今日面试题分享:熵、联合熵、条件熵、相对熵、互信息的定义

2019 年 2 月 28 日 七月在线实验室


今日面试题分享
熵、联合熵、条件熵、相对熵、互信息的定义


参考答案:


解析:

为了更好的理解,需要了解的概率必备知识有: 

大写字母X表示随机变量,小写字母x表示随机变量X的某个具体的取值; 

P(X)表示随机变量X的概率分布,P(X,Y)表示随机变量X、Y的联合概率分布,P(Y|X)表示已知随机变量X的情况下随机变量Y的条件概率分布; 

p(X = x)表示随机变量X取某个具体值的概率,简记为p(x); 

p(X = x, Y = y) 表示联合概率,简记为p(x,y),p(Y = y|X = x)表示条件概率,简记为p(y|x),且有:p(x,y) = p(x) * p(y|x)。 

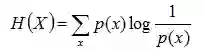
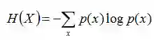
熵:如果一个随机变量X的可能取值为X = {x1, x2,…, xk},其概率分布为P(X = xi) = pi(i = 1,2, ..., n),则随机变量X的熵定义为:

把最前面的负号放到最后,便成了:


上面两个熵的公式,无论用哪个都行,而且两者等价,一个意思(这两个公式在下文中都会用到)。    


联合熵:两个随机变量X,Y的联合分布,可以形成联合熵Joint Entropy,用H(X,Y)表示。    


条件熵:在随机变量X发生的前提下,随机变量Y发生所新带来的熵定义为Y的条件熵,用H(Y|X)表示,用来衡量在已知随机变量X的条件下随机变量Y的不确定性。    


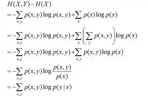
且有此式子成立:H(Y|X) = H(X,Y) – H(X),整个式子表示(X,Y)发生所包含的熵减去X单独发生包含的熵。至于怎么得来的请看推导:


简单解释下上面的推导过程。整个式子共6行,其中 

第二行推到第三行的依据是边缘分布p(x)等于联合分布p(x,y)的和; 

第三行推到第四行的依据是把公因子logp(x)乘进去,然后把x,y写在一起; 

第四行推到第五行的依据是:因为两个sigma都有p(x,y),故提取公因子p(x,y)放到外边,然后把里边的-(log p(x,y) - log p(x))写成- log (p(x,y)/p(x) ) ; 

第五行推到第六行的依据是:p(x,y) = p(x) * p(y|x),故p(x,y) / p(x) =  p(y|x)。    


相对熵:又称互熵,交叉熵,鉴别信息,Kullback熵,Kullback-Leible散度等。设p(x)、q(x)是X中取值的两个概率分布,则p对q的相对熵是:


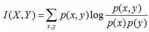
在一定程度上,相对熵可以度量两个随机变量的“距离”,且有D(p||q) ≠D(q||p)。另外,值得一提的是,D(p||q)是必然大于等于0的。    互信息:两个随机变量X,Y的互信息定义为X,Y的联合分布和各自独立分布乘积的相对熵,用I(X,Y)表示:


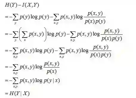
且有I(X,Y)=D(P(X,Y) || P(X)P(Y))。下面,咱们来计算下H(Y)-I(X,Y)的结果,如下:


通过上面的计算过程,我们发现竟然有H(Y)-I(X,Y) = H(Y|X)。故通过条件熵的定义,有:H(Y|X) = H(X,Y) - H(X),而根据互信息定义展开得到H(Y|X) = H(Y) - I(X,Y),把前者跟后者结合起来,便有I(X,Y)= H(X) + H(Y) - H(X,Y),此结论被多数文献作为互信息的定义。

更多请查看《最大熵模型中的数学推导》(链接:http://blog.csdn.net/v_july_v/article/details/40508465)


题目来源:七月在线官网(www.julyedu.com)——面试题库——面试大题——机器学习




今日学习推荐


【CV就业班 第一期】


BAT大咖一对一个性化定制辅导

定制学习路线

简历与项目定制   面试辅导与内推


保就业  保高薪  先就业  后付费


又是新一轮金三银四之际

又到了各大企业狂招人的季节

也是跳槽涨薪的最佳时节啦

有意的亲们抓紧时间喽

挑战高薪,玩转AI~


长按识别下方二维码  

查看更多课程详情

长按识别二维码


往期推荐






我在GitHub上找到了中科大的计算机课程资源必读!

必备收藏!8500+公开代码论文,950多项机器学习任务最优结果汇总

2018最具突破性计算机视觉论文Top 10

春招已近,这份GitHub万星的ML算法面试大全请收下

不看后悔!2019年人工智能行业25大趋势


咨询,查看课程,请点击“阅读原文

给我【好看

你也越好看!

登录查看更多
8

相关内容

【经典书】机器学习:贝叶斯和优化方法,1075页pdf
专知会员服务
415+阅读 · 2020年6月8日
机器学习速查手册,135页pdf
专知会员服务
345+阅读 · 2020年3月15日
知识神经元网络 KNN(简介),12页pdf
专知会员服务
15+阅读 · 2019年12月25日
从信息论的角度来理解损失函数
深度学习每日摘要
17+阅读 · 2019年4月7日
面试时让你手推公式不在害怕 | 梯度下降
计算机视觉life
14+阅读 · 2019年3月27日
从最大似然到EM算法:一致的理解方式
PaperWeekly
19+阅读 · 2018年3月19日
干货 | 一文搞懂极大似然估计
AI100
7+阅读 · 2017年12月3日
干货|通俗易懂地解释EM算法并举例说明?
机器学习研究会
12+阅读 · 2017年11月17日
基于概率论的分类方法:朴素贝叶斯
Python开发者
8+阅读 · 2017年11月9日
【直观详解】信息熵、交叉熵和相对熵
机器学习研究会
10+阅读 · 2017年11月7日
BAT机器学习面试1000题系列(第116~120题)
七月在线实验室
16+阅读 · 2017年10月24日
机器学习(13)之最大熵模型详解
机器学习算法与Python学习
7+阅读 · 2017年8月24日
Knowledge Distillation from Internal Representations
Arxiv
4+阅读 · 2019年10月8日
Bivariate Beta LSTM
Arxiv
6+阅读 · 2019年10月7日
Arxiv
7+阅读 · 2018年3月12日
Arxiv
3+阅读 · 2018年1月31日
Arxiv
3+阅读 · 2018年1月10日
VIP会员
最新内容
内省扩散语言模型
专知会员服务
1+阅读 · 今天14:42
国外反无人机系统与技术动态
专知会员服务
2+阅读 · 今天12:48
大规模作战行动中的战术作战评估(研究论文)
专知会员服务
3+阅读 · 今天12:21
未来的海战无人自主系统
专知会员服务
2+阅读 · 今天12:05
美军多域作战现状分析:战略、概念还是幻想?
专知会员服务
4+阅读 · 今天11:52
无人机与反无人机系统(书籍)
专知会员服务
16+阅读 · 今天6:45
美陆军2026条令:安全与机动支援
专知会员服务
6+阅读 · 今天5:49
相关资讯
从信息论的角度来理解损失函数
深度学习每日摘要
17+阅读 · 2019年4月7日
面试时让你手推公式不在害怕 | 梯度下降
计算机视觉life
14+阅读 · 2019年3月27日
从最大似然到EM算法:一致的理解方式
PaperWeekly
19+阅读 · 2018年3月19日
干货 | 一文搞懂极大似然估计
AI100
7+阅读 · 2017年12月3日
干货|通俗易懂地解释EM算法并举例说明?
机器学习研究会
12+阅读 · 2017年11月17日
基于概率论的分类方法:朴素贝叶斯
Python开发者
8+阅读 · 2017年11月9日
【直观详解】信息熵、交叉熵和相对熵
机器学习研究会
10+阅读 · 2017年11月7日
BAT机器学习面试1000题系列(第116~120题)
七月在线实验室
16+阅读 · 2017年10月24日
机器学习(13)之最大熵模型详解
机器学习算法与Python学习
7+阅读 · 2017年8月24日
相关论文
Knowledge Distillation from Internal Representations
Arxiv
4+阅读 · 2019年10月8日
Bivariate Beta LSTM
Arxiv
6+阅读 · 2019年10月7日
Arxiv
7+阅读 · 2018年3月12日
Arxiv
3+阅读 · 2018年1月31日
Arxiv
3+阅读 · 2018年1月10日
Top
微信扫码咨询专知VIP会员