【速览】ICCV 2021 | 翻转卷帘快门相机:从卷帘快门图像恢复高帧率全局快门视频

2021 年 11 月 22 日 中国图象图形学学会CSIG
   


















会“成果速览”系列文章旨在将图像图形领域会议期刊重要成果进行传播,通过短篇文章让读者用母语快速了解相关学术动态,欢迎关注和投稿~










◆ ◆ ◆ ◆

翻转卷帘快门相机:从卷帘快门图像恢复高帧率全局快门视频

樊斌    , 戴玉超   
   西北工业大学电子信息学院
ICCV 2021
撰稿人: 樊斌,戴玉超

*通讯作者:戴玉超[email protected]

推荐理事:林宙辰
原文标题: Inverting a Rolling Shutter Camera: Bring Rolling Shutter Images to High Framerate Global Shutter Video
原文链接: https://openaccess.thecvf.com/content/ICCV2021/papers/Fan_Inverting_a_Rolling_Shutter_Camera_Bring_Rolling_Shutter_Images_to_ICCV_2021_paper.pdf
原文代码链接: https://github.com/GitCVfb/RSSR 









◆ ◆ ◆ ◆


论文动机

近几年,使用CMOS传感器的相机装置以其价格更便宜、功耗更低、帧速率更高等特点得到了广泛应用。尤其是,目前几乎市面上所有的消费级摄像机都使用CMOS传感器。CMOS相机大都采用卷帘式快门工作机制,通过逐行曝光的方式实现数据采集,不同行的像素点具有不同的曝光时间,同时也对应着不同的相机位姿。当相机在移动中对所处场景进行拍摄或者拍摄运动的物体时,得到的图像会出现图形倾斜、晃动、扭曲等卷帘快门效应。这不仅造成了摄影中成像质量的严重退化,而且使得大多数针对全局快门相机模型设计的三维视觉模型变得失效。

单张分辨率为H×W的卷帘快门图像可以被视为由h张连续的全局快门图像依次按行进行像素拼合形成的,其逆过程可以被看作从卷帘快门图像中提取出这些虚拟的全局快门图像序列,即实现卷帘快门图像时间超分辨(Rolling shutter temporal super-resolution, RSSR),比如从两张h=720像素高度的卷帘快门图像中恢复出1440张全局快门图像。同时卷帘快门图像校正和时间超分辨是极具挑战的一项任务,当前在深度学习框架下还远未能得以解决。

创新点
 

(1) 揭示了卷帘快门图像校正问题的内在几何性质,做出了三个理论贡献:a)在匀速运动模型下,建立了去除卷帘快门畸变的双向卷帘快门去畸变流;b)通过简单的缩放操作建立了连续帧之间的光流和对应于任意扫描线的去畸变流之间的几何联系;c)建立了对应于不同扫描线的不同去畸变流之间的相互转换方法。

(2) 通过将本文所建立的几何模型有机地融合到深度学习网络中,我们设计了第一个卷帘快门图像时间超分辨网络架构,可以从连续两帧卷帘快门图像中提取出对应于这两帧中任意时刻的全局快门图像。

(3) 所提方法不仅在卷帘快门校正和推理速度上都优于目前最先进的方法,而且可以恢复出高帧率、高质量的全局快门视频序列,这是目前基于深度学习的方法远不能及的。

相关工作
 

由于从单张卷帘快门图像进行畸变校正是一个严重的病态问题,本文主要关注于从两张连续的卷帘快门图像中恢复潜在的全局快门图像序列。为了这个目的,在基于几何模型的方法中,DiffSfM[1]使用微分建模提出了一种相机全运动估计方法,从而实现对第一帧中任意扫描线全局快门图像的恢复。但是,由于过于依赖初始光流估计和复杂的非线性优化,该方法的鲁棒性较差,计算效率较低。随后,DiffHomo[2]提出了一种基于平面假设的微分卷帘快门单应模型,可用于进行卷帘快门图像的拼接和校正。综上,它们都仅仅对前向卷帘快门几何进行建模,导致无法用于恢复对应第二帧扫描线的全局快门图像,而且该几何模型也无法直接有效地拓展至深度学习模型。在基于深度学习的方法中,当前最先进的DeepUnrollNet[3]使用连续两帧卷帘快门图像作为输入,设计了一个深度快门展开网络来仅仅预测一张与第二帧图像的中间行相对应的全局快门图像。最近提出的RSCD[4]可用于同时卷帘快门校正和去模糊,能够从输入的连续三帧模糊的卷帘快门图像中估计出一张清晰的全局快门图像。值得一提的是,它们都不具备恢复多张连续全局快门图像的能力。据我们所知,我们所提的方法是第一个用于学习从两张连续卷帘快门图像到全局快门视频的映射的深度学习模型。

方法描述

(1)卷帘快门几何建模

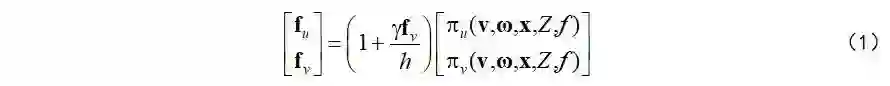
假设相机在成像过程中经历匀速运动   ,我们首先建立像素   (对应的深度为   )处的双向光流的数学模型:

这儿   为读出率(相比于[1],本文进一步拓展并证明了   为正可以建模前向卷帘快门几何,    为负则可以建模后向卷帘快门几何),   为相机焦距,

表示潜在的卷帘快门时空几何模型。消去式(1)中的垂直光流分量   ,可以进一步得到:

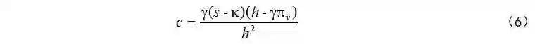
然后,为了得到将卷帘快门图像的第   扫描线的像素   变换至与第   扫描线所对应的全局快门图像的去畸变流,建立模型如下:

接下来,基于式(3)和(4),通过简单的缩放操作即可建立双向去畸变流和双向光流之间的几何关联方法:

这儿   是关联因子,即

注意:本文证明了将卷帘快门图像校正至第   扫描线(中间扫描线)时,   。

最后,基于式(4),我们提出了对应于扫描线   和   的卷帘快门去畸变流之间的相互转换方法:

式(7)仅包含简单的矩阵运算,可以确保较高的计算效率。而且,从式(7)可以看出去畸变流具有强烈的行依赖特性,如下图所示:不同于光流的各向同性分布,去畸变流的大小和方向均与待校正的目标扫描线紧密相关。

图 1 去畸变流与光流的可视化比较

综上,利用式(5)和(7)中建立的统一有效的几何模型和几何框架,可以为发展基于深度学习的卷帘快门图像时间超分辨方法提供理论支持。

(2)卷帘快门时间超分辨(RSSR)深度学习模型

如下图所示,所提出的级联式RSSR深度网络架构的大致流程为:基于PWC-Net的双向光流估计 → 基于UNet预测光流与对应于中间扫描线的去畸变流之间的关联图 → 显式计算与中间扫描线相对应的去畸变流 → 显式进行传播得到对应于任意扫描线的去畸变流 → 使用前向翘曲估计对应于任意扫描线的卷帘快门图像序列。所提的RSSR模型封装了潜在的卷帘快门时空几何模型,具有较好的可解释性。我们在训练阶段仅使用对应于中间扫描线的全局快门图像作监督,在测试阶段可以较为高效地泛化至估计对应于任意扫描线的全局快门图像,即实现卷帘快门图像时间超分辨。

图 2 RSSR的网络架构

实验结果

(1)定性结果 

图 3 与SOTA方法的定性比较结果

我们的方法恢复的全局快门图像具有更好的几何一致性。

(2)定量结果 

表 1 与SOTA方法的定量比较结果

(3)产生高帧率全局快门视频

图 4 恢复连续8张全局快门图像序列的可视化结果

图 5 恢复高帧率全局快门视频的动态结果

(4)与SOTA视频插帧方法和两阶段方法的对比

两阶段方法:先使用DeepUnrollNet[3]执行卷帘快门校正得到全局快门图像,再使用视频插帧方法:DAIN[5]得到全局快门视频。

图 6 与SOTA视频插帧和两阶段方法的比较结果

(5)计算效率

使用分辨率为640×480的图像在NVIDIA GeForce RTX 2080Ti GPU上进行测试

参考文献

[1] Zhuang B, Cheong L F, Hee Lee G. Rolling-shutter-aware differential sfm and image rectification. Proceedings of the International Conference on Computer Vision. 2017: 948-956.

[2] Zhuang B, Tran Q H. Image stitching and rectification for hand-held cameras. Proceedings of theEuropean Conference on Computer Vision. 2020: 243-260.

[3] Liu P, Cui Z, Larsson V, et al. Deep shutter unrolling network. Proceedings of the Conference on Computer Vision and Pattern Recognition. 2020: 5941-5949.

[4] Zhong Z, Zheng Y, Sato I. Towards Rolling Shutter Correction and Deblurring in Dynamic Scenes. Proceedings of the Conference on Computer Vision and Pattern Recognition. 2021: 9219-9228.

[5] Bao W, Lai W S, Ma C, et al. Depth-aware video frame interpolation. Proceedings of the Conference on Computer Vision and Pattern Recognition. 2019: 3703-3712.




关于第十一届国际图象图形学学术会议延期举办的通知
中国图象图形学学会关于组织开展科技成果鉴定的通知

CSIG图像图形中国行承办方征集中

登录查看更多
1

相关内容

戴玉超,男,西北工业大学电子信息学院教授、博士生导师,国家级青年人才。主要研究工作集中在机器视觉、智能感知、图像处理、人工智能等领域,特别是复杂动态场景的三维重建与感知、深度学习和几何模型融合的稠密匹配、新型仿生视觉传感器和计算成像等方面。主持国家自然科学基金面上项目、科技部科技创新2030“新一代人工智能”重大研究计划子课题等科研项目。近年来在IEEE TPAMI、IJCV、ICCV、CVPR、NeurIPS、ECCV等国际顶级期刊和会议上发表论文50余篇,谷歌学术引用超过4000次。先后获得IEEE CVPR 2012最佳论文奖(大陆高校30年来首次获得该奖项)、火箭军“智箭火眼”人工智能挑战赛“珠联璧合”科目全国第一名、IEEE CVPR 2020最佳论文提名奖、ECCV 2020鲁棒计算机视觉挑战赛双目深度估计赛道冠军和光流估计赛道亚军、DICTA DSTO图像处理最佳基础贡献论文奖、CVPR 2017非刚性结构与运动恢复挑战赛最佳算法奖、DICTA 2017最佳学生论文奖、亚太信号与信息处理协会2017年度峰会最佳深度学习/机器学习论文奖、陕西省优秀博士论文和陕西省科技进步二等奖等奖项。担任IEEE CVPR、IEEE ICCV、ACM MM等国际顶级会议领域主席,ACCV 2022 Publicit主席,中国图象图形学报青年编委。
专知会员服务
14+阅读 · 2021年9月17日
专知会员服务
43+阅读 · 2021年8月20日
专知会员服务
39+阅读 · 2021年3月29日
专知会员服务
18+阅读 · 2021年3月16日
【CVPR2020】时序分组注意力视频超分
专知会员服务
31+阅读 · 2020年7月1日
姿势服装随心换-CVPR2019
专知会员服务
36+阅读 · 2020年1月26日
【速览】ICCV 2021 | FedU: 如何从分布式数据中进行无监督表示学习?
中国图象图形学学会CSIG
1+阅读 · 2022年2月23日
2021 年,如何选购一台适合自己的微单相机
少数派
0+阅读 · 2021年11月8日
【速览】ICCV 2021丨Visual Saliency Transformer: 视觉显著性转换器
中国图象图形学学会CSIG
2+阅读 · 2021年10月20日
【速览】TPAMI丨泛化边缘保持和结构保持图像平滑模型
中国图象图形学学会CSIG
1+阅读 · 2021年10月15日
【动态】CSIG图像图形中国行在大连理工大学成功举办
中国图象图形学学会CSIG
0+阅读 · 2021年8月6日
最新开源 RGBD+IMU数据集:FMDataset
计算机视觉life
42+阅读 · 2019年9月21日
国家自然科学基金
0+阅读 · 2014年12月31日
国家自然科学基金
2+阅读 · 2014年12月31日
国家自然科学基金
0+阅读 · 2013年12月31日
国家自然科学基金
0+阅读 · 2013年12月31日
国家自然科学基金
1+阅读 · 2013年12月31日
国家自然科学基金
2+阅读 · 2012年12月31日
国家自然科学基金
0+阅读 · 2012年12月31日
国家自然科学基金
0+阅读 · 2012年12月31日
国家自然科学基金
0+阅读 · 2012年12月31日
国家自然科学基金
0+阅读 · 2011年12月31日
Arxiv
0+阅读 · 2022年4月20日
Arxiv
0+阅读 · 2022年4月19日
Arxiv
0+阅读 · 2022年4月16日
Arxiv
11+阅读 · 2018年5月13日
VIP会员
最新内容
美军MAVEN项目全面解析:算法战架构
专知会员服务
8+阅读 · 今天8:36
从俄乌战场看“马赛克战”(万字长文)
专知会员服务
6+阅读 · 今天8:19
最新“指挥控制”领域出版物合集(16份)
专知会员服务
13+阅读 · 4月12日
面向军事作战需求开发的人工智能(RAIMOND)
专知会员服务
19+阅读 · 4月12日
远程空中优势:新一代超视距导弹的兴起
专知会员服务
4+阅读 · 4月12日
大语言模型溯因推理的统一分类学与综述
专知会员服务
5+阅读 · 4月12日
相关VIP内容
专知会员服务
14+阅读 · 2021年9月17日
专知会员服务
43+阅读 · 2021年8月20日
专知会员服务
39+阅读 · 2021年3月29日
专知会员服务
18+阅读 · 2021年3月16日
【CVPR2020】时序分组注意力视频超分
专知会员服务
31+阅读 · 2020年7月1日
姿势服装随心换-CVPR2019
专知会员服务
36+阅读 · 2020年1月26日
相关资讯
【速览】ICCV 2021 | FedU: 如何从分布式数据中进行无监督表示学习?
中国图象图形学学会CSIG
1+阅读 · 2022年2月23日
2021 年,如何选购一台适合自己的微单相机
少数派
0+阅读 · 2021年11月8日
【速览】ICCV 2021丨Visual Saliency Transformer: 视觉显著性转换器
中国图象图形学学会CSIG
2+阅读 · 2021年10月20日
【速览】TPAMI丨泛化边缘保持和结构保持图像平滑模型
中国图象图形学学会CSIG
1+阅读 · 2021年10月15日
【动态】CSIG图像图形中国行在大连理工大学成功举办
中国图象图形学学会CSIG
0+阅读 · 2021年8月6日
最新开源 RGBD+IMU数据集:FMDataset
计算机视觉life
42+阅读 · 2019年9月21日
相关基金
国家自然科学基金
0+阅读 · 2014年12月31日
国家自然科学基金
2+阅读 · 2014年12月31日
国家自然科学基金
0+阅读 · 2013年12月31日
国家自然科学基金
0+阅读 · 2013年12月31日
国家自然科学基金
1+阅读 · 2013年12月31日
国家自然科学基金
2+阅读 · 2012年12月31日
国家自然科学基金
0+阅读 · 2012年12月31日
国家自然科学基金
0+阅读 · 2012年12月31日
国家自然科学基金
0+阅读 · 2012年12月31日
国家自然科学基金
0+阅读 · 2011年12月31日
Top
微信扫码咨询专知VIP会员