DeepMind开源薛定谔方程求解程序:从量子力学原理出发,TensorFlow实现

2020 年 10 月 21 日 量子位
晓查 发自 凹非寺 
量子位 报道 | 公众号 QbitAI

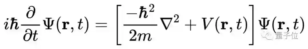
只要解出薛定谔方程,你就能预测分子的化学性质。但现实很骨感,迄今为止,科学家只能精确求解一个电子的氢原子,即使是只有两个电子的氦原子都无能为力。

原因是有两个以上电子组成的薛定谔方程实在太复杂,根本无法精确求解。

既然找不到精确解,科学家们希望能找到一种实用的近似解求法,只要结果足够近似,也能预测原子或分子的行为。

近日,DeepMind开源了一个“费米网络”(FermiNet),用来求解分子的电子行为,在30个电子的有机分子上也达到了很高的精度。文章结果发表在期刊Physical Review Research上。

为什么叫费米网络

在量子力学中,电子没有精确的位置,我们只能从波函数预测电子在空间中出现的概率,也就是电子云。

比如氢原子的电子云就有以下几种形态。

曲面内表示电子出现的高概率区域。蓝色区域波函数为正,紫色区域波函数为负。(注:波函数平方表示电子出现的概率)

误差小于0.5%即可预测分子的能量,但这对于化学家来说远远不够,要准确预测分子的形状和化学性质,需要0.001%的精度,相当于以毫米精度测量足球场宽度。

电子在分子中不仅受到原子核的吸引力、其他电子的斥力,还遵循着量子力学中的费米-狄拉克统计:如果两个电子交换状态,波函数要反号。

这也意味着两个电子的状态不可能完全相同,否则波函数为0。这在物理中叫做“泡利不相容原理”。

费米网络正是从这个基本物理原理出发,因此DeepMind将其命名为FermiNet。

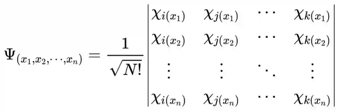
交换后符号相反,这可能会让你想到线性代数中的行列式。行列式任意两行交换,输出结果就要乘以-1。

物理学家也是这样想的,他们用所谓“Slater行列式”来表示电子波函数,但实际情况比Slater行列式要复杂得多,为了更精确表示电子行为,往往需要几百万个Slater行列式的线性组合。

工作原理

与函数线性组合相比,神经网络在表示复杂函数时往往更具有优势。

在构造FermiNet之初,研究人员就把泡利不相容原理作为第一性原理引入神经网络。

在FermiNet中,每个电子都有单独的信息流。不仅如此,他们将网络每一层所有流平均化,然后传递给下一层的每一流。这样,这些流就具有正确的反对称性要求。

而且在FermiNet行列式中每个元素都包含所有电子,效率远远超出波函数只有单个电子的情况。

与Slater行列式不同,FermiNet是通用函数逼近器,如果神经网络层变得足够宽,则可以无限逼近真实波函数。

这意味着,如果我们正确地训练这些网络,它们应该能够将几乎完全精确的解拟合到薛定谔方程。

训练是通过最小化系统的能量来拟合FermiNet。FermiNet用蒙特卡洛方法随机选择电子构型,在每个电子排列中局部评估能量,累加每个排列的贡献,并将其最小化。

实验结果

研究人员将FermiNet用在具有10个电子以内的原子上,能量精度均在99.8%左右。

对于30个电子的环二丁烷,FermiNet算出的能量达到了97%的精度,虽然精度不是很高,但DeepMind表示,作为一种“便宜但不够准确”的方法,这是巨大的成就。

现在FermiNet已经在GitHub上开源,代码基于TensorFlow实现,如果你想用它算一算氢分子,不妨试试这串代码:

import sys
from absl import loggingfrom ferminet.utils import systemfrom ferminet import train
# Optional, for also printing training progress to STDOUTlogging.get_absl_handler().python_handler.stream = sys.stdoutlogging.set_verbosity(logging.INFO)
# Define H2 moleculemolecule = [system.Atom('H', (0, 0, -1)), system.Atom('H', (0, 0, 1))]
train.train( molecule=molecule, spins=(1, 1), batch_size=256, pretrain_config=train.PretrainConfig(iterations=100), logging_config=train.LoggingConfig(result_path='H2'


经过100次迭代后,该程序会输出一个氢原子波函数文件。官方建议最好用GPU来运行,因为他们计算乙烯分子就用8个GPU花2天时间才算出。

除了研究电子外,DeepMind还将神经网络用于其他基础科学研究,比如蛋白质折叠、玻璃态动力学、晶格量子色动力学等。

参考链接:
https://journals.aps.org/prresearch/abstract/10.1103/PhysRevResearch.2.033429
https://github.com/deepmind/ferminet
https://deepmind.com/blog/article/FermiNet

本文系网易新闻•网易号特色内容激励计划签约账号【量子位】原创内容,未经账号授权,禁止随意转载。

「百度AI开发系列课免费报名

5分钟上手,10分钟定制高精度AI模型,硬核百度EasyDL,小白也能学!

10.21日起,3期公开课带你0门槛轻松学AI开发、实现AI模型训练与部署!扫码添加量子位小助手(qbitbot12)、加入课程直播群吧~

p.s.完成课堂任务还有机会赢取李彦宏新书《智能经济》哦~


量子位 QbitAI · 头条号签约作者


վ'ᴗ' ի 追踪AI技术和产品新动态


喜欢就点「在看」吧 !


登录查看更多
0

相关内容

【经典书】线性代数,352页pdf教你应该这样学
专知会员服务
107+阅读 · 2020年12月20日
【经典书】概率统计导论第五版,730页pdf
专知会员服务
250+阅读 · 2020年7月28日
【Java实现遗传算法】162页pdf,Genetic Algorithms in Java Basics
专知会员服务
44+阅读 · 2020年7月19日
【硬核书】不完全信息决策理论,467页pdf
专知会员服务
367+阅读 · 2020年6月24日
Python导论,476页pdf,现代Python计算
专知会员服务
266+阅读 · 2020年5月17日
【干货书】数值计算C编程,319页pdf,Numerical C
专知会员服务
72+阅读 · 2020年4月7日
机器学习速查手册,135页pdf
专知会员服务
345+阅读 · 2020年3月15日
机器学习领域必知必会的12种概率分布(附Python代码实现)
算法与数学之美
21+阅读 · 2019年10月18日
浅谈 EHT 黑洞照片拍摄原理
人工智能学家
3+阅读 · 2019年4月18日
人工智能离不开它——贝叶斯公式的前世今生
人工智能学家
3+阅读 · 2018年7月21日
TensorFlow: 薛定谔的管道
深度学习大讲堂
3+阅读 · 2018年6月13日
你知道量子计算吗?它超酷的!
微软研究院AI头条
4+阅读 · 2018年3月16日
神经网络理论基础及 Python 实现
Python开发者
6+阅读 · 2017年7月15日
Arxiv
0+阅读 · 2021年2月2日
Arxiv
0+阅读 · 2021年1月31日
Multi-Grained Named Entity Recognition
Arxiv
6+阅读 · 2019年6月20日
Mesh R-CNN
Arxiv
4+阅读 · 2019年6月6日
Conditional BERT Contextual Augmentation
Arxiv
8+阅读 · 2018年12月17日
Physical Primitive Decomposition
Arxiv
4+阅读 · 2018年9月13日
VIP会员
最新内容
人工智能在战场行动中的演进及伊朗案例
专知会员服务
2+阅读 · 今天13:08
美AI公司Anthropic推出网络安全模型“Mythos”
专知会员服务
2+阅读 · 今天12:58
【博士论文】面向城市环境的可解释计算机视觉
专知会员服务
0+阅读 · 今天12:57
大语言模型的自改进机制:技术综述与未来展望
专知会员服务
0+阅读 · 今天12:50
《第四代军事特种作战部队选拔与评估》
专知会员服务
1+阅读 · 今天6:23
相关VIP内容
【经典书】线性代数,352页pdf教你应该这样学
专知会员服务
107+阅读 · 2020年12月20日
【经典书】概率统计导论第五版,730页pdf
专知会员服务
250+阅读 · 2020年7月28日
【Java实现遗传算法】162页pdf,Genetic Algorithms in Java Basics
专知会员服务
44+阅读 · 2020年7月19日
【硬核书】不完全信息决策理论,467页pdf
专知会员服务
367+阅读 · 2020年6月24日
Python导论,476页pdf,现代Python计算
专知会员服务
266+阅读 · 2020年5月17日
【干货书】数值计算C编程,319页pdf,Numerical C
专知会员服务
72+阅读 · 2020年4月7日
机器学习速查手册,135页pdf
专知会员服务
345+阅读 · 2020年3月15日
相关资讯
机器学习领域必知必会的12种概率分布(附Python代码实现)
算法与数学之美
21+阅读 · 2019年10月18日
浅谈 EHT 黑洞照片拍摄原理
人工智能学家
3+阅读 · 2019年4月18日
人工智能离不开它——贝叶斯公式的前世今生
人工智能学家
3+阅读 · 2018年7月21日
TensorFlow: 薛定谔的管道
深度学习大讲堂
3+阅读 · 2018年6月13日
你知道量子计算吗?它超酷的!
微软研究院AI头条
4+阅读 · 2018年3月16日
神经网络理论基础及 Python 实现
Python开发者
6+阅读 · 2017年7月15日
相关论文
Arxiv
0+阅读 · 2021年2月2日
Arxiv
0+阅读 · 2021年1月31日
Multi-Grained Named Entity Recognition
Arxiv
6+阅读 · 2019年6月20日
Mesh R-CNN
Arxiv
4+阅读 · 2019年6月6日
Conditional BERT Contextual Augmentation
Arxiv
8+阅读 · 2018年12月17日
Physical Primitive Decomposition
Arxiv
4+阅读 · 2018年9月13日
Top
微信扫码咨询专知VIP会员