Gaussian YOLOv3:一个更强的YOLOv3,现已开源!

2019 年 10 月 28 日 CVer

在目标检测的落地项目中,实时性和精确性的trade-off至关重要,而YOLOv3是目前为止在这方面做得最好的算法。本文通过高斯分布的特性,改进YOLOv3使得网络能够输出每个检测框的不确定性,从而提升了网络的精度。


https://arxiv.org/abs/1904.04620

https://github.com/jwchoi384/Gaussian_YOLOv3


   YOLOv3


如上图(a)所示,为YOLOv3的网络架构。

  • YOLOv3使用了skip shotcut的操作方式网络过深而引起的梯度消散。

  • YOLOv3使用了up-sample操作,并将大特征图和小特征图upsample后的特征图进行concat,使网络能够拥有既包含丰富的高层抽象特征和精确的位置信息特征的融合特征层。

  • YOLOv3使用了特征金字塔结构,使得网络能够在三个不同的尺度特征下做目标检测,能够适应与多种不同大小的目标检测任务。


如上图(b)所示,为利用YOLOv3进行目标检测时的网络输出。


  • RGB3通道图像作为YOLOv3网络的输入,检测结果会在三个不同的尺度分别输出,包含了目标的坐标位置,目标是正样本还是负样本的概率,目标属于某个类别的置信度。对于每个尺度分支而言,在每个grid cell中会预测出三个结果(每个尺度下会有三个anchor)。将三个尺度的结果合并,进行非极大值抑制(NMS)后,输出最终的检测结果。


正如YOLOv3的输出结果所述,目标类别是有概率值的,但目标框只有位置而没有概率值,也就是从结果中无法预知当前目标框的可靠性。基于此,本文利用Gaussian模型来对网络输出进行建模,在基本不改变YOLOv3结构和计算量的情况下,能够输出每个预测框的可靠性,并且在算法总体性能上提升了3个点的MAP。

   Gaussian YOLOv3

如图所示,Gaussian YOLOv3通过增加网络的输出,和改进网络的损失函数,实现了对预测框可靠性的输出。


下图为源代码对比,从中我们可以看出,与原始的YOLOv3在坐标预测时输出4个维度不同,Gaussian YOLOv3在bounding box的坐标预测输出中包含了8个维度。
这八个维度相当于是预测框中心坐标和长宽,以及对应预测框的不确定性。作者将这些指建模为四个高斯分布,目标框的位置作为高斯分布的均值,对应的不确定性作为方差。如下图的比对代码所示,Gaussian YOLOv3通过预测每个坐标位置的不确定性,从而提升最终预测prob值的精确性。
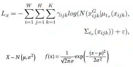
由于Gaussian YOLOv3的输出进行了调整,与之对应的损失函数的计算也会做相应的调整。与原始的YOLOv3相比,仅仅调整了预测框坐标位置的回归策略。如下代码对比所示,原始的YOLOv3进行box回归时,由于网络预测输出就是坐标本身,因此计算梯度时就利用了均方误差的方式。而由于Gaussian YOLOv3输出的是均值和方差,因此在计算梯度时就结合了高斯分布的策略。


Gaussian YOLOv3的损失函数如下:


   Gaussian YOLOv3与其他算法的结果比对


重磅!CVer-目标检测交流群已成立


扫码添加CVer助手,可申请加入CVer-目标检测、图像分割、目标跟踪、人脸检测&识别、OCR、姿态估计、超分辨率、SLAM、医疗影像、Re-ID、GAN、NAS、深度估计、自动驾驶、强化学习、车道线检测、模型剪枝&压缩、去噪&去雾&去雨等群。一定要备注:研究方向+地点+学校/公司+昵称(如目标检测+上海+上交+卡卡)

▲长按加群


▲长按关注我们

麻烦给我一个在看!

登录查看更多
0

相关内容

YOLO是快速的端到端的目标检测深度网络

知识荟萃

精品入门和进阶教程、论文和代码整理等

更多

查看相关VIP内容、论文、资讯等
Python分布式计算,171页pdf,Distributed Computing with Python
专知会员服务
108+阅读 · 2020年5月3日
【阿里巴巴-CVPR2020】频域学习,Learning in the Frequency Domain
【Nature论文】深度网络中的梯度下降复杂度控制
专知会员服务
41+阅读 · 2020年3月9日
专知会员服务
42+阅读 · 2020年2月20日
专知会员服务
27+阅读 · 2020年2月15日
进化历程详解:YOLOv1到YOLOv3
极市平台
31+阅读 · 2019年8月27日
FCOS: 最新的one-stage逐像素目标检测算法
极市平台
15+阅读 · 2019年4月14日
从YOLOv1到YOLOv3,目标检测的进化之路
AI100
9+阅读 · 2018年6月4日
Faster R-CNN
数据挖掘入门与实战
4+阅读 · 2018年4月20日
YOLO升级到v3版,检测速度比R-CNN快1000倍
人工智能头条
10+阅读 · 2018年3月28日
【下载】PyTorch 实现的YOLO v2目标检测算法
专知
15+阅读 · 2017年12月27日
Arxiv
8+阅读 · 2018年5月17日
Arxiv
5+阅读 · 2018年5月16日
Arxiv
8+阅读 · 2018年4月8日
Arxiv
7+阅读 · 2018年1月24日
VIP会员
最新内容
【CMU博士论文】迈向可解释机器学习的理论基础
专知会员服务
0+阅读 · 14分钟前
基于数据优化的人机协同与机器人僚机
专知会员服务
4+阅读 · 今天2:08
美陆军设想无人系统司令部
专知会员服务
3+阅读 · 4月15日
【博士论文】已对齐人工智能系统的持久脆弱性
相关资讯
进化历程详解:YOLOv1到YOLOv3
极市平台
31+阅读 · 2019年8月27日
FCOS: 最新的one-stage逐像素目标检测算法
极市平台
15+阅读 · 2019年4月14日
从YOLOv1到YOLOv3,目标检测的进化之路
AI100
9+阅读 · 2018年6月4日
Faster R-CNN
数据挖掘入门与实战
4+阅读 · 2018年4月20日
YOLO升级到v3版,检测速度比R-CNN快1000倍
人工智能头条
10+阅读 · 2018年3月28日
【下载】PyTorch 实现的YOLO v2目标检测算法
专知
15+阅读 · 2017年12月27日
Top
微信扫码咨询专知VIP会员