于没有教师组的学习者[4]。Homer的研究结果,符合多媒体教学原理的冗余原则,即,多媒体学习环境中应尽量减少展示与教学内容无关的元素,从而保证学习者有限的认知资源投入学习,尤其是当学习者将本应该注视学习内容的注视资源,部分分配到教师区域,那么,学习效果可能被阻碍[5]。

 

但社会存在理论认为,视频教学中教师画面的呈现,可以激发学生的学习兴趣与学习动机,增强其社会文化体验,降低其在线学习的孤独感,促进其学习投入和专注程度[6]。而且大量的实证研究证明,视频教学中教师画面的呈现,能激活学习者的社会回应,激发学习动机,提高在线社会存在感[7],促进学习投入与认知加工[8],提高学习成绩[9]。如,Kizilcec、Bailenson和Gomez米用长期追踪观察的方法,对MOOC平台的学习者进行在线学习风格研究,结果表明,近60%的学习者更倾向于观看具有教师画面的教学视频,而且这些学习者自我评价学习效果、认知负荷水平及社会存在感,均优于观看没有教师画面组的学生[10]。

 

皮忠玲以发展心理学知识点为学习材料,来探索有无教师的视频学习效果,结果发现,教师讲解视频+PPT录屏组的学习成绩,显著高于教师音频+PPT录屏组的学生成绩[11]。这些结果支持了社会存在理论,即,在线教学中教师画面的添加,可以增强学习者与学习材料之间的交互性体验,使他们产生类似真实课堂的学习情境。这种学习者自我感知到的临场体验,可以有效促进学习者的学习投入与专注程度,进而有效促进学习成绩[12-13]。

 

最为可贵的是,依据“多媒体教学原理”的凸显原则,教学资源设计可以通过添加的视觉线索,有效地引导学习者关注重要学习内容,以缓解学习者在学习过程中因注意延迟或信息筛选,而引发的认知负荷,以提高学习成绩。所谓“线索”是指,在多媒体学习中,采用非内容信息(比如:颜色、箭头、闪烁、姿势等)方式来引起学习者注意,从而引导学习者注意关键信息,以促进学习效果的一种资源设计方式[14]。视频教学中的线索,包含非人类线索(颜色、箭头、闪烁等)和人类线索(教师表情、目光、和姿势等)。

 

但已有研究发现,人类提供的社会线索对学习者注意力的引导作用,远远大于这些非人类线索的作用[15-16]。该结果主要是因为人类线索可以引起关联注意,即学习者不需要再次加工该线索包含的内部含义,仅需跟随该线索去关注所指内容。已有研究推测,视频教学中教师的引导行为,可分为手势引导与目光引导两种。手势引导指教师在讲述过程中,在某些关键时刻,用手势指向屏幕上内容呈现的具体位置;而目光引导指教师在讲述过程中,教师目光不总是在观看摄像头,而是在某些关键时刻,将目光转向关注教学内容呈现区域。

 

2014年,Van Gog等人以“青蛙过河技能操作演示”为学习材料,开展有无教师的视频教学研究,并在有教师的视频演示中,增加教师目光引导。结果发现,有教师组的学习者,学习成绩明显优于无教师组的学习者学习成绩。Van Gog推断,该教学视频中教师对学生学习成绩促进作用的原因,在于教师提供了注视引导线索,这种教师目光变化行为,可能为学习者提供了注意力引导[17]。

 

另有研究者也发现,当教师提供手势指向引导时,有引导组的学生学习成绩显著优于无引导组的学习者成绩[18]。但不幸的是,Van Wermeskerken和Van Gog在2017年的分子结构模型搭建知识点视频教学研究,并没有复制出Van Gog等人在2014年的研究结果。Van Wermeskerken和Van Gog认为,两次研究结果不一致的原因,主要是由于认知材料性质不同。他认为,2017年研究材料的认知过程,类似于陈述性知识的认知过程;而2014年所用材料的学习认知过程,类似于程序性知识认知过程[19]。

 

也有研究者在探索有无教师的视频学习效果中发现,相对于无教师的学习材料而言,教师画面的呈现,可以显著促进陈述性知识的学习结果,但对程序性知识作用不显著[20]。这些结果均表明,不同性质的知识类型,可能对教师影响视频学习效果的结果,具有调节作用。

 

著名信息加工心理学家安德森(John Robert Anderson),运用计算机加工信息方式模拟人脑加工知识流程,将知识分为两类:陈述性知识和程序性知识。陈述性知识就是指事实类知识,主要用于描述事物发生的时间、人物,事情应用的规则、原理等;其认知过程按照:感知材料一激活原有认知一选择知觉新知识一新旧知识相互作用一建立连接点、形成认知网络一复述加工编码形成新的认知结构意义或连接提取与运用,这样六个步骤逐步完成;即学习者在学习结束后,可以通过有意义的线索提取而直接表达的知识。而程序性知识的内容,则是描述如何解决某项活动的知识,一般带有推理、决策等的模式识别或操作步骤的知识。程序性知识学习的习得,除了前三步的基本认知与陈述性知识相同外,其更强调学习者按照案例操作步骤进行规则练习,从而达到与技能相对自动化的实践应用。这类知识的掌握程度,只能借助某种作业的结果来推测[21]。

 

因此,陈述性知识的学习相对于程序性知识而言,所需的认知策略与技能较为简单。已有研究证明,学习者在陈述性知识和程序性知识的学习过程中,所调用的元认知策略不同,从而导致学习效果不同[22]。

 

综上所述,视频教学中教师所提供的社会线索,对于在线学习效果具有非常重要的作用。而目前视频教学相关研究设计方面的内容较少,并且因各自实验材料所选知识的性质不同,导致研究结果存在矛盾,难以有效指导实践应用。

 

为此,本研究以社会存在理论和教学代理理论为基础,采用眼动技术,以陈述性知识和程序性知识的教学视频为学习材料,分别探究教师不同引导行为(教师无引导行为,教师目光引导行为和教师目光+指向引导行为),对学习者视频学习的注意力分配、认知负荷、社会存在感和在线学习成绩的影响,从而为在线学习教学视频的开发与制作,提供实证依据。

 

二、实验设计

 

本研究目的在于,探索学习者在陈述性知识与程序性知识视频学习中,教师引导行为对学习者注意力分配、在线学习体验和学习成绩的影响。根据教学线索设计的相关研究,我们将教学视频中教师的引导行为分为三种:

 

1.教师无引导行为,即教师在教学讲授过程中始终面向前方;

 

2.教师目光引导行为,即教师身体上部转向并观看知识内容呈现的区域,教师的该引导行为可以为学习者提供目光引导;

 

3.教师目光+指向引导行为,即教师在讲授到重点或难点知识时,头部转向并观看知识内容呈现的区域,并且教师用手指向内容呈现区域,该引导行为不仅为学习者提供了目光引导,而且还提供了手势指向引导。

 

另外,本研究中教师引导行为的设计,主要分布在当教师讲解言语包含PPT内容呈现大部分文字或具体技能操作示范时的关键时段。例如,在陈述性知识的讲解过程中,当教师讲解语言与88T呈现的文字内容一致时,教师提供引导行为;而在程序性知识的讲解过程中,当教师讲解语言为具体鼠标或菜单操作时,教师提供引导行为。

 

基于此,研究的自变量设计为“教师引导行为3”(教师无引导行为,教师目光引导行为,教师目光7指向引导行为)和“学习材料知识类型2”(陈述性知识,程序性知识),这样就构成了一个3x2的混合实验设计。其中,教师引导行为为组间变量,知识类型为组内变量。研究因变量包含学生的眼动相关指标、测试成绩、认知负荷和社会存在感。

 

(—)研究对象

 

本研究选取某大学2017级84名(男生23人,女生61人,年龄均在19-22岁之间)二年级本科生为研究对象,随机分为3组。第一组,教师没有引导行为组28人(男生7人,女生21人);第二组,教师目光引导行为组28人(男生8人,女生20人);第三组,教师目光&指向引导行为组28人(男生8人,女生20人)。所有被试均熟练使用计算机,具备一定的网络学习经历,听觉正常,视觉或矫正视觉正常。另外,所有被试者均没有系统学习Photoshop软件相关课程,并且前测结果显示,三组学生原有知识不存在差异,说明该三组学生可以达到平行班的平等状态。

 

(二)实验材料与设备

 

研究选用某校SPOC《Photoshop图像处理》在线课程中的“色彩构成”为陈述性知识,“图像合成”为程序性知识。并聘请三位具有图像处理课程教学经验的教师,对这两个材料讲授的教学设计进行评价,旨在判断材料对于Photoshop初学者的难度系数及两个材料之间是否存在知识交叉现象。

 

结果表明,这两个实验材料的难度系数对于初学者而言基本相同,且两者之间不存在知识交互现象。所以,在实验操作过程中,不同知识类型材料的前后顺序问题,不会产生学习效应。

 

在实验的教学视频中,教师呈现均采用当前常用的融入式。两种知识的教学视频时长基本一致,即陈述性知识的教学视频的时长均为6分55秒;程序性知识的教学视频的时长均为6分54秒。教师在教授两种知识的教学视频录制过程中,教师的引导行为均设置为9次,引导时长总计为3分32秒,具体详见表1。研究有效摒除在线学习过程中的其他干扰或隐私,如,所有教学视频中教师讲授的语气、语调及描述方式、词汇等要求做到基本一致,教师图像的大小、教师的发型及衣着均相同。视频的播放速度均为1倍的播放速度。

 


(三)实验变量

 

视觉注意是指个体在感知外界事物过程中,视觉活动的指向与集中情况。已有研究表明,注意力可以反映个体对外界事物的加工程度。研究主要分析EYElink1000 PlUS眼动设备记录的总注视时间和眼跳次数这两个指标。

 

总注视时间(Total Fixation Time)可以反映学习者对指定兴趣区内的展示内容注视时间的总和,常常用来反映学习者对该内容的加工深度或关注程度。区域眼跳次数(Regression in Count)指眼睛从一个其他兴趣区进入该兴趣区的次数,用来反映学习者对于不同兴趣区之间注意力的变化情况。

 

学生测试成绩的测量工具,主要通过陈述性知识的后测试题成绩,及程序性知识案例操作测试成绩来衡量。陈述性知识的测试成绩总分30分,包含多选题和简答题2个题型。其中多选题10个,每题2分,多选少选均不给分。这样的问题设计在很大程度上避免了学生猜测得分的几率;简答题2个,每题5分。程序性知识测试总分30分,包含两个图片处理操作。每个被试的操作过程全部进行录屏,每题15分。每题评分标准为操作步骤及处理细节10分,作品视图效果5分。

 

认知负荷测量工具借用PAAS[23]研制的九段自我评定量表,主要从学习者学习过程中的心理努力与心理负荷两个方面,来测量学习者的认知负荷。社会存在感测量工具是在由Gunawardena和Zitt1e[24]开发的,以计算机环境社会存在感理论预测为基础的社会存在感量表基础上修改完善的。本次研究所用社会存在感的五段自我评定量表,包含有8道题目,信度检验Cronbach’s Alpha值为0.914。

 

(四)实验流程

 

实验流程包含三个阶段,历时90分钟。

 

第一阶段,实验流程解释及学习者人口学变量及Photoshop原有知识前测;

 

第二阶段,引导被试进入眼动实验室,学习实验指导语,完成眼动C矫正和V校对,保持被试头部姿势,在独立情况下学习某个知识类型的教学视频,引导被试到测试实验室完成学习实验后测试题,填写社会存在感及认知负荷测试量表;

 

第三阶段,被试休息5分钟,再次引导被试进入眼动实验室,学习实验指导语,完成眼动C矫正和V校对,保持头部姿势,独立学习另一个知识类型的同水平的教学视频,引导被试到测试实验室完成学习实验后测试题,填写社会存在感及认知负荷测试量表。

 

为了保证每个参加实验的学习者都是认真对待本次实验,实验培训告知学生完成学习测试成绩必须及格,否则不能获得志愿服务时间或实验报酬。

 

三、数据分析

 

(一)教师行为对学习者注意力分配的影响

 

这部分数据分析,在于探索教师引导对学习者视频学习过程中的关注学习内容材料(兴趣区1:AI1)与教师画面(兴趣区2:AI2)的注意力分配的影响。研究采用重复测量方差分析,对教师不同引导行为中学习者在不同兴趣区中的总注视时间,及两个兴趣区之间的眼跳次数,作描述分析,具体数据如表2所示。

 


学习者在教师行为发生变化时间段的视频学习过程中,眼动注视指标显示:

 

(1)对学习者在视频学习中关注教学内容展示区(兴趣区1:AI1)的总注视时间分析结果表明,知识类别对其影响的主效应显著;教师行为对其影响主效应显著。具体而言,学习者关注程序性知识展示区的总注视时长,显著高于陈述性知识的总注视时长。教师行为变化的事后检验显示,在视频学习过程中,教师目光引导和教师目光4指向引导两组学习者,在教学内容区域的总注视时长,显著高于教师无引导行为组的学习者且教师目光+指向引导组的学习者注视时长,显著低于教师目光引导组的学习者

 

(2)学习者在视频学习中关注教师画面展示区(兴趣区2:AI2)的总注视时间分析结果,与关注知识内容展示区结果相反。即学习者在程序性知识视频学习中,关注教师画面的总注视时长,显著低于在陈述性知识视频中该区域的总注视时长。教师行为变化的事后检验显示,在视频学习过程中,教师目光引导和教师目光+指向引导两组的学习者,在教师画面区域的总注视时长,显著低于教师无引导行为组的学习者;但教师目光+指向引导组的学习者,对于教师画面区域注视总时长,不存在差异

 

另外,通过对学习者在教师行为发生变化过程中,学习不同知识类型的三种教学视频、两个兴趣区的总注视时间平均值,进行热点图绘制(颜色越深表示学习者注视时间越长),可以清楚地看到,教师引导行为有利于学习者将更多的注意力投入到学习材料展示区域,具体见图1。

 


(3)在视频学习过程中,对学习者注意力在兴趣区1与兴趣区2之间的眼跳次数结果分析表明,知识类型的主效应显著;教师行为的主效应显著;知识类型与教师行为的交互作用不显著。具体而言,学习者在程序性知识视频学习过程中,两个兴趣区之间的眼跳次数,显著低于陈述性知识视频学习过程中的次数

 

对教师行为变化的事后检验显示:在视频学习过程中,教师目光引导和教师目光+指向引导这两组学习者,在两个兴趣区之间的眼跳次数,显著低于教师无引导行为组的学习者眼跳次数;但教师目光+指向引导组的学习者,在兴趣区之间的眼跳次数,与教师目光引导组的学习者次数之间没有差异。由此可见,在视频教学过程中,教师引导行为可以有效的引导学习者用更多时间关注教学内容。

 

(二)教师引导行为对视频学习中学习者学习体验的影响

 

这部分测试结果分析的目的在于,了解学习者在学习两种知识类型下,教师不同引导行为的教学视频过程中的认知负荷和社会存在感。

 

1.教师引导行为对视频学习中社会存在感的影响

 

社会存在感测量量表,主要包含学习者对教学视频创设的学习环境感知度,视频中教师与学生交互感知度,视频中教师对学习过程帮助程度的感知。在两种知识类型学习过程中,对教师不同引导行为组学生的社会存在感水平,重复测量的方差分析表明:知识类型的主效应不显著;教师行为的主效应显著;知识类型与教师引导行为的交互作用显著,具体如表3所示。

 


简单效应的分析结果显示,学习者在陈述性知识学习过程中,教师不同引导行为组的学习者的社会存在感水平,存在差异显著。其中,教师目光引导和教师目光+指向引导的两组学生的社会存在感水平,显著高于教师无引导行为的学生的水平;而教师目光引导与教师目光+指向引导的两组学生的社会存在感水平,则不存在差异

 

在程序性知识视频的学习过程中,教师不同引导行为组的学习者的社会存在感水平,存在显著差异。其中,教师目光引导和教师目光+指向引导的两组学生的社会存在感水平,显著高于教师无引导行为的学生的水平,并且教师目光+指向引导组的社会存在感水平,高于教师目光引导组的学生社会存在感水平。因此,在教学视频中添加教师引导行为,可以提升学习者的社会存在感。

 

2.教师引导行为对视频学习中认知负荷的影响

 

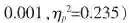
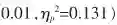
三组学习者在学习两类知识类型的教学视频过程的认知负荷水平,重复测量的方差分析结果,如图3所示:知识类型的主效应显著;教师行为的主效应显著;教师引导行为与知识类型两者的交互效应显著

,具体如图2所示。

 


简单效应的分析显示,在陈述性知识学习过程中,教师引导行为对学习者学习过程的认知负荷水平,影响存在差异

。其中,教师目光引导和教师目光+指向引导组的学习者的认知负荷水平,显著低于教师无引导行为的学生水平;而教师目光引导与教师目光+指向引导行为两组学习者的认知负荷水平,则不存在差异

 

在程序性知识视频学习过程中,教师引导行为对学习者学习过程的认知负荷水平,影响存在差异。其中,教师目光引导和教师目光+指向引导组的学习者的认知负荷水平,显著低于教师无引导行为的学生水平;教师目光引导与教师目光+指向引导两组学生的认知负荷水平,不存在差异

 

为了更深入的分析学习者认知负荷构成情况,研究采用单因素方差分析,分别检验了不同组学生在学习过程中,面对材料难度的感知水平和心理认知投入水平。结果表明,学生在两种知识类型视频学习中的认知投入水平,在三组学生之间不存在差异。但是,在学生心理负荷(材料难度感知)方面,陈述性知识;程序性知识,不同组学生的水平存在显著差异。

 

而根据事后检验结果发现,两种知识类型材料难度感知水平基本相似,即教师无引导组的学生对材料难度的感知水平,均显著高于教师目光引导和教师目光+指向引导两组的学生感知水平。由此可见,教师的引导作用,能有效的降低学习者对于材料难度的感知程度,从而降低认知负荷水平。

 

(三)教师行为对视频学习成绩的影响

 

这部分测试结果分析的目的,在于探索两种知识类型的教学视频中,教师引导行为对学习者视频学习成绩的影响。

 

本研究通过收集整理学习者陈述性知识后测成绩,与程序性知识案例操作成绩,采用SPSS对数据进行统计分析,对两种知识类型的后测成绩进行单因素方差分析。结果显示:对于程序性知识而言,教师目光引导和教师目光+指向引导的小组学习者学习成绩,显著优于教师无引导组学习者的学习成绩;对于陈述性知识而言,教师目光引导和教师目光+指向引导的小组学习者学习成绩,与教师无引导组学习者的学习成绩不存在差异,具体如图3所示。因此可以推断,在视频教学中,教师的引导作用,对于学生学习程序性知识具有非常重要的作用。

 


四、研究结果与讨论

 

(一)研究结果

 

1.在视频教学中,教师的引导行为,能有效地引导学习者更多的关注学习内容,并且减少学习者注意力在教师与学习内容之间的无效转换次数;

 

2.教师引导行为,能有效降低学习者的认知负荷,提高社会存在感,提高程序性知识的学习成绩。该结论对于未来开发教学视频,具有非常重要的意义,毕竟,未来在线学习已成为个人终身发展的必要工具。

 

(二)分析与讨论

 

第一,教师引导行为,对学习者注意力分配的影响。结果表明:老师的引导行为,可以为学生们提供线索,促使学习者将注意力转移到学习内容或任务展示区域。根据人类注意力分配理论,人会主动追随他人目光变化而关注其指向的内容。那么,学习者在观看教学视频时,会主动的观察教师面部,并自动追随教师目光,将注意力放在相关学习内容上[25]。这就进一步说明,当教师提供引导行为时,学习者会在学习过程中跟随教师的引导行为,并将其注意力从教师的面部,转移到教学内容所在区域,从而更好的掌握了操作技能的细节。

 

较为有趣的是,结果进一步说明了教师无引导行为组的学习者,会花更多时间看教师面部,并更多在教师面部与任务之间的转换,即使教师的注视没有功能和意义。毕竟当一个人时时刻刻在注视着你时,你一定会不自觉地将目光转向其面部,而这种学习者注意力无意识的在学习内容区域与教师面部区域的切换行为,一定会消耗学习者的部分认知资源,更有可能导致学习者在关键知识的学习时刻,错过知识区域的细节展示,进而影响学习成绩。相反,当教师给予引导行为时,学习者会跟随教师的引导行为,长时间将注意力保持在学习材料显示区域,而不做无谓的教师面部与任务之间的切换。

 

最后研究发现,学习者在程序性知识学习过程中的注意力变换次数,显著低于陈述性知识的注意力变换次数。该结果主要受学习者自身的原有认知策略对学习内容性质判断,并进行调控产生的认知行为支配。

 

第二,教师引导行为改善了学习者的在线视频学习体验。

 

(1)教师引导行为降低视频学习的认知负荷。研究结果表明,教师引导行为在任何知识类型的视频学习过程中,都能降低学习者的认知负荷。说明视频中教师的引导行为,确实能在关键时刻将学习者的视觉注意力,分配于关键知识相关区域,从而减少学习者用于同步搜索、组织和整合视频学习内容所消耗的认知资源,从而降低认知负荷。该结论与Pi(2016)研究结果一致。即学习者在观看教学视频过程时,个体的目光注意力,会自觉地追随教师的引导行为而转向学习内容画面,从而将注意力更好的分配于学习内容的识记过程中。

 

由此可见,教师目光或目光+指向引导行为,可以有效地帮助学习者在关键时刻快速捕捉到学习需要深度加工的材料部分,从而降低无效认知资源的消耗。比如,在程序性知识教学过程中,教师引导行为,能在某时刻有效地将学习者的注意力转向关键步骤的操作或执行的菜单,可减少学习者视觉筛选信息的过程,促使学习者较长时间关注核心内容,从而有效地降低了学习者认知负荷。

 

相反,在教师无引导行为的视频学习中,当学习者听教师讲解内容为选择某某菜单或工具时,信息加工需要将此听觉信息加工编译并传递给大脑,大脑则需要对此信息加工处理、判断之后,才驱动视觉转向教学内容区域检索相关信息,该过程必然需要消耗学习者部分认知资源,从而使本就有限的认知资源更加紧张[26]。

 

(2)教师引导行为提升学生社会存在感。根据学生社会存在感水平分析结果,可以看到,教师引导行为,在两种知识类型的教学视频中,提高了学生的社会存在感。即,在视频教学中教师的引导行为,可以为学习者创设一种师生交互的临场感觉,从而使学习者更好的沉浸于学习情境中,跟随教师的引导行为,快速捕捉学习材料的重点与难点知识,将有限的认知资源投入到知识建构过程中,从而达到对知识的深度学习,提高自我学习效能,进而提高个人学习满意度[27]。该结论较好地映射、阐释了社会存在理论和教学代理理论的内涵。

 

第三,教师引导行为仅提升了程序性知识的学习成绩。这一结果表明,学习材料的性质,会影响教师行为对视频学习体验与成绩的影响。即,知识类型对于视频教学中教师引导行为,对学习成绩的影响具有调节作用。该结果符合(Cottini,Basso&Paliadino,2018)的研究结果,即,在陈述性知识与程序性知识在学习过程中,所需要的元认知策略不同。

 

陈述性知识主要是事实类、概念类知识,所以在教师在开发教学信息展示材料时,往往会按照大纲前后顺序,在PPT内容展示区域呈现教学内容,而前后教学内容之间,存在一定的逻辑联系,且内容在界面的保持时间相对较长。这样,无引导组的学习者在观看教师画面区域时,所错过的知识呈现画面,完全可以通过后期观看PPT知识,呈现区域的文字内容,补充完善听觉信息所表达的内容。而程序性知识主要介绍如何操作的知识,是一种有严格先后步骤的知识,且每一步操作之后展现新的界面。这类知识是伴随操作步骤的执行而发生及时变化,比如,教师执行添加蒙版操作之后,图层面板中相应图层马上呈现所添加的蒙版图表。即,教师的每一步操作讲解,都将带来细微变化的操作结果,这就需要学习者在既定时刻,必须关注既定的菜单操作或命令设置位置或知识。如果学习者没有及时关注教师点击的按钮是哪一个或者执行了哪些操作,将难以模仿完成整个程序操作,且这种操作很难通过阅读文字内容补充完善。

 

所以,如果教师在具体操作之前,给出注意力引导行为,将非常有利于学习者及时关注核心按钮或操作,进而提升学习效果。该结论验证了Van Gog的两次研究结果:即,教师引导行为,对那些强调先后顺序步骤的知识学习效果,具有促进作用(Van Gog,2014);而对那些主要关注知识整体结构或事物事实性概念的描述知识的学习,效果影响不显著(Van Gog,2017)。

 

五、结论与展望

 

我们研究比较了在不同知识类型的教学视频中,教师有引导行为与无引导行为,对学习者视频学习效果的影响。研究得出三点结论:

 

第一,在观看教学视频的过程中,教师引导行为能有效地将学习者注意力集中于学习内容展示区域,并减少了学习过程中学习者注意力在内容展示区域与教师画面区域之间的切换次数。

 

第二,教学视频教师引导行为,可以有效的促使学生感知较高的人际交互水平,能有效降低学习者的认知负荷,提高学生的社会存在感。

 

第三,教学视频教师引导行为,对于程序性知识的视频学习成绩,具有非常显著的积极作用。

 

为此,研究建议,在教学视频的开发过程中,当教师在讲述陈述性知识时,如果语言叙述与PPT的呈现内容一致时,应提供目光引导行为;当教师在讲解程序性知识示范操作时,如果语言叙述为软件的鼠标操作或命令操作时,应提供目光引导行为。

 

总体而言,录制教学视频过程所穿插的教师目光引导行为,对学习者的视频学习至关重要。因为,教师的目光引导行为,可较好地引导学习者将注意力分配到教师意向关注的学习区域,学习者可及时筛选、获取有用的知识内容,降低听觉,促使视觉转变的反应延迟现象,从而减轻了学习者的认知负荷,提高了学习者对学习内容的认知加工水平"另外,这种引导行为还可以营造有效的师生目光交互,提高学习者的在线社会存在感,保证学习者的认知投入状态,有利于促进未来在线学习的良性循环。

 


基金项目:本文系国家自然科学基金资助项目“情绪影响创造性认知过程的神经机制研究”(课题编号:31470977);中国博士后科学基金面上资助项目“互动影响团队创造性认知过程的神经机制及干预研究’(课题编号:2018M631118);渭南师范学院教师科学研究重点项目“协同创新视角下师范生教学技能深度学习构建研究’(课题编号:2016JYKX005);陕西师范大学中央高校科研业务费专项项目“STEM+与创客融合的设计思维能力培养’(课题编号:18SZYB12)的研究成果。

作者简介:王红艳,陕西师范大学在读博士研究生,渭南师范学院教师,主要从事数字资源认知机制与科学教育研究;胡卫平,陕西师范大学博士生导师,教授,博士,本文通讯作者,主要从事现代教学技术支持科学教育与创造力培养研究;皮忠玲,陕西师范大学师资博士后,主要从事在线学习认知机制研究;葛文双,陕西师范大学教师,博士,主要从事教师培训与创客教育研究;徐益龙,陕西师范大学在读博士,主要从事STEM课程开发研究;范笑天,陕西师范大学在读硕士,主要从事创造力培养研究;梁燕玲,渭南师范学院教授,博士,主要从事创客教育与在线学习研究。

 

转载自:《远程教育杂志》2018年第5期

排版、插图来自公众号:MOOC(微信号:openonline)


喜欢我们就多一次点赞多一次分享吧~


有缘的人终会相聚,慕客君想了想,要是不分享出来,怕我们会擦肩而过~

《预约、体验——新维空间站》

《【会员招募】“新维空间站”1年100场活动等你来加入》

有缘的人总会相聚——MOOC公号招募长期合作者


产权及免责声明 本文系“MOOC”公号转载、编辑的文章,编辑后增加的插图均来自于互联网,对文中观点保持中立,对所包含内容的准确性、可靠性或者完整性不提供任何明示或暗示的保证,不对文章观点负责,仅作分享之用,文章版权及插图属于原作者。如果分享内容侵犯您的版权或者非授权发布,请及时与我们联系,我们会及时内审核处理。


了解在线教育,
把握MOOC国际发展前沿,请关注:
微信公号:openonline
公号昵称:MOOC

   

登录查看更多
0

相关内容

人机对抗智能技术
专知会员服务
214+阅读 · 2020年5月3日
大数据安全技术研究进展
专知会员服务
96+阅读 · 2020年5月2日
【WWW2020-微软】理解用户行为用于文档推荐
专知会员服务
36+阅读 · 2020年4月5日
专知会员服务
100+阅读 · 2020年2月20日
支持个性化学习的行为大数据可视化研究
在线学习体验影响因素结构关系探析
MOOC
7+阅读 · 2019年3月20日
Deformable Style Transfer
Arxiv
14+阅读 · 2020年3月24日
Augmentation for small object detection
Arxiv
13+阅读 · 2019年2月19日
Arxiv
5+阅读 · 2018年5月16日
VIP会员
最新内容
人工智能赋能无人机:俄乌战争(万字长文)
专知会员服务
4+阅读 · 今天6:56
国外海军作战管理系统与作战训练系统
专知会员服务
2+阅读 · 今天4:16
美军条令《海军陆战队规划流程(2026版)》
专知会员服务
9+阅读 · 今天3:36
《压缩式分布式交互仿真标准》120页
专知会员服务
4+阅读 · 今天3:21
《电子战数据交换模型研究报告》
专知会员服务
6+阅读 · 今天3:13
《基于Transformer的异常舰船导航识别与跟踪》80页
《低数据领域军事目标检测模型研究》
专知会员服务
6+阅读 · 今天2:37
【CMU博士论文】物理世界的视觉感知与深度理解
专知会员服务
10+阅读 · 4月22日
伊朗战争停火期间美军关键弹药状况分析
专知会员服务
8+阅读 · 4月22日
电子战革命:塑造战场的十年突破(2015–2025)
相关论文
Top
微信扫码咨询专知VIP会员