万字长文带你了解变分自编码器VAEs

2020 年 5 月 30 日 AINLP

全文共11450字,预计阅读时间30分钟。

原文标题:Understanding Variational Autoencoders (VAEs)

原文链接:https://towardsdatascience.com/understanding-variational-autoencoders-vaes-f70510919f73

原文作者:Joseph Rocca & Baptiste Rocca

最近比较关注文本生成任务,除了用到传统的seq2seq模型,还涉及到一些GAN和VAE的知识。这篇是看的资料里介绍VAE比较好的一篇文章,就翻译了一下,推荐给大家。昨天发送的版本有一些错漏,今天已经修正。并且加入了一些注释,方便大家理解。



  • 简介

    • 本文脉络

  • 降维,PCA和自编码器

    • 什么是降维?

    • 主成分分析(PCA)

    • 自编码器

  • 变分自编码器(VAE)

    • 自编码器用于内容生成的局限性

    • 变分自编码器的定义

    • 关于正则化的直观解释

  • VAE的数学细节

    • 概率框架和假设

    • 变分推理公式

    • 将神经网络引入模型

  • 总结


简介

在过去的几年中,由于一些惊人的进步,基于深度学习的生成模型越来越受到关注。依靠大量数据,精心设计的网络结构和训练技术,深度生成模型已经显示出了令人难以置信的能力,可以生成高度逼真的各种内容,例如图像,文本和声音。在这些深度生成模型中,有两个类别脱颖而出,值得特别关注:生成对抗网络(GAN)和变分自编码器(VAE)。

VAE生成的人脸图片

在今年1月发布的文章中,我们深入讨论了生成对抗网络(GANs),并展示了对抗训练如何对抗两个网络(生成器和鉴别器),以推动这两个网络同时迭代进步。在这篇文章中,我们将介绍另一种重要的深度生成模型:变分自编码器(VAE)。简而言之,VAE是一种自编码器,在训练过程中其编码分布是规范化的,以确保其在隐空间具有良好的特性,从而允许我们生成一些新数据。术语“变分”源自统计中的正则化和变分推理方法。

虽然最后两句话很好地概括了VAE的概念,但是它们也会引出很多问题。什么是自编码器?什么是隐空间,为什么要对其进行规范化?如何用VAE生成新数据?VAE与变分推理之间有什么联系?为了尽可能详细地描述VAE,我们将尝试回答所有这些问题(以及许多其他问题!),并为读者提供尽可能多的知识(从基本直觉到更高级的数学细节)。因此,本文的目的不仅是讨论变分自编码器所依赖的基本概念,而且还要逐步构建出这些概念的推理过程。

事不宜迟,让我们一起(重新)发现VAE!

本文脉络

在第一部分中,我们将回顾一些有关降维和自编码器的重要概念,这些概念将有助于理解VAE。在第二部分中,我们将说明为什么不能使用自编码器来生成新数据,并将介绍变分自编码器。它们是自编码器的规范化版本,使数据生成成为可能。在最后一节中,我们将基于变分推论对VAE进行更数学的描述。

注意:在最后一节中,我们试图使数学推导尽可能完整和清楚,以弥合直觉和方程之间的差距。但是,不想深入了解VAE数学细节的读者可以跳过本节,而不会影响对主要概念的理解。还要注意,在本文中,我们将大量使用以下符号:对于随机变量 ,我们将用 表示该随机变量的分布(或概率密度,取决于上下文)。

降维,PCA和自编码器

在这部分中,我们将从讨论与降维有关的一些概念开始。特别地,我们将简要回顾主成分分析(PCA)和自编码器,以展示这两种方法之间的相互关系。

什么是降维?

在机器学习中,降维是减少描述数据的特征数量的过程。可以通过选择(仅保留一些现有特征)或通过提取(基于旧特征组合来生成数量更少的新特征)来进行降维。降维在许多需要低维数据(数据可视化,数据存储,繁重的计算...)的场景中很有用。尽管有许多不同的降维方法,但是我们可以构建一个适用于大多数方法的总体框架。

首先,我们称编码器为从“旧特征”表示中产生“新特征”表示(通过选择或提取)的过程,然后将其逆过程称为解码。降维可以被理解为数据压缩,其中编码器压缩数据(从初始空间到编码空间,也称为隐空间,latent sapce),而解码器则用于解压缩。当然,根据初始数据分布、隐空间大小和编码器的选择,压缩可能是有损的,即一部分信息会在编码过程中丢失,并且在解码时无法恢复。

用编码器和解码器构建的降维过程。【蓝色的高维原始数据被编码器压缩到浅黄色的低维隐空间中,再由解码器解压缩。如果解码后的数据和原始数据相同(右上)则称为无损降维,否则为有损降维。】

降维算法的主要目的是在给定候选中找到最佳的编码器/解码器对。换句话说,对于给定一组可选的编码器和解码器,我们希望编码时保持信息量最大,从而在解码时具有尽可能小的重构误差。如果我们分别用 表示我们正在考虑的编码器和解码器,则降维问题可以表示为

其中

为输入数据 和编码-解码后数据 之间的重构误差。需要注意,在下面我们将用 表示数据数的个数, 表示初始(解码)空间的维数, 表示降维(编码)空间的维数。

主成分分析(PCA)

谈到降维,首先想到的方法就是主成分分析(PCA)。为了展示它如何符合我们刚刚描述的框架并建立与自编码器的联系,我们将对PCA的工作方式进行的简要的描述(忽略大部分细节)。

PCA的想法是构建 个新的独立特征,这些特征是 个旧特征的线性组合,并使得这些新特征所定义的子空间上的数据投影尽可能接近初始数据(就欧几里得距离而言)。换句话说,PCA寻找初始空间的最佳线性子空间(由新特征的正交基定义),以使投影到该子空间上的近似数据的误差尽可能小。

PCA是在寻找最佳子空间。【B为原始2为空间中的点,其坐标为(-0.4,-0.1),投影(降维)到黑色实线表示的子空间后为对应圆点,再解压缩之后的坐标是(-0.34,-0.2),与原始点并不重合。两点之间的距离便可理解为误差】

如果用我们前面定义的框架来描述,我们正在 矩阵族 中搜寻一个编码器(线性变换),该变换的各行是正交的(特征独立性);并且在 的矩阵族 中寻找一个的相应解码器。可以证明,与协方差特征矩阵的 个最大特征值(在范数上)相对应的单位特征向量是正交的(可以构造出正交的),并且组成了维度为 的最佳子空间,使得数据投影到该子空间的误差最小。因此,可以选择这 个特征向量作为我们的新特征,因此,降维问题可以转化为特征值/特征向量问题。此外,还可以推出,在这种情况下,解码器矩阵是编码器矩阵的转置。

PCA与我们的总体框架是兼容的。【本图的等式大家可以回顾一下SVD分解相关的知识】

自编码器

现在我们讨论自编码器,以及如何使用神经网络进行降维。自编码器的总体思路非常简单,主要包括用神经网络来作为编码器和解码器,并使用迭代优化学习最佳的编码-解码方案。因此,在每次迭代中,我们向自编码器结构(编码器后跟解码器)提供一些数据,我们将编码再解码后的输出与初始数据进行比较,并通过反向传播误差来更新网络的权重。

因此,直观地讲,整个自编码器结构(编码器+解码器)会构造出数据瓶颈(bottleneck),从而确保只有信息的主要部分可以通过瓶颈并进行重构。从我们的总体框架来看,考虑的编码器族 由编码器网络结构定义,考虑的解码器族 由解码器网络结构定义,而重构误差的减小则通过对编码器和解码器参数进行梯度下降来进行。

带有损失函数的自编码器。【编码器和解码器中间即为低维隐空间,通过利用图中的loss函数可以训练出最优的自编码器】

让我们首先假设编码器和解码器网络结构都只有一层且没有非线性(即考虑的是线性自编码器)。这样的编码器和解码器是简单的线性变换,可以用矩阵表示。在这种情况下,某种意义上,我们可以看到与PCA的明显的关联,就像PCA中一样,我们正在寻找最佳的线性子空间来投影数据,并且使信息损失尽可能少。用PCA获得的编码和解码矩阵自然地也是梯度下降所能得到的一种解决方案,但是我们应该指出,这不是唯一的解决方案。实际上,可以选择几组不同的基向量来描述相同的最佳子空间,因此,几个不同的编码器/解码器对都可以提供最小的重构误差。此外,与PCA不同,对于线性自编码器,我们最终获得的新特征不必是独立的(神经网络中没有正交性约束)。

线性自编码器和PCA的联系。【PCA和线性自编码器的目标是完全一致的,但两者得到的最佳子空间不必是相同的。图中蓝色为PCA得到的基,它们必然是正交的,但自编码器得到的基不一定是正交的。】

现在,让我们进一步假设编码器和解码器都是深度非线性网络的。在这种情况下,网络结构越复杂,自编码器就可以进行更多的降维,同时保持较低的重构损失。直观地讲,如果我们的编码器和解码器具有足够的自由度,则可以将任何初始维度减小为1。实际上,具有“无限大能力”的编码器理论上可以将我们的N个初始数据编码为1、2、3,…,最多N个(或更一般地说,为实轴上的N个整数),相关的解码器再进行逆变换,在这种过程中不会造成任何损失。

但是我们应该牢记两点。首先,在没有重建损失的情况下进行重要的降维通常会带来一个代价:隐空间中缺乏可解释和可利用的结构(缺乏规则性,lack of regularity)。其次,大多数时候,降维的最终目的不仅是减少数据的维数,而是要在减少维数的同时将数据主要的结构信息保留在简化的表示中。出于这两个原因,必须根据降维的最终目的来仔细控制和调整隐空间的大小和自编码器的“深度”(深度定义压缩的程度和质量)。

降维时希望保留主要信息。【图中对中间的原始9维数据进行了两种降维,左边为降到了1维生物性,这样丢失了很多信息;右边降到了生物性和飞行能力2个维度,丢失的信息大大减少】

变分自编码器(VAE)

到目前为止,我们已经讨论了降维问题,并介绍了自编码器,它们是可以通过梯度下降训练的编码器-解码器结构。现在,让我们考虑内容生成问题,看一下自编码器对此问题的局限性,并介绍变分自编码器。

自编码器用于内容生成的局限性

此时,自然会想到一个问题:“自编码器和内容生成之间的联系是什么?”。确实,一旦对自编码器进行了训练,我们既有编码器又有解码器,但是仍然没有办法来产生任何新内容。乍一看,我们可能会认为,如果隐空间足够规则(在训练过程中被编码器很好地“组织”了),我们可以从该隐空间中随机取一个点并将其解码以获得新的内容,就像生成对抗网络中的生成器一样。

我们可以通过解码从隐空间中随机采样的点来生成新数据。生成数据的质量取决于隐空间的规则性。【在生成任务中我们更关注解码器,生成器其实是训练过程中的辅助,就像GAN里的判别器一样】

但是,正如我们在上一节中讨论的那样,自编码器的隐空间的规则性是一个难点,它取决于初始空间中数据的分布、隐空间的大小和编码器的结构。因此,很难先验地确保编码器以与我们刚刚描述的生成过程兼容的方式智能地组织隐空间。

为了说明这一点,让我们再看一遍之前给出的示例,在该示例中,我们描述了一种强大的编码器和解码器,可以将任何N个初始训练数据放到实轴上(每个数据点都被编码为实值)并可以没有任何损失地解码。在这种情况下,自编码器的高自由度使得可以在没有信息损失的情况下进行编码和解码(尽管隐空间的维数较低)但会导致严重的过拟合,这意味着隐空间的某些点将在解码时给出无意义的内容。尽管这种精挑细选的一维例子太过极端,但可以注意到自编码器的隐空间规则性问题是普遍的,值得特别注意。

不规则的隐空间妨碍了我们用自编码器生成新数据。【图中展示了无限强自编码器的例子,虽然训练数据可以被无损失地压缩、重构,但在隐空间随机采样的点可能会解码出无意义的数据。】

进入隐空间的编码数据之间缺乏结构是很正常的。的确,在自编码器的训练任务中,没有什么东西保证能够得到这种结构:自编码器仅以尽可能少的损失为目标进行训练,而不管隐空间如何组织。因此,如果我们对架构的定义不小心,那么在训练过程中,网络很自然地会利用任何过拟合的可能性来尽可能地完成其任务……除非我们明确对其进行规范化!

变分自编码器的定义

因此,为了能够将我们的自编码器的解码器用于生成目的,我们必须确保隐空间足够规则。获得这种规律性的一种可能方案是在训练过程中引入显式的正规化(regularisation)。因此,正如我们在这篇文章的简介中提到的那样,变分自编码器可以定义为一种自编码器,其训练经过正规化以避免过度拟合,并确保隐空间具有能够进行数据生成过程的良好属性。

就像标准自编码器一样,变分自编码器是一种由编码器和解码器组成的结构,经过训练以使编码解码后的数据与初始数据之间的重构误差最小。但是,为了引入隐空间的某些正则化,我们对编码-解码过程进行了一些修改:我们不是将输入编码为隐空间中的单个点,而是将其编码为隐空间中的概率分布。然后对模型进行如下训练:

  • 首先,将输入编码为在隐空间上的分布;
  • 第二,从该分布中采样隐空间中的一个点;
  • 第三,对采样点进行解码并计算出重建误差;
  • 最后,重建误差通过网络反向传播。

自编码器(确定性)和变分自编码器(概率性)之间的差异。【变分自编码器把原始数据编码为隐空间中的分布,在解码时是从该分布中采样一个点来进行解码】

实践中,选择正态分布作为编码的分布,使得我们可以训练编码器来返回描述高斯分布的均值和协方差矩阵。将输入编码为具有一定方差而不是单个点的分布的原因是这样可以非常自然地表达隐空间规则化:编码器返回的分布被强制接近标准正态分布。在下一节中,我们将通过这种方式确保隐空间的局部和全局正则化(局部是由于方差控制,而全局是由于均值控制)。

因此,在训练VAE时最小化的损失函数由一个“重构项”(在最后一层)组成,“重构项”倾向于使编码解码方案尽可能地具有高性能,而一个“正则化项”(在隐层)通过使编码器返回的分布接近标准正态分布,来规范隐空间的组织。该正则化项为返回的分布与标准高斯之间的Kulback-Leibler散度[1],这将在下一节中进一步说明。我们可以注意到,两个高斯分布之间的Kullback-Leibler散度具有封闭形式,可以直接用两个分布的均值和协方差矩阵表示。

在变分自动编码器中,损失函数由一个重构项(优化编码-解码)和一个正则化项(使隐空间规则化)组成。【小提示,由于正态分布的概率密度函数是确定的,所以两个高斯分布的KL散度有解析形式】

译者注:KL散度又称为相对熵,其定义为 。这个概念很重要,不只是VAE,很多地方都会用到。

关于正则化的直观解释

为了使生成过程成为可能,我们期望隐空间具有规则性,这可以通过两个主要属性表示:连续性(continuity,隐空间中的两个相邻点解码后不应呈现两个完全不同的内容)和完整性(completeness,针对给定的分布,从隐空间采样的点在解码后应提供“有意义”的内容)。

不规范的隐空间vs规范的隐空间。不规范隐空间中临近的点解码后不相似(正方形和三角形),而且有的点无法解析出有意义的数据(紫色图形)】

VAE将输入编码为分布而不是点不足以确保连续性和完整性。如果没有明确定义的正则化项,则模型可以学习最小化其重构误差,从而“忽略”要返回一个分布,最终表现得几乎像普通自编码器一样(导致过度拟合)。具体地说,编码器可以返回具有微小方差的分布(往往是点分布,punctual distributions),或者返回具有巨大均值差异的分布(数据在隐空间中彼此相距很远)。在这两种情况下,返回分布的限制都没有取得效果,并且不满足连续性和/或完整性。

因此,为了避免这些影响,我们必须同时对协方差矩阵和编码器返回的分布均值进行正则化。实际上,通过强制分布接近标准正态分布(集中和简化)来完成此正则化。这样,我们要求协方差矩阵接近于单位阵,防止出现单点分布,并且均值接近于0,防止编码分布彼此相距太远。

必须对返回的VAE分布进行正则化,以获得具有良好属性的隐空间。

使用此正则化项,我们可以防止模型在隐空间中的编码相互远离,并鼓励尽可能多的返回分布发生“重叠”,从而满足预期的连续性和完整性条件。自然地,对于任何正则化项,都会以训练数据上更高的重建误差为代价。然而,可以调整重建误差和KL散度之间的权重,我们将在下一节中看到如何从形式推导中自然得出平衡的表达。

总结这一小节,我们可以观察到,通过正则化获得的连续性和完整性往往会在隐空间中编码的信息上产生“梯度”。例如,应将隐空间中位于来自不同训练数据的两个编码分布的均值的中间点应该被解码为提供第一个分布的数据和提供第二个分布的数据之间的某个数据。因为它可能在两种情况下被自编码器采样到【这句话有点绕,我理解是解码之前是从分布采样,所以可能会采样到这种“重叠区域”里的点,我们希望这种点解码出来会跟任意一种原始数据比较像】。

正则化倾向于在潜在空间中编码的信息上创建一个“梯度”。

注意:顺带一提,我们提到的第二个问题(网络使分布彼此远离)当规模变大时几乎与第一个潜在问题(网络趋向于返回单点分布)等效:在两种情况下,分布方差的差别都相对小于均值之间的差别。

VAE的数学细节

在上一节中,我们给出了以下直观的概述:VAE是将输入编码为分布而不是点的自编码器,并且其隐空间结构通过将编码器返回的分布约束为接近标准高斯而得以规范化。在本节中,我们将对VAE进行更数学的介绍,从而使我们可以更严格地证明正则化项的合理性。为此,我们将建立一个明确的概率框架,并将使用变分推理技术。

译者注:本文的前面部分写的是相当好的,但数学细节这块写得并不是特别清楚,我在这部分加了一些注释,读者也可以参考一些其他文章,比如《变分自编码器VAE:原来是这么一回事 | 附开源代码》[2]《变分自编码器介绍、推导及实现》[3]

概率框架和假设

让我们首先定义一个概率图形模型来描述我们的数据。我们用 表示代表我们的数据变量,并假定 是由未直接观察到的潜在变量 (编码表示,the encoded representation)生成的。因此,对于每个数据点,假定以下两个步骤生成过程:

  • 首先,从先验分布 中采样一个隐空间表示
  • 第二,按条件概率 采样数据

数据生成过程的概率图模型。

在这种概率模型下,我们可以重新定义编码器和解码器的概念。实际上,与考虑使用确定性编码器和解码器的简单自编码器不同,我们现在将考虑这两个对象的概率版本。自然地,“概率解码器”由 定义,描述由给定已编码变量到解码变量的分布,而“概率编码器”由 定义,描述根据原始变量给出编码变量的分布。

此时,我们已经注意到,在简单的自编码器中所缺乏的对隐空间的正则化自然出现在数据生成过程的定义中:我们假设隐空间中的编码表示 遵循先验分布 。另外,我们还可以回顾一下著名的贝叶斯定理,该定理在先验 ,似然性 和后验 之间建立联系

现在让我们假设 是标准的高斯分布, 是高斯分布,其均值由变量 的确定性函数 定义,并且协方差矩阵的形式为正常数 乘以单位矩阵 的。假定函数 属于记为 的函数族,对于 我们暂不指定。因此,我们有

现在,让我们考虑 。从理论上讲,我们知道 ,便可以使用贝叶斯定理来计算 :这是经典的贝叶斯推理问题[4]。但是,正如我们在前一篇文章中所讨论的那样,这种计算通常是棘手的(由于分母处的积分),需要使用诸如变分推理之类的近似技术。

注意:在这里我们提到的 都是高斯分布。因此,如果我们有 ,则意味着 也应遵循高斯分布,并且从理论上讲,我们可以“仅”尝试表示 的相对于 的均值和协方差矩阵。但是,实际上不满足此条件,因此我们需要使用近似算法(如变分推理),使该方法能够通用,并且对模型假设的某些更改更加健壮。

译者注:其实这里要得到的结论就是 不知道, 也不知道,所以 没法求

变分推理公式

在统计中,变分推论(VI)是一种近似复杂分布的技术。这个想法是要设置一个参数化的分布族(例如高斯族,其参数是均值和协方差),并在该族中寻找目标分布的最佳近似。该族中最好的对象是使给定的近似误差测量值最小化的元素(大多数情况下是近似分布与目标分布之间的Kullback-Leibler散度),并通过对该族的参数进行梯度下降来发现。有关更多详细信息,请参阅有关变分推理的文章[5]及其中的参考文献。

在这里,我们将通过高斯分布 来近似 ,其均值和协方差由参数 的两个函数 定义。这两个函数应该分别属于后面确定但可以参数化的函数族 。因此我们可以写出如下表示

译者注:这里的符号有点怪, 其实是 的意思,他是对 的近似,就是对特定x的z分布的近似(因为 无从得知)。

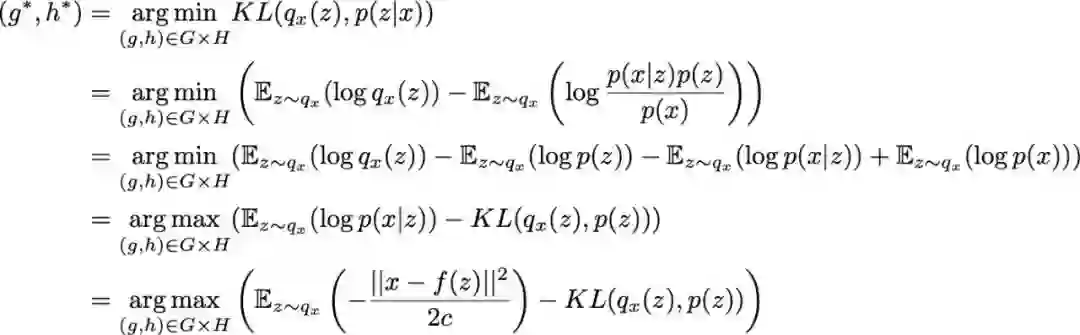
好了,我们已经以这种方式定义了一个变分推论的候选族,现在需要通过优化函数 (实际上是它们的参数)以最小化近似分布和真实分布 间的Kullback-Leibler散度,从而找到该族中的最佳近似。换句话说,我们正在寻找最优的 ,使得

译者注:这个图比较硬核。第一行是问题定义,也应该都能看懂;

第二行就是写了一下KL散度的公式再稍作变换,特别注意z都是从 这个分布采样的; 

第三行就是第二行的第二项用对数公式变换了一下;

第三行的最后一项其实是个常数,前两项合起来是 ,于是得到第四行; 

第五行是利用正态分布的定义得到的

在倒数第二个方程中,我们可以观察到在近似后验 时存在一个权衡点——最大化“观测”的可能性(第一项,【重构出的样本的】预期对数似然概率的最大)与接近先验分布(第二项, 之间的KL散度最小)。这种折衷对于贝叶斯推理问题是很自然的,体现了在数据的置信度与先验分布置信度之间的平衡。

到目前为止,如果假设函数 是已知且固定的,则我们可以使用变分推理技术来近似后验 。但是实际上,定义解码器的函数 是未知的,而且也需要求解。但我们最初的目标是找到一种性能良好的编码/解码方案,其隐空间又足够规则,可以用于生成目的。如果规则性主要由在隐空间上假定的先验分布所决定,则整个编码-解码方案的性能高度取决于函数 的选择。确实,由于 可以从 近似(通过变分推论),而 是简单的标准高斯模型,仅存的两个需要我们优化的对象是参数 (决定了分布的协方差)和函数 (决定了分布的均值)。

因此,让我们考虑一下,正如我们之前讨论的那样,对于 中的任何函数 (每个函数都定义一个不同的概率解码器 ),我们都可以得到 的最佳近似 。无论他的特性如何,但我们正在寻找一种尽可能高效的编码-解码方案,然后,当给定从 采样的 时,我们希望选择函数 使 的期望对数似然概率最大化。换句话说,对于给定的输入 ,当我们从分布 采样 然后从分布 采样 时,我们希望最大化 的概率。因此,我们正在寻找最优

其中 取决于函数 ,获得方法如前所属。将所有部分聚集在一起,我们正在寻找最优的 ,以便

我们可以在该目标函数中对应前面章节里对VAE的直观描述中引入的元素: 之间的重构误差以及 (它是标准的高斯分布)之间由KL散度给出的正则项。我们还可以注意到常数 ,它决定了前两个条件之间的平衡。 越高,我们对模型中的概率解码器假设 周围的方差就越大,我们也就越关注正则化项(如果 低,则相反)。

译者注:上面几段说了一大堆,其实就两个意思。

1、最优的fgh其实就要满足两个目标,一个是从近似出来的隐空间分布 中采样z然后解码,希望它能和原数据x比较像;第二个是这个 应该像一个标准正态分布。

2、这是符合我们之前“尽可能无损重构+正则项”的总体思路的

将神经网络引入模型

目前为止,我们已经建立了一个依赖于三个函数 的概率模型,并使用变分推理表示要解决的优化问题,以便获得能够给出最优值的 。此模型的编解码方案。由于我们无法轻松地在函数的整个空间上进行优化,因此我们限制了优化域,并决定将 用神经网络来定义。因此, 分别对应于网络体系结构定义的函数族,并且将对这些网络的参数进行优化。

实际上, 不是由两个完全独立的网络定义的,而是共享它们的一部分结构和权重,因此我们可以

因为它定义了 的协方差矩阵,所以 被假定为方阵。但是,为了简化计算并减少参数的数量,我们做出了额外的假设,即 的近似值 是具有对角协方差矩阵的多维高斯分布(变量独立性假设)。在此假设下, 只是协方差矩阵对角元素的向量,因此其大小与 相同。但是,我们以这种方式减少了我们用于变分推断的分布族,因此,对 的近似可能不太准确。

VAE的编码器部分

编码器对 建模时将均值和协方差均视关于为 的高斯函数,解码器则与之不同。我们的模型假设 具有固定的高斯协方差。函数 定义关于 的高斯分布均值, 由神经网络建模,可以表示如下

VAE的解码器部分

译者注:上面这几段比较简单,第一个重点是编码器获得均值和协方差的网络共享了一部分权重。第二个重点是协方差矩阵被简化为对角阵,也就是简化成了一维向量。这样,均值和方差就都可以用全连接网络来获得了。

然后,通过将编码器和解码器部分串联在一起,可以获得总体架构。但是,在训练过程中,我们仍然需要对从编码器返回的分布中进行采样非常小心。因为采样过程必须以允许误差通过网络反向传播。

译者注:我们的优化过程依赖从编码器获得的分布中采样 ,但其实采样操作是不可导的!

尽管有随机采样发生在模型的中间,但有一个简单的称为重参数化技巧(reparametrisation trick),使梯度下降成为可能。它利用以下事实:如果 是遵循均值 与协方差 的高斯分布的随机变量,则 可以表示为

译者注:这个技巧很巧妙,通过采样一个实系数来获得对高维向量的采样。这样整个过程就可导了。

reparametrisation示意图。【如果没有重采样技巧,我们需要从一个真实的分布中采样一个高维向量,这是不可导的;加入重采样技巧,我们将可以直接对均值和协方差向量进行反向传播】

最后,这种方式获得的变分式自编码器架构的目标函数由上一小节的最后一个方程式给出,其中理论期望由蒙特卡洛近似代替,该近似值在大多数情况下仅进行单次采样。因此,考虑这种近似并表示 ,我们可以获得上一节中直观得出的损失函数,该函数由一个重构项,一个正则项和一个常数来定义这两个项的相对权重。

变分自编码器的表示形式。【这就是完整的VAE网络,损失函数其实也很简单,我想大部分朋友应该都能够动手实现】

总结

本文的主要方法是:

  • 降维是减少描述某些数据的特征量的过程(通过仅选择初始特征的子集或通过将它们组合成数量更少的新特征),因此可以看作是编码过程
  • 自编码器是由编码器和解码器组成的神经网络体系结构,它们会创建瓶颈以处理数据,并经过训练以在编码-解码过程中损失最少的信息(通过梯度下降迭代进行训练,目的是减少重建错误)
  • 由于过度拟合,自编码器的隐空间可能极为不规则(隐空间中的临近点可能产生截然不同的解码数据,而且解码后,隐空间中的某些点可能产生无意义的内容),因此,我们无法定义了一个生成过程,该过程仅包含从隐空间中采样一个点,然后使其经过解码器以获取新数据
  • 变分自编码器(VAE)是自编码器,它通过使编码器返回隐空间中的分布而不是单个点,并在损失函数中添加一个对返回的分布的正则项来解决隐空间不规则性的问题,以确保更好地组织隐空间
  • 假设有一个简单的基本概率模型来描述我们的数据,则可以详细推导由重构项和正则项组成的非常直观的VAE损失函数,尤其是使用变分推理的统计技术(因此称为“变分”自编码器)

总而言之,在过去的几年中,GAN获得的关注远超过VAE。除其他原因外,与GAN对抗训练的简洁概念相比,VAE的理论基础(概率模型和变分推论)的复杂程度较高。希望我们能像今年早些时候为GAN所做的那样,通过本篇文章分享宝贵的直觉和强大的理论基础,以使VAE更易于新人使用。

总得来说VAE在理论层面还是比较复杂,欢迎大家关注我们的公众号和我们交流。

参考资料

[1]

KL散度: https://en.wikipedia.org/wiki/Kullback%E2%80%93Leibler_divergence

[2]

变分自编码器VAE:原来是这么一回事 | 附开源代码: https://zhuanlan.zhihu.com/p/34998569

[3]

变分自编码器介绍、推导及实现: https://zhuanlan.zhihu.com/p/83865427

[4]

贝叶斯推理问题: https://towardsdatascience.com/bayesian-inference-problem-mcmc-and-variational-inference-25a8aa9bce29

[5]

变分推理文章: https://towardsdatascience.com/bayesian-inference-problem-mcmc-and-variational-inference-25a8aa9bce29

推荐阅读

AINLP年度阅读收藏清单

模型压缩实践收尾篇——模型蒸馏以及其他一些技巧实践小结

中文命名实体识别工具(NER)哪家强?

学自然语言处理,其实更应该学好英语

斯坦福大学NLP组Python深度学习自然语言处理工具Stanza试用

太赞了!Springer面向公众开放电子书籍,附65本数学、编程、机器学习、深度学习、数据挖掘、数据科学等书籍链接及打包下载

数学之美中盛赞的 Michael Collins 教授,他的NLP课程要不要收藏?

自动作诗机&藏头诗生成器:五言、七言、绝句、律诗全了

模型压缩实践系列之——bert-of-theseus,一个非常亲民的bert压缩方法

这门斯坦福大学自然语言处理经典入门课,我放到B站了

征稿启示 | 稿费+GPU算力+星球嘉宾一个都不少

关于AINLP

AINLP 是一个有趣有AI的自然语言处理社区,专注于 AI、NLP、机器学习、深度学习、推荐算法等相关技术的分享,主题包括文本摘要、智能问答、聊天机器人、机器翻译、自动生成、知识图谱、预训练模型、推荐系统、计算广告、招聘信息、求职经验分享等,欢迎关注!加技术交流群请添加AINLPer(id:ainlper),备注工作/研究方向+加群目的。


登录查看更多
4

相关内容

自动编码器是一种人工神经网络,用于以无监督的方式学习有效的数据编码。自动编码器的目的是通过训练网络忽略信号“噪声”来学习一组数据的表示(编码),通常用于降维。与简化方面一起,学习了重构方面,在此,自动编码器尝试从简化编码中生成尽可能接近其原始输入的表示形式,从而得到其名称。基本模型存在几种变体,其目的是迫使学习的输入表示形式具有有用的属性。自动编码器可有效地解决许多应用问题,从面部识别到获取单词的语义。
机器学习速查手册,135页pdf
专知会员服务
345+阅读 · 2020年3月15日
专知会员服务
104+阅读 · 2020年3月12日
八篇NeurIPS 2019【图神经网络(GNN)】相关论文
专知会员服务
44+阅读 · 2020年1月10日
【新书】傻瓜式入门深度学习,371页pdf
专知会员服务
194+阅读 · 2019年12月28日
GANs最新综述论文: 生成式对抗网络及其变种如何有用
专知会员服务
72+阅读 · 2019年10月19日
神经网络与深度学习,复旦大学邱锡鹏老师
专知会员服务
123+阅读 · 2019年9月24日
关于GAN的灵魂七问
大数据文摘
4+阅读 · 2019年4月27日
已删除
将门创投
7+阅读 · 2018年4月18日
再谈变分自编码器VAE:从贝叶斯观点出发
PaperWeekly
13+阅读 · 2018年4月2日
【干货】深入理解变分自编码器
专知
21+阅读 · 2018年3月22日
探幽深度生成模型的两种方法:VAE和GAN
AI前线
15+阅读 · 2018年3月10日
【干货】一文读懂什么是变分自编码器
专知
12+阅读 · 2018年2月11日
在TensorFlow中对比两大生成模型:VAE与GAN
机器之心
12+阅读 · 2017年10月23日
A Survey of Deep Learning for Scientific Discovery
Arxiv
29+阅读 · 2020年3月26日
A Probe into Understanding GAN and VAE models
Arxiv
9+阅读 · 2018年12月13日
Meta-Learning with Latent Embedding Optimization
Arxiv
6+阅读 · 2018年7月16日
Arxiv
8+阅读 · 2018年5月21日
Arxiv
4+阅读 · 2018年4月10日
Arxiv
3+阅读 · 2017年7月6日
VIP会员
最新内容
战争机器学习:数据生态系统构建(155页)
专知会员服务
6+阅读 · 今天8:10
内省扩散语言模型
专知会员服务
5+阅读 · 4月14日
国外反无人机系统与技术动态
专知会员服务
3+阅读 · 4月14日
大规模作战行动中的战术作战评估(研究论文)
未来的海战无人自主系统
专知会员服务
3+阅读 · 4月14日
美军多域作战现状分析:战略、概念还是幻想?
无人机与反无人机系统(书籍)
专知会员服务
19+阅读 · 4月14日
美陆军2026条令:安全与机动支援
专知会员服务
9+阅读 · 4月14日
相关资讯
关于GAN的灵魂七问
大数据文摘
4+阅读 · 2019年4月27日
已删除
将门创投
7+阅读 · 2018年4月18日
再谈变分自编码器VAE:从贝叶斯观点出发
PaperWeekly
13+阅读 · 2018年4月2日
【干货】深入理解变分自编码器
专知
21+阅读 · 2018年3月22日
探幽深度生成模型的两种方法:VAE和GAN
AI前线
15+阅读 · 2018年3月10日
【干货】一文读懂什么是变分自编码器
专知
12+阅读 · 2018年2月11日
在TensorFlow中对比两大生成模型:VAE与GAN
机器之心
12+阅读 · 2017年10月23日
相关论文
Top
微信扫码咨询专知VIP会员