BAT机器学习面试1000题系列(第56~60题)

2017 年 10 月 9 日 七月在线实验室 七月在线

(点击上方公众号,快速关注一起学AI)



56.简述什么是生成对抗网络


GAN之所以是对抗的,是因为GAN的内部是竞争关系,一方叫generator,它的主要工作是生成图片,并且尽量使得其看上去是来自于训练样本的。另一方是discriminator,其目标是判断输入图片是否属于真实训练样本。
    更直白的讲,将generator想象成假币制造商,而discriminator是警察。generator目的是尽可能把假币造的跟真的一样,从而能够骗过discriminator,即生成样本并使它看上去好像来自于真实训练样本一样。


如下图中的左右两个场景:


更多请点文末阅读原文参见课程:《生成对抗网络班》。


57.说说共轭梯度法


    @wtq1993,http://blog.csdn.net/wtq1993/article/details/51607040
    共轭梯度法是介于梯度下降法(最速下降法)与牛顿法之间的一个方法,它仅需利用一阶导数信息,但克服了梯度下降法收敛慢的缺点,又避免了牛顿法需要存储和计算Hesse矩阵并求逆的缺点,共轭梯度法不仅是解决大型线性方程组最有用的方法之一,也是解大型非线性最优化最有效的算法之一。在各种优化算法中,共轭梯度法是非常重要的一种。其优点是所需存储量小,具有逐步收敛性,稳定性高,而且不需要任何外来参数。

    下图为共轭梯度法和梯度下降法搜索最优解的路径对比示意图:

注:绿色为梯度下降法,红色代表共轭梯度法


58. 对所有优化问题来说, 有没有可能找到比現在已知算法更好的算法?


@抽象猴,来源:

https://www.zhihu.com/question/41233373/answer/145404190
没有免费的午餐定理:
对于训练样本(黑点),不同的算法A/B在不同的测试样本(白点)中有不同的表现,这表示:对于一个学习算法A,若它在某些问题上比学习算法 B更好,则必然存在一些问题,在那里B比A好。
也就是说:对于所有问题,无论学习算法A多聪明,学习算法 B多笨拙,它们的期望性能相同。
但是:没有免费午餐定力假设所有问题出现几率相同,实际应用中,不同的场景,会有不同的问题分布,所以,在优化算法时,针对具体问题进行分析,是算法优化的核心所在。


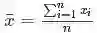
59.什么最小二乘法?


  1. 我们口头中经常说:一般来说,平均来说。如平均来说,不吸烟的健康优于吸烟者,之所以要加“平均”二字,是因为凡事皆有例外,总存在某个特别的人他吸烟但由于经常锻炼所以他的健康状况可能会优于他身边不吸烟的朋友。而最小二乘法的一个最简单的例子便是算术平均。

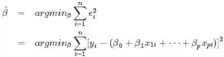
        最小二乘法(又称最小平方法)是一种数学优化技术。它通过最小化误差的平方和寻找数据的最佳函数匹配。利用最小二乘法可以简便地求得未知的数据,并使得这些求得的数据与实际数据之间误差的平方和为最小。用函数表示为:

      使误差「所谓误差,当然是观察值与实际真实值的差量」平方和达到最小以寻求估计值的方法,就叫做最小二乘法,用最小二乘法得到的估计,叫做最小二乘估计。当然,取平方和作为目标函数只是众多可取的方法之一。

       最小二乘法的一般形式可表示为:


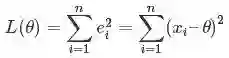
        有效的最小二乘法是勒让德在 1805 年发表的,基本思想就是认为测量中有误差,所以所有方程的累积误差为


        我们求解出导致累积误差最小的参数即可:



        勒让德在论文中对最小二乘法的优良性做了几点说明:

        对于最后一点,从统计学的角度来看是很重要的一个性质。推理如下:假设真值为  θ,  x1,⋯,xn为n次测量值, 每次测量的误差为 ei=xi−θ,按最小二乘法,误差累积为



        求解 使达到最小,正好是算术平均

        由于算术平均是一个历经考验的方法,而以上的推理说明,算术平均是最小二乘的一个特例,所以从另一个角度说明了最小二乘方法的优良性,使我们对最小二乘法更加有信心。

        最小二乘法发表之后很快得到了大家的认可接受,并迅速的在数据分析实践中被广泛使用。不过历史上又有人把最小二乘法的发明归功于高斯,这又是怎么一回事呢。高斯在1809年也发表了最小二乘法,并且声称自己已经使用这个方法多年。高斯发明了小行星定位的数学方法,并在数据分析中使用最小二乘方法进行计算,准确的预测了谷神星的位置。
    对了,最小二乘法跟SVM有什么联系呢?请参见《支持向量机通俗导论(理解SVM的三层境界)》。

    •  最小二乘使得误差平方和最小,并在各个方程的误差之间建立了一种平衡,从而防止某一个极端误差取得支配地位

    •  计算中只要求偏导后求解线性方程组,计算过程明确便捷

    • 最小二乘可以导出算术平均值作为估计值


    60.看你T恤上印着:人生苦短,我用Python,你可否说说Python到底是什么样的语言?你可以比较其他技术或者语言来回答你的问题。


    @David 9,http://nooverfit.com/wp/15%E4%B8%AA%E9%87%8D%E8%A6%81python%E9%9D%A2%E8%AF%95%E9%A2%98-%E6%B5%8B%E6%B5%8B%E4%BD%A0%E9%80%82%E4%B8%8D%E9%80%82%E5%90%88%E5%81%9Apython%EF%BC%9F/ 

    这里是一些关键点:Python是解释型语言。这意味着不像C和其他语言,Python运行前不需要编译。其他解释型语言包括PHP和Ruby。

    @July:Python目前早已成为AI时代的第一语言,为帮助大家更好的学习Python语言、数据分析、爬虫等相关知识,七月在线特开一系列Python课程,有需要的亲们可以看下,比如《Python数据分析集训营》。

      • Python是动态类型的,这意味着你不需要在声明变量时指定类型。你可以先定义x=111,然后 x=”I’m a string”。

      • Python是面向对象语言,所有允许定义类并且可以继承和组合。Python没有访问访问标识如在C++中的publicprivate, 这就非常信任程序员的素质,相信每个程序员都是“成人”了~

      • 在Python中,函数是一等公民。这就意味着它们可以被赋值,从其他函数返回值,并且传递函数对象。类不是一等公民。

      • 写Python代码很快,但是跑起来会比编译型语言慢。幸运的是,Python允许使用C扩展写程序,所以瓶颈可以得到处理。Numpy库就是一个很好例子,因为很多代码不是Python直接写的,所以运行很快。

      • Python使用场景很多 – web应用开发、大数据应用、数据科学、人工智能等等。它也经常被看做“胶水”语言,使得不同语言间可以衔接上。

      • Python能够简化工作  ,使得程序员能够关心如何重写代码而不是详细看一遍底层实现。




有好的见解或者面试题目欢迎在评论区留言,一起交流探讨。

欢迎转发,让更多小伙伴受益!


往期题目:

BAT机器学习面试1000题系列(第1~10题)

BAT机器学习面试1000题系列(第11~20题)

BAT机器学习面试1000题系列(第21~30题)

BAT机器学习面试1000题系列(第31~35题)

BAT机器学习面试1000题系列(第36~40题)

BAT机器学习面试1000题系列(第41~45题)

BAT机器学习面试1000题系列(第46~50题)

BAT机器学习面试1000题系列(第51~55题)


登录查看更多
0

相关内容

最新《自动微分手册》77页pdf
专知会员服务
104+阅读 · 2020年6月6日
打怪升级!2020机器学习工程师技术路线图
专知会员服务
99+阅读 · 2020年6月3日
少标签数据学习,54页ppt
专知会员服务
205+阅读 · 2020年5月22日
机器学习速查手册,135页pdf
专知会员服务
345+阅读 · 2020年3月15日
麻省理工学院MIT-ICLR2020《神经网络能推断出什么?》
专知会员服务
51+阅读 · 2020年2月19日
【机器学习课程】Google机器学习速成课程
专知会员服务
171+阅读 · 2019年12月2日
BAT机器学习面试1000题(721~725题)
七月在线实验室
11+阅读 · 2018年12月18日
BAT机器学习面试题1000题(331~335题)
七月在线实验室
12+阅读 · 2018年8月13日
BAT题库 | 机器学习面试1000题系列(第226~230题)
七月在线实验室
9+阅读 · 2017年11月27日
BAT题库 | 机器学习面试1000题系列(第211~215题)
七月在线实验室
9+阅读 · 2017年11月22日
BAT题库 | 机器学习面试1000题系列(第196~200题)
七月在线实验室
17+阅读 · 2017年11月16日
BAT题库 | 机器学习面试1000题系列(第191~195题)
七月在线实验室
6+阅读 · 2017年11月15日
BAT机器学习面试1000题系列(第116~120题)
七月在线实验室
16+阅读 · 2017年10月24日
BAT机器学习面试1000题系列(第76~80题)
七月在线实验室
5+阅读 · 2017年10月13日
BAT机器学习面试1000题系列(第51~55题)
七月在线实验室
10+阅读 · 2017年10月8日
BAT机器学习面试1000题系列(第36~40题)
七月在线实验室
8+阅读 · 2017年10月3日
Bivariate Beta LSTM
Arxiv
6+阅读 · 2019年10月7日
Arxiv
5+阅读 · 2018年5月21日
Arxiv
7+阅读 · 2018年3月12日
Arxiv
4+阅读 · 2018年2月19日
VIP会员
最新内容
美陆军设想无人系统司令部
专知会员服务
2+阅读 · 4月15日
【博士论文】已对齐人工智能系统的持久脆弱性
扭曲还是编造?视频大语言模型幻觉研究综述
专知会员服务
0+阅读 · 4月15日
《采用系统思维应对混合战争》125页
专知会员服务
2+阅读 · 4月15日
战争机器学习:数据生态系统构建(155页)
专知会员服务
7+阅读 · 4月15日
内省扩散语言模型
专知会员服务
6+阅读 · 4月14日
国外反无人机系统与技术动态
专知会员服务
4+阅读 · 4月14日
相关VIP内容
最新《自动微分手册》77页pdf
专知会员服务
104+阅读 · 2020年6月6日
打怪升级!2020机器学习工程师技术路线图
专知会员服务
99+阅读 · 2020年6月3日
少标签数据学习,54页ppt
专知会员服务
205+阅读 · 2020年5月22日
机器学习速查手册,135页pdf
专知会员服务
345+阅读 · 2020年3月15日
麻省理工学院MIT-ICLR2020《神经网络能推断出什么?》
专知会员服务
51+阅读 · 2020年2月19日
【机器学习课程】Google机器学习速成课程
专知会员服务
171+阅读 · 2019年12月2日
相关资讯
BAT机器学习面试1000题(721~725题)
七月在线实验室
11+阅读 · 2018年12月18日
BAT机器学习面试题1000题(331~335题)
七月在线实验室
12+阅读 · 2018年8月13日
BAT题库 | 机器学习面试1000题系列(第226~230题)
七月在线实验室
9+阅读 · 2017年11月27日
BAT题库 | 机器学习面试1000题系列(第211~215题)
七月在线实验室
9+阅读 · 2017年11月22日
BAT题库 | 机器学习面试1000题系列(第196~200题)
七月在线实验室
17+阅读 · 2017年11月16日
BAT题库 | 机器学习面试1000题系列(第191~195题)
七月在线实验室
6+阅读 · 2017年11月15日
BAT机器学习面试1000题系列(第116~120题)
七月在线实验室
16+阅读 · 2017年10月24日
BAT机器学习面试1000题系列(第76~80题)
七月在线实验室
5+阅读 · 2017年10月13日
BAT机器学习面试1000题系列(第51~55题)
七月在线实验室
10+阅读 · 2017年10月8日
BAT机器学习面试1000题系列(第36~40题)
七月在线实验室
8+阅读 · 2017年10月3日
相关论文
Bivariate Beta LSTM
Arxiv
6+阅读 · 2019年10月7日
Arxiv
5+阅读 · 2018年5月21日
Arxiv
7+阅读 · 2018年3月12日
Arxiv
4+阅读 · 2018年2月19日
Top
微信扫码咨询专知VIP会员