【ICLR2022】UniFormer:无缝集成 Transformer,更高效的时空表征学习框架

2022 年 2 月 16 日 专知


来源:“上海人工智能实验室


对图像和视频上的表征学习而言,有两大痛点:局部冗余——视觉数据在局部空间、时间、时空邻域具有相似性,这种局部性质容易引入大量低效的计算;全局依赖——要实现准确的识别,需要动态地将不同区域中的目标关联,建模长时依赖。而现在的两大主流模型 CNN 和 ViT,往往只能解决部分问题。CNN 通过卷积有效降低了局部冗余,但受限的感受野难以建模全局依赖;而 ViT 凭借自注意力可捕获长距离依赖,但在浅层编码局部特征十分低效,导致过高冗余。

为能同时解决上述两大痛点,上海人工智能实验室联合商汤科技共同提出一种新的 UniFormer(Unified Transformer)框架, 它能够将卷积与自注意力的优点通过 Transformer 进行无缝集成。与经典的 Transformer 模块不同,UniFormer 模块的相关性聚合在浅层与深层分别配备了局部全局token,能够同时解决冗余与依赖问题,实现了高效的特征学习。包括 ICLR2022 接受的 video backbone,以及为下游密集预测任务设计的拓展版本,UniFormer 整套框架在各种任务上都能表现出比现有 SOTA 模型更好的性能。

论文标题:

UniFormer: Unified Transformer for Efficient Spatiotemporal Representation Learning

论文链接:

https://arxiv.org/abs/2201.04676

扩展版本:

https://www.zhuanzhi.ai/paper/8ee119122de9ee20679ec23ce65b230b

代码链接:

https://github.com/Sense-X/UniFormer


*UniFormer 性能提升

1、图像分类:在 Token Labeling 的加持下,仅靠 ImageNet-1K 训练,39GFLOPs 的 UniFormer-L-384 在 ImageNet 上实现了 86.3% 的 top-1 精度。

2、视频分类:仅用 ImageNet-1K 预训练,UniFormer-B 在 Kinetics-400 和 Kinetics-600 上分别取得了 82.9% 和 84.8% 的 top-1 精度(比使用 JFT-300M 预训练,相近性能的 ViViT 的 GFLOPs 少 16 倍)。在 Something-Something V1 和 V2 上分别取得 60.9%和 71.2% 的 top-1 精度,为同期模型的 SOTA。 

3、密集预测:仅用 ImageNet-1K 预训练,COCO 目标检测任务上取得了 53.8 的 box AP 与 46.4 的 mask AP;ADE20K 语义分割任务上取得了 50.8 的 mIoU;COCO 姿态估计任务上取得了 77.4 的 AP。后文将会介绍为下游任务设计的训练和测试时模型适配。

图1: 图像分类与视频分类任务性能比较(上方为 ImageNet 上 224x224 与 384x384 分辨率输入)


设计灵感


对图像和视频上的 representation learning 而言,目前存在两大痛点:

 Local Redundancy: 视觉数据在局部空间/时间/时空邻域具有相似性,这种局部性质容易引入大量低效的计算。

 Global Dependency: 要实现准确的识别,需要动态地将不同区域中的目标关联,建模长时依赖。

现有的两大主流模型 CNN 和 ViT,往往只关注解决以上部分问题。Convolution 只在局部小邻域聚合上下文,天然地避免了冗余的全局计算,但受限的感受也难以建模全局依赖。而 self-attention 通过比较全局相似度,自然将长距离目标关联,但通过如下可视化可以发现,ViT 在浅层编码局部特征十分低效。
图2: DeiT 可视化后,可以发现即便经过三层 self-attention,输出特征仍保留了较多的局部细节。 任选一个 token 作为 query,可视化 attention 矩阵可以发现,被关注的 token 集中在 3x3 邻域中(红色越深表示关注越多)

图3: TimeSformer 可视化后,同样可以发现即便是经过三层 self-attention,输出的每一帧特征仍保留了较多的局部细节。 任选一个 token 作为 query,可视化 spatial attention 和 temporal attention 矩阵都可以发现,被关注的 token 都只在局部邻域中(红色越深表示关注越多)。
无论是 spatial attention 抑或是 temporal attention,在 ViT 的浅层,都仅会倾向于关注 query token 的邻近 token。但是 attention 矩阵是通过全局 token 相似度计算得到的,这无疑带来了大量不必要的计算。相较而言,convolution 在提取这些浅层特征时,无论是在效果上还是计算量上都具有显著的优势。那么为何不针对网络不同层特征的差异,设计不同的特征学习算子,从而将 convolution 和 self-attention 有机地结合物尽其用呢?

本论文中提出的UniFormer (Unified transFormer),旨在以 Transformer 的风格,有机地统一 convolution 和 self-attention,发挥二者的优势,同时解决 local redundancy 和 global dependency 两大问题,从而实现高效的特征学习。


模型架构


图4:模型整体框架,标红维度仅对 video 输入作用,对 image 输入都可视作 1

模型整体框架如上图所示,借鉴了 CNN 的层次化设计,每层包含多个 Transformer 风格的 UniFormer block。


1、UniFormer block

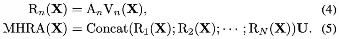
每个 UniFormer block 主要由三部分组成,动态位置编码 DPE、多头关系聚合器 MHRA 及 Transformer 必备的前馈层 FFN,其中最关键的为多头关系聚合器:


2、MHRA

与多头注意力相似,将关系聚合器设计为多头风格,每个头单独处理一组 channel 的信息。每组的 channel 先通过线性变换生成上下文 token  ,然后在 token affinity    的作用下,对上下文进行有机聚合。

基于前面的可视化观察,可以认为在网络的浅层,token affinity 应该仅关注局部邻域上下文,这与 convolution 的设计不谋而合。因此,将局部关系聚合   设计为可学的参数矩阵:


3、local MHRA

其中   为 anchor token,   为局部邻域   任一 token,   为可学参数矩阵,(i − j) 为二者相对位置,表明 token affinity 的值只与相对位置有关。这样 local UniFormer block 实际上与 MobileNet block 的设计风格相似,都是 PWConv-DWConv-PWConv(见原论文解析),不同的是研究引入了额外的位置编码以及前馈层,这种特别的结合形式有效地增强了 token 的特征表达。

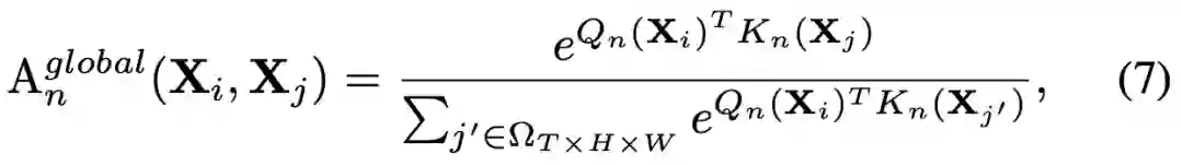
在网络的深层,需要对整个特征空间建立长时关系,这与 self-attention 的思想一致,因此,通过比较全局上下文相似度建立 token affinity:



4、global MHRA

其中   为不同的线性变换。先前的 video transformer,往往采用时空分离的注意力机制 ,以减少 video 输入带来的过量点积运算,但这种分离的操作无疑割裂了 token 的时空关联。相反,UniFormer 在网络的浅层采用 local MHRA 节省了冗余计算量,使得网络在深层可以轻松使用联合时空注意力,从而可以得到更具辨别性的 video 特征表达。再者,与以往 ViT 中使用绝对位置编码不同,这里采用卷积风格的动态位置编码,使得网络可以克服 permutation-invariance 的同时,对不同长度的输入更友好。

流行的 ViT 往往采用绝对或者相对位置编码 ,但绝对位置编码在面对更大分辨率的输入时,需要进行线性插值以及额外的参数微调,而相对位置编码对 self-attention 的形式进行了修改。为了适配不同分辨率输入的需要,采用了最近流行的卷积位置编码设计动态位置编码:



参考链接:https://mp.weixin.qq.com/s/2Pq93IgHmsGs9iE_PdE_Xg


专知便捷查看

便捷下载,请关注专知公众号(点击上方蓝色专知关注)

  • 后台回复“UFME” 就可以获取【ICLR2022】UniFormer:无缝集成 Transformer,更高效的时空表征学习框架》专知下载链接


专知,专业可信的人工智能知识分发 ,让认知协作更快更好!欢迎注册登录专知www.zhuanzhi.ai,获取70000+AI主题干货知识资料!

欢迎微信扫一扫加专知微信助手,获取最新AI专业干货知识教程资料和与专家交流咨询
点击“ 阅读原文 ”,了解使用 专知 ,查看获取70000+AI主题知识资源
登录查看更多
1

相关内容

【ICLR2022】GNN-LM基于全局信息的图神经网络语义理解模型
专知会员服务
39+阅读 · 2021年5月16日
【CVPR2021】基于Transformer的视频分割领域
专知会员服务
38+阅读 · 2021年4月16日
专知会员服务
110+阅读 · 2020年12月22日
近期必读的5篇 CVPR 2019【图卷积网络】相关论文和代码
专知会员服务
33+阅读 · 2020年1月10日
国家自然科学基金
1+阅读 · 2015年12月31日
国家自然科学基金
0+阅读 · 2014年12月31日
国家自然科学基金
0+阅读 · 2013年12月31日
国家自然科学基金
0+阅读 · 2013年12月31日
国家自然科学基金
1+阅读 · 2012年12月31日
国家自然科学基金
0+阅读 · 2012年12月31日
国家自然科学基金
2+阅读 · 2012年12月31日
国家自然科学基金
0+阅读 · 2011年12月31日
Arxiv
3+阅读 · 2022年4月19日
Arxiv
32+阅读 · 2021年3月29日
Arxiv
17+阅读 · 2021年3月29日
VIP会员
最新内容
美陆军设想无人系统司令部
专知会员服务
2+阅读 · 今天13:45
【博士论文】已对齐人工智能系统的持久脆弱性
专知会员服务
0+阅读 · 今天13:52
扭曲还是编造?视频大语言模型幻觉研究综述
专知会员服务
0+阅读 · 今天13:41
《采用系统思维应对混合战争》125页
专知会员服务
2+阅读 · 今天12:47
战争机器学习:数据生态系统构建(155页)
专知会员服务
6+阅读 · 今天8:10
内省扩散语言模型
专知会员服务
6+阅读 · 4月14日
国外反无人机系统与技术动态
专知会员服务
4+阅读 · 4月14日
相关VIP内容
【ICLR2022】GNN-LM基于全局信息的图神经网络语义理解模型
专知会员服务
39+阅读 · 2021年5月16日
【CVPR2021】基于Transformer的视频分割领域
专知会员服务
38+阅读 · 2021年4月16日
专知会员服务
110+阅读 · 2020年12月22日
近期必读的5篇 CVPR 2019【图卷积网络】相关论文和代码
专知会员服务
33+阅读 · 2020年1月10日
相关基金
国家自然科学基金
1+阅读 · 2015年12月31日
国家自然科学基金
0+阅读 · 2014年12月31日
国家自然科学基金
0+阅读 · 2013年12月31日
国家自然科学基金
0+阅读 · 2013年12月31日
国家自然科学基金
1+阅读 · 2012年12月31日
国家自然科学基金
0+阅读 · 2012年12月31日
国家自然科学基金
2+阅读 · 2012年12月31日
国家自然科学基金
0+阅读 · 2011年12月31日
Top
微信扫码咨询专知VIP会员