一文搞懂交叉熵在机器学习中的使用,透彻理解交叉熵背后的直觉

2018 年 7 月 2 日 AI100


作者 | 田思洋(北京科技大学在读博士生,主要研究方向图像识别,表面检测


关于交叉熵在loss函数中使用的理解


交叉熵(cross entropy)是深度学习中常用的一个概念,一般用来求目标与预测值之间的差距。以前做一些分类问题的时候,没有过多的注意,直接调用现成的库,用起来也比较方便。最近开始研究起对抗生成网络(GANs),用到了交叉熵,发现自己对交叉熵的理解有些模糊,不够深入。遂花了几天的时间从头梳理了一下相关知识点,才算透彻的理解了,特地记录下来,以便日后查阅。


信息论


交叉熵是信息论中的一个概念,要想了解交叉熵的本质,需要先从最基本的概念讲起。


1 信息量


首先是信息量。假设我们听到了两件事,分别如下: 


事件A:巴西队进入了2018世界杯决赛圈。 

事件B:中国队进入了2018世界杯决赛圈。 


仅凭直觉来说,显而易见事件B的信息量比事件A的信息量要大。究其原因,是因为事件A发生的概率很大,事件B发生的概率很小。所以当越不可能的事件发生了,我们获取到的信息量就越大。越可能发生的事件发生了,我们获取到的信息量就越小。那么信息量应该和事件发生的概率有关。


假设X是一个离散型随机变量,其取值集合为χ,概率分布函数定义事件的信息量为:



由于是概率所以的取值范围是[0,1],绘制为图形如下: 



可见该函数符合我们对信息量的直觉


2 熵


考虑另一个问题,对于某个事件,有n种可能性,每一种可能性都有一个概率p(xi)。


这样就可以计算出某一种可能性的信息量。举一个例子,假设你拿出了你的电脑,按下开关,会有三种可能性,下表列出了每一种可能的概率及其对应的信息量



注:文中的对数均为自然对数


我们现在有了信息量的定义,而熵用来表示所有信息量的期望,即: 



其中n代表所有的n种可能性,所以上面的问题结果就是 



然而有一类比较特殊的问题,比如投掷硬币只有两种可能,字朝上或花朝上。买彩票只有两种可能,中奖或不中奖。我们称之为0-1分布问题(也叫二项分布),对于这类问题,熵的计算方法可以简化为如下算式: 



3 相对熵(KL散度)


相对熵又称KL散度,如果我们对于同一个随机变量 x 有两个单独的概率分布 P(x) 和 Q(x),我们可以使用 KL 散度(Kullback-Leibler (KL) divergence)来衡量这两个分布的差异


维基百科对相对熵的定义


In the context of machine learning, DKL(P‖Q) is often called the information gain achieved if P is used instead of Q.


即如果用P来描述目标问题,而不是用Q来描述目标问题,得到的信息增量。


在机器学习中,P往往用来表示样本的真实分布,比如[1,0,0]表示当前样本属于第一类。Q用来表示模型所预测的分布,比如[0.7,0.2,0.1] 


直观的理解就是如果用P来描述样本,那么就非常完美。而用Q来描述样本,虽然可以大致描述,但是不是那么的完美,信息量不足,需要额外的一些“信息增量”才能达到和P一样完美的描述。如果我们的Q通过反复训练,也能完美的描述样本,那么就不再需要额外的“信息增量”,Q等价于P。


KL散度的计算公式: 


 (3.1)


n为事件的所有可能性。 


DKL的值越小,表示q分布和p分布越接近。


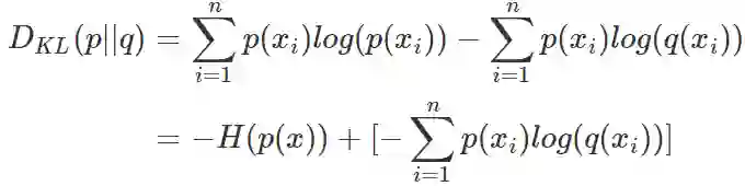
4 交叉熵


对式3.1变形可以得到: 



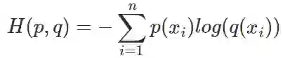
等式的前一部分恰巧就是p的熵,等式的后一部分,就是交叉熵: 



在机器学习中,我们需要评估label和predicts之间的差距,使用KL散度刚刚好,即,由于KL散度中的前一部分不变,故在优化过程中,只需要关注交叉熵就可以了。所以一般在机器学习中直接用交叉熵做loss,评估模型。


机器学习中交叉熵的应用


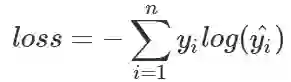
1 为什么要用交叉熵做loss函数?


在逻辑回归问题中,常常使用MSE(Mean Squared Error)作为loss函数,比如:

 


这里的m表示m个样本的,loss为m个样本的loss均值。 


MSE在逻辑回归问题中比较好用,那么在分类问题中还是如此么? 


让我们来看一下不同loss的函数曲线:


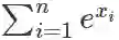
首先所有节点输出都用的softmax 



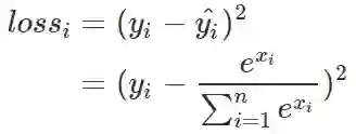
分别拿一个样本来做示例,首先是使用MSE的loss 



其中都是常数,loss简化为: 



,绘图如下



显然,这个函数是非凸的,对优化问题来讲,不太好优化,容易陷入局部极值点。 


再来看使用交叉熵的loss 



由于one-hot标签的特殊性,一个1,剩下全是0,loss可以简化为: 



绘制曲线如下: 



曲线是一个凸函数,自变量的取值范围是[0,1]。凸函数便于梯度下降反向传播,便于优化。所以一般针对分类问题采用交叉熵作为loss函数


2 交叉熵在单分类问题中的使用


这里的单类别是指,每一张图像样本只能有一个类别,比如只能是狗或只能是猫。 


交叉熵在单分类问题上基本是标配的方法 



上式为一张样本的loss计算方法。式2.1中n代表着n种类别。 


举例说明,比如有如下样本 



对应的标签和预测值



那么 



对应一个batch的loss就是 




m为当前batch的样本数


3 交叉熵在多分类问题中的使用


这里的多类别是指,每一张图像样本可以有多个类别,比如同时包含一只猫和一只狗。 


和单分类问题的标签不同,多分类的标签是n-hot。 


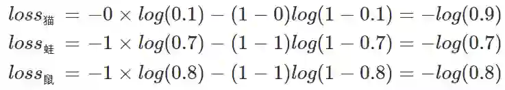
比如下面这张样本图,即有青蛙,又有老鼠,所以是一个多分类问题。



对应的标签和预测值



值得注意的是,这里的Pred不再是通过softmax计算的了,这里采用的是sigmoid。将每一个节点的输出归一化到[0,1]之间。所有Pred值的和也不再为1。换句话说,就是每一个Label都是独立分布的,相互之间没有影响。所以交叉熵在这里是单独对每一个节点进行计算,每一个节点只有两种可能值,所以是一个二项分布。前面说过对于二项分布这种特殊的分布,熵的计算可以进行简化。


同样的,交叉熵的计算也可以简化,即 




注意,上式只是针对一个节点的计算公式。这一点一定要和单分类loss区分开来。 


例子中可以计算为: 



单张样本的loss即为loss=loss猫+loss蛙+loss鼠


每一个batch的loss就是: 



式中m为当前batch中的样本量,n为类别数。


总结


路漫漫,要学的东西还有很多啊。


参考:

  • https://www.zhihu.com/question/65288314/answer/244557337 

  • https://en.wikipedia.org/wiki/Kullback%E2%80%93Leibler_divergence 

  • https://jamesmccaffrey.wordpress.com/2013/11/05/why-you-should-use-cross-entropy-error-instead-of-classification-error-or-mean-squared-error-for-neural-network-classifier-training/


来源:田思洋的CSDN博客

https://blog.csdn.net/tsyccnh/article/details/79163834

作者GitHub地址:

https://github.com/tsycnh


——【完】——


招募

AI科技大本营读者群(计算机视觉、机器学习、深度学习、NLP、Python、AI硬件、AI+金融、AI+PM方向)正在招募中,和你志同道合的小伙伴也在这里!添加大本营小助手微信:csdnai,邀你加入读者群,请务必备注姓名,研究方向。

AI科技大本营
公众号ID:rgznai100


☟☟☟点击 | 阅读原文 | 查看更多精彩内容

登录查看更多
1

相关内容

交叉熵(Cross Entropy)是Shannon信息论中一个重要概念,主要用于度量两个概率分布间的差异性信息。语言模型的性能通常用交叉熵和复杂度(perplexity)来衡量。交叉熵的意义是用该模型对文本识别的难度,或者从压缩的角度来看,每个词平均要用几个位来编码。
机器学习速查手册,135页pdf
专知会员服务
345+阅读 · 2020年3月15日
【UMD开放书】机器学习课程书册,19章227页pdf,带你学习ML
从信息论的角度来理解损失函数
深度学习每日摘要
17+阅读 · 2019年4月7日
从最大似然到EM算法:一致的理解方式
PaperWeekly
19+阅读 · 2018年3月19日
理解神经网络的激活函数
论智
7+阅读 · 2018年1月8日
教程 | 理解XGBoost机器学习模型的决策过程
机器之心
6+阅读 · 2017年12月20日
【直观详解】信息熵、交叉熵和相对熵
机器学习研究会
10+阅读 · 2017年11月7日
机器学习(13)之最大熵模型详解
机器学习算法与Python学习
7+阅读 · 2017年8月24日
Bivariate Beta LSTM
Arxiv
6+阅读 · 2019年10月7日
q-Space Novelty Detection with Variational Autoencoders
Arxiv
3+阅读 · 2018年10月11日
Arxiv
8+阅读 · 2018年5月1日
Arxiv
3+阅读 · 2018年1月31日
Arxiv
3+阅读 · 2018年1月10日
Arxiv
9+阅读 · 2018年1月4日
Arxiv
29+阅读 · 2017年12月6日
VIP会员
最新内容
《第四代军事特种作战部队选拔与评估》
专知会员服务
1+阅读 · 今天6:23
不对称优势上升:自主系统如何强化海上拒止
专知会员服务
1+阅读 · 今天5:51
《人工智能赋能电磁战》(报告)
专知会员服务
2+阅读 · 4月17日
【CMU博士论文】迈向可扩展的开放世界三维感知
相关资讯
从信息论的角度来理解损失函数
深度学习每日摘要
17+阅读 · 2019年4月7日
从最大似然到EM算法:一致的理解方式
PaperWeekly
19+阅读 · 2018年3月19日
理解神经网络的激活函数
论智
7+阅读 · 2018年1月8日
教程 | 理解XGBoost机器学习模型的决策过程
机器之心
6+阅读 · 2017年12月20日
【直观详解】信息熵、交叉熵和相对熵
机器学习研究会
10+阅读 · 2017年11月7日
机器学习(13)之最大熵模型详解
机器学习算法与Python学习
7+阅读 · 2017年8月24日
相关论文
Bivariate Beta LSTM
Arxiv
6+阅读 · 2019年10月7日
q-Space Novelty Detection with Variational Autoencoders
Arxiv
3+阅读 · 2018年10月11日
Arxiv
8+阅读 · 2018年5月1日
Arxiv
3+阅读 · 2018年1月31日
Arxiv
3+阅读 · 2018年1月10日
Arxiv
9+阅读 · 2018年1月4日
Arxiv
29+阅读 · 2017年12月6日
Top
微信扫码咨询专知VIP会员