XLNET:换一个思路做预训练,效果杠杠滴

2020 年 12 月 9 日 深度学习自然语言处理

来自:NLP从入门到放弃

XLNET[1]里面的细节点有很多,重点掌握以下两点:

  1. AR和AE两种无监督预训练的优化目标
  2. 双流自注意力机制:为什么需要把位置信息和内容信息拆分

1. 无监督目标函数

在NLP中,无监督表示学习已经获得长足发展。一般的流程是先将模型在大量无标签数据上进行预训练,然后在具体的下游任务上进行微调。

一般来说,无监督预训练有两种目标函数很受重视:AR和AE。

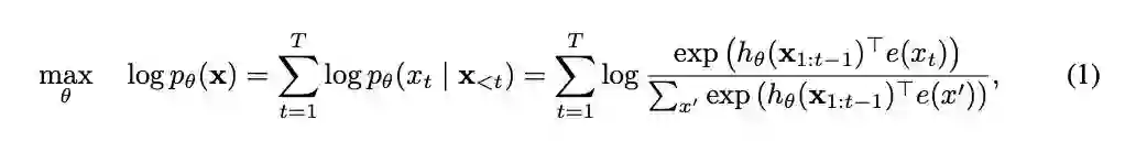
  1. AR,也就是autoregressive,我们称之为自回归模型;用 去预测 ,可以分为正向和反向,只能考虑单侧的信息,典型的就是GPT
  2. AE,也就是autoencoding,我们称之为自编码模型;从损坏的输入数据中预测重建原始数据。可以使用上下文的信息,Bert就是使用的AE;

AE模型能够看到句子中的更多的信息,这也是BERT在下游任务中表现很好的原因。

先来看一下优化目标,对于AR语言模型来说,它是基于概率的一个链式法则,优化如下:

AR优化目标

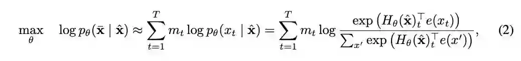
而AE模型,拿BERT举例,它的优化目标是是从损坏的输入数据中重建原始未被破坏的输入,优化目标如下:

BERT优化目标

举个简单的例子,原始输入为【我爱吃饭】,那么AR模型在做的时候,它的优化是P(我爱吃饭) = P(我)P(爱|我)P(吃|我爱)P(饭|我爱吃);

与之对应的,假设我们mask之后为【我爱mask mask】,那么BERT的优化目标是:P(我爱吃饭|我爱maskmask)=P(吃|我爱)P(饭|我爱);

根绝这两个例子,我们首先知道对于AR模型,它在优化的时候,只能看到单向信息。

对于AE模型,它可以看到双向信息,但是有一个问题就是,它认为mask之间相互独立,也就是上面例子中【吃】和【饭】是相互独立的。

很显然,这一点是错误的,【吃】和【饭】之间肯定是有联系的,但是BERT在预训练的时候并没有考虑这一点。

BERT还有一个缺点就是,在预训练的时候,是存在mask字符的,但是在微调的时候,也就是在我们的在具体任务上训练的时候,我们的输入是不存在mask字符的,造成了预训练和微调之间的gap;

AR(单向缺点)和BERT(mask缺点)都存在缺点,XLNET想办法解决了这两个问题。

2. Permutation Language Modeling

为了解决AR模型不能关联上下文信息,提出这个策略。

如果我们的序列x的长度为T,那么对于这个序列,我们有T!种排列方式。

比如说,原始排列为1,2,3,4;那么对它进行重排列,就有24中排列方式。

我们挑两种来看:1,2,3,4和1,4,3,2;

在这两种排列中,假设我们都处于预测第三个位置3的时刻,那么对于第一种,它能够看到的内容信息来自1和2,对于第二种排列方式,它能够看到的内容信息来自1和4。

这样一来,对于3 来说,它在训练之后,既看到了前面的信息1和2,又看到了后面的信息4。

通过这种方式,AR模型可以联系到上下文的信息。

但是如何做到输入序列进行重排序呢,使用TSSA;这样输入序列顺序不会发生变化,顺序的变化只是发生在内部;

3. Two-Stream Self-Attention

假设我们先把某个点的信息分为内容信息和位置信息,为啥这么分,看完例子就知道了。

先来一个简单的例子,句子序列:1,2,3,4;

如果要是预测3,那么需要做什么:

首先,我需要1和2的全部信息(包括它们内容信息和位置信息);其次需要看到3当前这个点的位置信息,确保知道预测的是哪一个位置,但是我不能看到3这点的内容信息,因为我要预测这个单词,不能做到标签信息的泄露。

如果要是预测4,那么需要做什么:

首先,我需要1,2,3的全部信息(包括它们的内容信息和位置信息),其次,我需要看到4当前这个点的位置信息;

好了,两个例子联合起来看,对于3这个点,有的时候我需要向4提供全部信息(包括内容信息和位置信息),有的时候我需要向自己提供位置信息(不能包含内容信息,防止造成标签的泄露);

这就是为什么需要将信息分为内容信息和位置信息,如果不分开,那么对外提供信息的时候就不能有效的隔离。

仔细琢磨这个例子,对照着这个例子,可以看一下下面这个图:

双流注意力

这个图,细节一点要注意,在计算位置信息的时候,QKV分别代表着什么?

这点需要大家仔细去看。

然后看c,在最后预测的时候我们使用的query stream,并没有使用content stream;这点需要注意;

4.其他细节

  1. 使用部分预测:句子预测起始阶段,上文信息较少,担心误差较大,所以只对句子后1/K的tokens被预测
  2. 使用Transformer-XL,用于处理长文本

5. 总结

说一下值得注意的点,主要就是双流自注意力机制这里很有意思,在初看图的时候很容易看混。

这么理解会更加的方便,对于同一个token,在预测自身的时候,它需要向外提供自己的位置信息,在预测别的单词的时候,它需要对外提供全部信息。

所以一个好办法就是把内容信息和位置信息分隔开对外提供。

参考资料

[1]

XLNet: Generalized Autoregressive Pretraining for Language Understanding: https://arxiv.org/abs/1906.08237,

登录查看更多
0

相关内容

在搭建网络模型时,需要随机初始化参数,然后开始训练网络,不断调整直到网络的损失越来越小。在训练的过程中,一开始初始化的参数会不断变化。当参数训练到比较好的时候就可以将训练模型的参数保存下来,以便训练好的模型可以在下次执行类似任务时获得较好的结果。
【AAAI2021】知识增强的视觉-语言预训练技术 ERNIE-ViL
专知会员服务
26+阅读 · 2021年1月29日
AAAI2021 | 学习预训练图神经网络
专知会员服务
116+阅读 · 2021年1月28日
最新《弱监督预训练语言模型微调》报告,52页ppt
专知会员服务
38+阅读 · 2020年12月26日
【NeurIPS 2020】融入BERT到并行序列模型
专知会员服务
26+阅读 · 2020年10月15日
【KDD2020-UCLA-微软】GPT-GNN:图神经网络的预训练
专知会员服务
63+阅读 · 2020年8月19日
【ICML2020】统一预训练伪掩码语言模型
专知会员服务
27+阅读 · 2020年7月23日
【ACL2020】端到端语音翻译的课程预训练
专知会员服务
6+阅读 · 2020年7月2日
8篇论文梳理BERT相关模型进展与反思 | MSRA出品
量子位
11+阅读 · 2019年9月15日
一文详解Google最新NLP模型XLNet
PaperWeekly
18+阅读 · 2019年7月1日
20项任务全面碾压BERT,全新XLNet预训练模型
机器学习算法与Python学习
15+阅读 · 2019年6月20日
BERT-预训练的强大
微信AI
61+阅读 · 2019年3月7日
通过预训练提升语言理解
开放知识图谱
4+阅读 · 2018年11月21日
Arxiv
3+阅读 · 2019年9月5日
Arxiv
6+阅读 · 2019年8月22日
Arxiv
11+阅读 · 2019年6月19日
How to Fine-Tune BERT for Text Classification?
Arxiv
13+阅读 · 2019年5月14日
Conditional BERT Contextual Augmentation
Arxiv
8+阅读 · 2018年12月17日
VIP会员
相关VIP内容
【AAAI2021】知识增强的视觉-语言预训练技术 ERNIE-ViL
专知会员服务
26+阅读 · 2021年1月29日
AAAI2021 | 学习预训练图神经网络
专知会员服务
116+阅读 · 2021年1月28日
最新《弱监督预训练语言模型微调》报告,52页ppt
专知会员服务
38+阅读 · 2020年12月26日
【NeurIPS 2020】融入BERT到并行序列模型
专知会员服务
26+阅读 · 2020年10月15日
【KDD2020-UCLA-微软】GPT-GNN:图神经网络的预训练
专知会员服务
63+阅读 · 2020年8月19日
【ICML2020】统一预训练伪掩码语言模型
专知会员服务
27+阅读 · 2020年7月23日
【ACL2020】端到端语音翻译的课程预训练
专知会员服务
6+阅读 · 2020年7月2日
相关资讯
8篇论文梳理BERT相关模型进展与反思 | MSRA出品
量子位
11+阅读 · 2019年9月15日
一文详解Google最新NLP模型XLNet
PaperWeekly
18+阅读 · 2019年7月1日
20项任务全面碾压BERT,全新XLNet预训练模型
机器学习算法与Python学习
15+阅读 · 2019年6月20日
BERT-预训练的强大
微信AI
61+阅读 · 2019年3月7日
通过预训练提升语言理解
开放知识图谱
4+阅读 · 2018年11月21日
相关论文
Top
微信扫码咨询专知VIP会员