COLT'17 最佳论文赏析:Hitting time analysis of SGLD!

2017 年 9 月 8 日 全球人工智能

全球人工智能:一家人工智能技术学习平台。旗下有:Paper学院、商业学院、科普学院,技术学院和职业学院五大业务。拥有十几万AI开发者和学习者用户,1万多名AI技术专家。我们诚邀全球的AI技术专家、AI创业者和AI投资者来Paper学院和商业学院演讲,分享您最新的技术研究成果和商业观点!


加入AI企业高管群>>

加入AI技术专家群>>

作者:袁洋 康奈尔大学博士

[本文主要介绍张雨辰,Percy Liang和Moses Charikar的论文:A hitting time analysis of stochastic gradient langevin dynamics. COLT'17 Best paper.为了便于理解我做了很多简化,具体的内容参见原文.个人水平有限,各位大大轻拍]

之前的博文中提到了虽然Stochastic Gradient Descent (SGD)是作为Gradient Descent (GD)算法的一个"近似算法"被提出来的,但是实际使用过程中人们发现SGD有很多很好的性质,在绝大部分机器学习问题里能够比GD表现得好很多.

我个人认为,对于SGD逃离鞍点方面的理解已经挺好了,但是对于为什么SGD能够逃离比较差的局部最小值,目前大家的理解还不是很深刻.今天讲的这篇论文,为理解SGD如何逃离较差的局部最小值走出了重要的一步.

我们先从论文中的一张图看起:

他分了empirical risk(黑线) 和population risk(绿线)两个线.所谓的empirical risk,就是我们从训练数据集里面估计出来的曲线,也就是我们跑SGD的时候使用的曲线.而population risk就是真实的真正的隐藏在大自然背后的曲线,大家都知道它的存在,但是谁也没有见过.由于数据数目有限,我们用数据估计出来的黑线只能够大概近似绿线,而做不到完全吻合.同时,黑线也有可能会有一些坑坑洼洼的地方,其实根本就不是局部最小值,但是看起来像是局部最小值.比如说,在这个图上,-2和2是绿线的两个最小值,也是我们想要找到的.但是由于我们只看得到黑线,如果用GD优化的话,很容易就陷在了,比如0附近.

当然了,对着这张图,我们拍拍脑袋也知道,如果用SGD来优化的话,由于有大量的噪声扰动,所以在0附近那些小坑里面肯定是呆不住的,肯定跑几步就掉到-2或者2的大坑里面去了.而且,一旦掉到大坑里面,就算有扰动也很难出来,毕竟这两个大坑看起来很深的样子.所以SGD能够圆满完成任务!

——如果能够在一般情况下严格证明这样的事,那自然是一个非常好的结果了,因为这正是目前优化领域的热门问题.但本文证的呢,是比之稍弱一些的结论.

------------------------------------定理介绍---------------------------------------

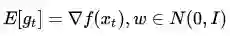
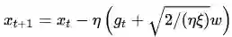
具体来说,本文考虑的算法叫做Stochastic Gradient Langevin Dynamics (SGLD) method:其中 

可以看到,和SGD相比,SGLD方法使用的导数中多出了一个期望为0的 

 项.所以说,这个导数期望仍然是正确的,只是额外加了很多噪声,可以看作是一种SGD算法.

当然,和我们一般使用的SGD方法稍有不同,SGLD算法的这个噪声项是挺大的.

  •  是所谓的"温度"(或者1/温度?),如果  非常小,那么噪声就非常大,如果  非常大,那么噪声就非常小.之前有人证明,如果一开始噪声非常大,之后逐渐变小,那么渐进意义下就会接近到全局最小值(但是收敛速度没保证),这个就类似于模拟退火的想法.本文把  当成一个常数.


  • 除了  之外,额外加的噪声还有一项是 系数  .也就是说,当步长比较小的时候,噪声会变得非常大,相比导数 而言,占据了主导地位.


  • 由于噪声很大,可以想象这个SGLD算法会喜欢到处乱跑,哪里都留不住他.

下面我们看一下主定理的具体内容(为了便于理解,我略去或简化了一些假设,更严格的版本参见原文):

  • 假如函数  光滑,对于定义域任何一个子集U,如果SGLD的步长比较小 ,那么大概率,该算法在前  步会碰到一个点,这个点的函数值至少和U中最差的点差不多好.

注:这里M是一个关于那些完全没人在乎的参数们(例如光滑程度或者维度等等)的多项式.C则是本文的重点,叫做restricted Cheeger constant,由函数  与子集U决定(其实和温度  也有关系,我无耻地简化了).

------------------------------------定理理解---------------------------------------

我们来理解一下这个定理是什么意思.首先,"碰到"的意思是说,SGLD最后不一定会收敛到一个比较好的点,而只是在路上会碰到一个比较好的点,稍作停留之后又跑到别的地方去了(所谓,不求天长地久,但求曾经拥有).其次,这个碰到的比较好的点到底有多好,其实是由我们选择的集合U决定的,因为定理说,这个点和U中最差的点差不多好.

所以如果我们想说,SGLD会碰到和全局最小值差不多好的点,那么我们贪心一把,就可以把U直接设为全局最小值.这样可不可以呢?当然是可以的.但是因此主定理告诉我们的就是,SGLD会需要  步才能碰到这么个点.

说到这里,我想要岔开话题,和大家简单聊聊"一只勤奋的猴子敲键盘,穷其一生也可以敲出一本莎士比亚"的故事,想必大家都是熟知的.所以说,假如我们不计时间成本,只是想要碰到一个点的话,哪怕在定义域里面随机游走,指数时间内也是可以完成任务的.本文的优势呢,就是说SGLD算法只需要多项式大小的步数.

所以回过头来看,  是不是多项式大小呢?我们知道,M是由一些没人在乎的参数组成的多项式,没有问题.但C呢?C的大小是由U决定的,所以可能是,也可能不是一个多项式.比如,如果直接把U设定为全局最小值,C可能就不是一个多项式了.

所以说,为了得到多项式大小的步数,我们在选取U的同时,也需要保证同时对C有下界,不能随便取.

论文中讨论了三种U的取法对应的C的下界.其中最有意思的情况是考虑  的所有的  -近似局部最小值作为U集合(这个东西是什么我也懒得解释了,下面咱们就姑且一律把它当作是所有的局部最小值集合吧,反正我觉得差不多..).在这种情况下,可以得到 ,是个多项式.

换句话说,把这样的U带入主定理,得到的结论就是,SGLD在多项式步数内能够遇到和某个局部最小值差不多的点.

------------------------------------巧妙应用---------------------------------------

假如这篇论文的结果只是这样的话,自然是拿不到最佳论文的,因为其实之前介绍的逃离鞍点的论文使用SGD算法就可以得到稍强一些的结论,即多项式时间内逃离所有的鞍点,最后收敛到(而不是只是遇到)某个局部最小值附近.

本文的巧妙之处,就是restricted Cheeger constant的这个参数C,有很强的稳定性,它满足这样的性质:如果两个函数 很接近,即  ,那么对于任何固定的集合U,  ,它们最多只相差一个系数  .

带着这样的想法,我们回过头来看一看开头的那张图:

于是我们眼前一亮,因为这两个函数非常接近!也就是说,如果我们固定一个U之后,这两个函数对应的参数C的大小是差不多的.下面就是巧妙的推理环节,从中也可以看出主定理非常灵活的一面:

我们把empirical risk叫做  , Population risk叫做  ,假设  和  点与点之间最多差 .我们固定U为  的所有局部最小值的集合,然后在  上面跑SGLD,因为我们只知道 ,没人知道  是什么.

根据主定理,这意味着,SGLD会在  步之内遇到一个点在U上的最差的值差不多,即  .

——这里 有下界么?因为我们取的U是F的所有局部最小值的集合,所以根据之前的讨论,  是有下界的:,所以我们知道  也有下界,所以这个相遇的步数是多项式的.

把这个结论带入上图,我们就知道,如果在坑坑洼洼的黑线上跑SGLD,最后大概率会遇到一个离2或者-2比较近的点,而不会一直陷在其他相对糟糕的点上,比如不会陷在0附近.换句话说,SGLD能够自动避开那些只在empirical risk 中出现却没有在population risk中出现的局部最小值.当然,由于两个函数很接近,如果这些最小值存在的话,也一定是非常浅的局部最小值.

更进一步的,假如存在一个过渡函数  ,它和 非常接近,而且它的所有局部最小值都是的比较好的局部最小值,那么我们就可以通过  替代之前分析里面的  ,得到SGLD能够遇到  中比较好的局部最小值的结论.换句话说,即使图里面的那个绿线画得没有那么光滑,在0附近还有几个小坑,仍然不影响结论.

也就是说,SGLD能够自动逃离所有比较浅的局部最小值,而只与比较深的局部最小值"相遇".

很神奇是不是?

《全球人工智能》开始招人啦!


一、1名中文编辑(深圳):熟悉国内AI技术媒体、企业,对AI有一定了解,有非常强烈的兴趣进入这个行业,学习能力强,负责中文类AI技术新闻采编(有经验)。待遇:8-12k

二、1名英文编译(深圳):英语水平能看懂英文的新闻,对AI有一定了解,有非常强力的兴趣进入这个行业,学习能力强,负责英文类AI技术新闻采编和兼职翻译管理(有经验)。待遇:8-12k

三、1名课程规划(深圳):计算机相关专业,对人工智能技术有浓厚兴趣,能对ai技术进行系统化梳理,对培训教育比较感兴趣,学习能力强。负责技术课程的梳理和规划(英语好懂技术)。待遇:8-12k

四、2名导师管理(深圳):沟通能力强,能善于负责人工智能技术专家的拓展、关系维护、培训沟通、课程时间协调等工作(英语好懂技术)。待遇:8-12k+提成

五、2名渠道商务(深圳):有一定渠道商务拓展或销售经验,对新生事物比较敏感,熟悉线上线下渠道拓展业务。待遇:6-10k+提成

简历发送[email protected]

热门文章推荐

5个月市值涨了1200亿,首次突破3100亿市值!

华为扔下这枚“AI芯弹”,全世界的智能手机都卡(慢)死了!

用57行代码搞定花8000万美元采购车牌识别项目

厉害|百度28位离职技术大牛和他们创建的AI公司!

一AI工程师下载200万GB色情内容,只为学习Python!

推荐|变形卷积核、可分离卷积?CNN中十大操作!

她:13岁造飞机,17岁进MIT,22岁到哈佛读博!

全球最火爆的人脸识别技术应用: FaceDance Challenge!

厉害!科大讯飞市值奔1000亿,市盈率达400倍成“妖股”!

残酷!如果你35岁破产,你还有多大可能逆袭?

登录查看更多
2

相关内容

近期必读的6篇顶会WWW2020【推荐系统】相关论文-Part3
专知会员服务
58+阅读 · 2020年4月14日
近期必读的5篇顶会WWW2020【推荐系统】相关论文-Part2
专知会员服务
70+阅读 · 2020年4月7日
深度学习优化算法总结(SGD,AdaGrad,Adam等)
极市平台
34+阅读 · 2019年4月30日
你有哪些深度学习(rnn、cnn)调参的经验?
七月在线实验室
10+阅读 · 2019年3月27日
从动力学角度看优化算法:一个更整体的视角
黑龙江大学自然语言处理实验室
8+阅读 · 2019年1月28日
“噪声对比估计”杂谈:曲径通幽之妙
PaperWeekly
6+阅读 · 2018年6月15日
周志华提出的gcForest能否取代深度神经网络?
全球人工智能
10+阅读 · 2018年4月19日
Soft-NMS – Improving Object Detection With One Line of Code
统计学习与视觉计算组
6+阅读 · 2018年3月30日
对抗样本引发的系列讨论
机器学习研究会
5+阅读 · 2018年3月22日
Generative Adversarial Text to Image Synthesis论文解读
统计学习与视觉计算组
13+阅读 · 2017年6月9日
Arxiv
6+阅读 · 2018年11月29日
Arxiv
8+阅读 · 2018年11月27日
Arxiv
5+阅读 · 2018年1月30日
Arxiv
5+阅读 · 2017年12月14日
Arxiv
3+阅读 · 2017年8月15日
VIP会员
最新内容
战争机器学习:数据生态系统构建(155页)
专知会员服务
1+阅读 · 29分钟前
内省扩散语言模型
专知会员服务
4+阅读 · 4月14日
国外反无人机系统与技术动态
专知会员服务
3+阅读 · 4月14日
大规模作战行动中的战术作战评估(研究论文)
未来的海战无人自主系统
专知会员服务
3+阅读 · 4月14日
美军多域作战现状分析:战略、概念还是幻想?
无人机与反无人机系统(书籍)
专知会员服务
19+阅读 · 4月14日
美陆军2026条令:安全与机动支援
专知会员服务
9+阅读 · 4月14日
相关VIP内容
近期必读的6篇顶会WWW2020【推荐系统】相关论文-Part3
专知会员服务
58+阅读 · 2020年4月14日
近期必读的5篇顶会WWW2020【推荐系统】相关论文-Part2
专知会员服务
70+阅读 · 2020年4月7日
相关资讯
深度学习优化算法总结(SGD,AdaGrad,Adam等)
极市平台
34+阅读 · 2019年4月30日
你有哪些深度学习(rnn、cnn)调参的经验?
七月在线实验室
10+阅读 · 2019年3月27日
从动力学角度看优化算法:一个更整体的视角
黑龙江大学自然语言处理实验室
8+阅读 · 2019年1月28日
“噪声对比估计”杂谈:曲径通幽之妙
PaperWeekly
6+阅读 · 2018年6月15日
周志华提出的gcForest能否取代深度神经网络?
全球人工智能
10+阅读 · 2018年4月19日
Soft-NMS – Improving Object Detection With One Line of Code
统计学习与视觉计算组
6+阅读 · 2018年3月30日
对抗样本引发的系列讨论
机器学习研究会
5+阅读 · 2018年3月22日
Generative Adversarial Text to Image Synthesis论文解读
统计学习与视觉计算组
13+阅读 · 2017年6月9日
Top
微信扫码咨询专知VIP会员