RBF-Softmax:让模型学到更具表达能力的类别表示

2020 年 9 月 26 日 AINLP

导读

这是一篇商汤科技的ECCV2020的论文,用一种非常优雅的方法解决了传统softmax在训练分类时的两个问题,并在多个数据集上取得了很好的效果,代码已开源。

RBF-Softmax: Learning Deep Representative Prototypes with Radial Basis Function Softmax

摘要

交叉熵是深度学习中非常常用的一种损失,通过交叉熵学到的特征表示会有比较大的类内的多样性。因为传统的softmax损失优化的是类内和类间的差异的最大化,也就是类内和类间的距离(logits)的差别的最大化,没有办法得到表示类别的向量表示来对类内距离进行正则化。之前的方法都是想办法增加类内的内聚性,而忽视了不同的类别之间的关系。本文提出了Radial Basis Function(RBF)距离来代替原来的softmax中的內积,这样可以自适应的给类内和类间距离施加正则化,可以得到更好的表示类别的向量,从而提高性能。

1. 介绍

在使用交叉熵损失进行分类的时候,一般我们会将样本通过一个卷积神经网络,得到样本的特征表示,然后再来决定样本的类别标签。确定类别标签的时候,我们先计算样本表示向量和表示类别的向量的距离,得到logits,一般来说,距离的度量方式包括內积,余弦以及欧式距离,都可以用来得到logits。在很多现有的方法中,得到的logits会进行softmax的归一化,得到每个类别的概率。

欧式距离是一种很常用的相似性度量方法,而且具有很清晰的几何意义。但是,现有的基于softmax的方法并不是直接去优化欧式距离,而是优化类内和类间的相对差别。对比损失和三元组损失则是直接去优化欧式距离,也得到了很好的效果,但是需要比较麻烦的样本挖掘方法,而且比较不容易收敛,所以,无法完全取代传统的softmax损失。

本文的贡献有:

1、讨论了传统的softmax的主要缺陷。

2、提出了RBF softmax的方法来解决传统softmax的问题。

3、通过实验证明了RBF softmax在分类上的有效性。

在mnist数据集中各种softmax的特征可视化如下:

2. 方法

2.1 softmax交叉熵损失以及Prototype的分析

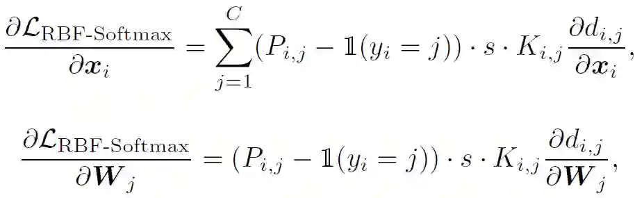
传统的softmax交叉熵损失的计算方式为:

其中,fij表示样本xi与类别特征Wj的相似度,当j=yi时,表示的就是xi与其对应的类别的特征Wj的相似度,也就是类内的sample-prototype距离,在文中我们叫做类内logit。对应的,j≠yi的时候,叫做类间logit。在度量相似度的时候,常常会用內积和欧式距离。

在softmax损失中,prototype可以看做是一个特定类别的所有样本的代表,直觉上,这个理想的prototype应该在该类别的所有样本的特征向量的几何中心上。因此,prototype需要非常显著的表达能力,包括两个方面:

1、Prototype应该具有显著的区别不同类别的样本的能力。类间的距离需要大于类内的距离。

2、Prototype应该可以显示出类别之间的关系,也就是说相似的类别应该比差别明显的类别靠的更近。

图2中描述了这两个方面:

图2,从a中可以看到,黑点是类别的prototype,各种颜色的圆点是样本的特征,相似的类别的特征和prototype是可分的,但是距离相比明显有区别的类别要更靠近一些。b是训练刚开始的阶段。c是训练的后期。

最后的特征分布非常依赖于使用的损失函数。softmax的logit的计算方法会导致两种缺陷。

训练的开始会有损失分配的偏差。因为刚开始训练的时候,特征xi和prototype Wyj并不能很好的表示他们之间的相似度,我们希望给样本的损失一些约束,以免受到离群点较大的负面影响。如图2(b)。表1显示了在训练开始的时候,样本的类内距离具有很大的多样性。最终,这种有偏差的损失分配会导致类别的prototype之间的显著的偏差,并影响真实的特征分布。

训练后期的大类内sample-prototype距离。在训练的后期,softmax也会有问题。如图2(c)所示,当一个样本的类间sample-prototype距离显著大于其类内的sample-prototype距离的时候,损失会很小,即便此时类内的logit很大。但是,我们希望能有个较大的loss来让这个样本可以更加靠近其类别的prototype。

2.2 RBF-Softmax损失函数

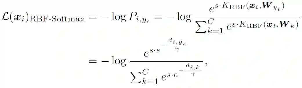
为了解决上面的两个问题,我们提出了一个距离,叫做Radial Basis Function kernel distance(RBF-score),用来度量xi和Wj之间的相似度:

其中,dij是xi和wj之间的欧式距离,γ是超参数。相比于无界的內积和欧式距离,RBF-score在欧式距离变大的时候会衰减,其值域是0到1,RBF-score很好的度量了xi和wj之间的相似度,可以用作softmax中的logit。我们这样定义RBF-Softmax:

其中,s是超参数,用来扩展RBF-score的尺度。

我们再看下RBF-Softmax是如何克服上面说的两个问题的。

刚开始训练的时候,我们需要平衡类内的logits,而开始的时候,类内的logits往往会比较大,我们通过RBF kernel可以将非常大的欧式距离映射成相对小的RBF-score,这样就显著的减小了类内的多样性。这样的话,训练的开始阶段,类内的偏差就会显著的变小。另一方面,在训练的后期,传统的softmax给出的概率很容易就可以到1,但是用了RBF的概率很难到1,这样可以持续的进行优化。

超参数的影响。我们看下不同的超参数γ,s对训练的影响,如下图。

图3(a)中,当γ变大的时候,RBF-score也会变大,样本及其对应的prototype的相似度也会变大,优化任务变得简单。图3(b)(c)显示了不同的s下将欧式距离和RBF-score映射到概率的表现。s控制了概率的范围以及分类任务的难易程度:对于固定的欧式距离和RBF-score,小的s导致了概率的狭窄的范围,使得分类任务变得困难。从梯度的角度也能得到相似的结论,RBF-score和s决定了梯度的大小。

3. 实验

3.1 Prototype的探索实验

图4显示了WordNet上的不同类别的prototype的相似度矩阵:

很明显,RBF-Softmax得到的相似度矩阵和WordNet的相似度矩阵更加类似。

表2显示了两种不同的指标:

3.2 MNIST上的探索实验

不同超参数下的准确率。

不同loss的准确率:

3.3 CIFAR-10/100上的实验

不同损失函数的准确率:

3.4 ImageNet的实验

  
  
    

说个正事哈



由于微信平台算法改版,公号内容将不再以时间排序展示,如果大家想第一时间看到我们的推送,强烈建议星标我们和给我们多点点【在看】。星标具体步骤为:

(1)点击页面最上方"AINLP",进入公众号主页。

(2)点击右上角的小点点,在弹出页面点击“设为星标”,就可以啦。

感谢支持,比心


欢迎加入AINLP技术交流群
进群请添加AINLP小助手微信 AINLPer(id: ainlper),备注NLP技术交流

推荐阅读

这个NLP工具,玩得根本停不下来

征稿启示| 200元稿费+5000DBC(价值20个小时GPU算力)

完结撒花!李宏毅老师深度学习与人类语言处理课程视频及课件(附下载)

从数据到模型,你可能需要1篇详实的pytorch踩坑指南

如何让Bert在finetune小数据集时更“稳”一点

模型压缩实践系列之——bert-of-theseus,一个非常亲民的bert压缩方法

文本自动摘要任务的“不完全”心得总结番外篇——submodular函数优化

Node2Vec 论文+代码笔记

模型压缩实践收尾篇——模型蒸馏以及其他一些技巧实践小结

中文命名实体识别工具(NER)哪家强?

学自然语言处理,其实更应该学好英语

斯坦福大学NLP组Python深度学习自然语言处理工具Stanza试用

关于AINLP

AINLP 是一个有趣有AI的自然语言处理社区,专注于 AI、NLP、机器学习、深度学习、推荐算法等相关技术的分享,主题包括文本摘要、智能问答、聊天机器人、机器翻译、自动生成、知识图谱、预训练模型、推荐系统、计算广告、招聘信息、求职经验分享等,欢迎关注!加技术交流群请添加AINLPer(id:ainlper),备注工作/研究方向+加群目的。


阅读至此了,分享、点赞、在看三选一吧🙏

登录查看更多
0

相关内容

[NeurIPS 2020] 球形嵌入的深度度量学习
专知会员服务
17+阅读 · 2020年11月8日
机器学习的可解释性
专知会员服务
180+阅读 · 2020年8月27日
【IJCAJ 2020】多通道神经网络 Multi-Channel Graph Neural Networks
专知会员服务
26+阅读 · 2020年7月19日
【MIT-ICML2020】图神经网络的泛化与表示的局限
专知会员服务
43+阅读 · 2020年6月23日
图神经网络表达能力的研究综述,41页pdf
专知会员服务
173+阅读 · 2020年3月10日
新加坡南洋理工最新37页《零样本学习综述》论文
专知会员服务
114+阅读 · 2019年10月20日
论文浅尝 | 多标签分类中的元学习
开放知识图谱
6+阅读 · 2019年9月25日
机器学习计算距离和相似度的方法
极市平台
10+阅读 · 2019年9月20日
CVPR 19系列2 | 强判别能力的深度人脸识别(文末附有源码)
BAT机器学习面试题1000题(331~335题)
七月在线实验室
12+阅读 · 2018年8月13日
机器学习(33)之局部线性嵌入(LLE)【降维】总结
机器学习算法与Python学习
7+阅读 · 2017年12月21日
特征工程的特征理解(一)
机器学习研究会
10+阅读 · 2017年10月23日
机器学习之确定最佳聚类数目的10种方法
炼数成金订阅号
13+阅读 · 2017年10月12日
开发 | 机器学习之确定最佳聚类数目的10种方法
AI科技评论
3+阅读 · 2017年10月11日
机器学习(19)之支持向量回归机
机器学习算法与Python学习
12+阅读 · 2017年10月3日
Arxiv
4+阅读 · 2018年3月22日
VIP会员
最新内容
BES:让语言模型通过双向进化搜索自我改进
专知会员服务
0+阅读 · 5月30日
以色列-美国-伊朗战争中的无人机:关键要点
专知会员服务
3+阅读 · 5月30日
《Palantir任务保障性软件安全标准(MA-S2)》
专知会员服务
7+阅读 · 5月30日
基于声学的无人机检测技术综述
专知会员服务
5+阅读 · 5月30日
《当代混合战争分析框架:俄乌战争经验教训》
战略前沿人工智能的再思考(中文)
专知会员服务
7+阅读 · 5月29日
《量化地基防空系统间接效应的博弈论方法》
专知会员服务
5+阅读 · 5月29日
相关VIP内容
相关资讯
论文浅尝 | 多标签分类中的元学习
开放知识图谱
6+阅读 · 2019年9月25日
机器学习计算距离和相似度的方法
极市平台
10+阅读 · 2019年9月20日
CVPR 19系列2 | 强判别能力的深度人脸识别(文末附有源码)
BAT机器学习面试题1000题(331~335题)
七月在线实验室
12+阅读 · 2018年8月13日
机器学习(33)之局部线性嵌入(LLE)【降维】总结
机器学习算法与Python学习
7+阅读 · 2017年12月21日
特征工程的特征理解(一)
机器学习研究会
10+阅读 · 2017年10月23日
机器学习之确定最佳聚类数目的10种方法
炼数成金订阅号
13+阅读 · 2017年10月12日
开发 | 机器学习之确定最佳聚类数目的10种方法
AI科技评论
3+阅读 · 2017年10月11日
机器学习(19)之支持向量回归机
机器学习算法与Python学习
12+阅读 · 2017年10月3日
Top
微信扫码咨询专知VIP会员