GitHub 标星 2.5K+,U^2-Net 跨界肖像画,完美复刻人物细节!

2020 年 11 月 30 日 CSDN
来源 | Jack Cui
头图 | CSDN下载自视觉中国
今年提出的 U^2-Net 显著性检测算法,刷爆了 reddit 和 twitter,号称是 2020 年「地表最强」的静态背景分割算法,可以看下效果:
你以为今天要讲分割?错!
U^2-Net 这两天又出新活,在 U^2-Net 网络架构基础上,实现了人物肖像画的生成,细节「完美」复刻。
我用自己的「歪脖子照」测试了下效果。
万年不变老规矩,继续手把手教学。
算法原理、环境搭建、效果实现,一条龙服务,尽在下文!

U^2-Net

受 U-Net 网络的启发,U^2-Net 也是一种类似编码-解码(Encoder-Decoder)的网络结构。
研究者在此基础上,提出了新型残差 U-block(ReSidual U-block, RSU),融合不同尺寸接受野的特征,以捕获更多不同尺度的上下文信息。
RSU 网络与现有卷积块的结构对比如下:
最右边的结构,就是 RSU-L,L 表示编码器中的层数,C_in、C_out 分别表示输入和输出通道,M 表示 RSU 内层通道数。
具体而言,RSU 主要有三个组成部件,分别是一个输入卷积层、一个高度为 L 的类 U-Net 对称编码器 - 解码器结构以及一个通过求和来融合局部和多尺度特征的残差连接。
为了更好地理解设计理念,研究者在下图中对 RSU 与原始残差块进行了比较。
结果显示,RSU 与原始残差块的最大区别在于 RSU 通过一个类 U-Net 的结构替换普通单流卷积,并且通过一个由权重层转换的局部特征替换原始特征。
更值得注意的是,得益于 U 形结构,RSU 的计算开销相对较少,因为大多数运算在下采样特征图中应用。下图展示了 RSU 与其他特征提取模块的计算成本曲线图:
U^2-Net 的整体网络架构如下:
U^2-Net 主要由三部分组成:
  • 6 阶段编码器;
  • 5 阶段解码器;
  • 与解码器阶段和最后编码器阶段相连接的显著图融合模块。
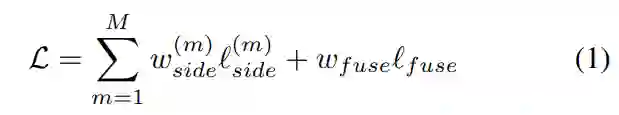
说完网络结构,再看下损失函数,研究者使用了类似于整体嵌套边缘检测(HED)的深度监督算法:
其中,M=6, 为 U^2-Net 的 Sup1, Sup2, ..., Sup6 stage。
为 Sup1, Sup2, ..., Sup6 输出的显著图, 的损失函数;
为最终融合输出的显著图, 的损失函数; 为每个损失函数的权重。
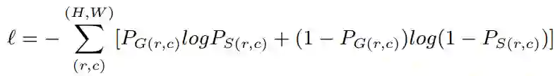
对于每个 l ,采用标准的二值交叉熵损失函数:
其中,(r, c) 为像素坐标;(H, W) 为图像尺寸,height 和 width。
分别表示 GT 像素值和预测的显著概率图。
总的来说,U^2-Net 的设计构建了具有丰富多尺度特征以及较低计算和内存成本的深度架构。
更详细的内容,可以直接看 paper:
https://arxiv.org/pdf/2005.09007.pdf

效果测试

Github 项目地址:
https://github.com/NathanUA/U-2-Net
第一步:搭建测试环境。
很简单,没啥特殊的库,安装好 Pytorch、Numpy、Skimage 等基础第三方库即可。
第二步:下载训练好的模型权重文件。
我将程序和权重文件都进行了打包,嫌麻烦,可以下载直接使用。
第三步:在工程目录,运行程序。
    
    
      
python u2net_portrait_test.py br
在 u2net_portrait_test.py 可以查看输入图片路径和输出图片路径:
最后再看下运行效果:

更多精彩推荐

什么?性能强大的 M1 芯片不支持 Docker ?

☞首次公开!阿里巴巴云原生实时数仓核心技术揭秘

☞起底 Windows 35 年发展史

赠书 | 新手指南——如何通过HuggingFace Transformer整合表格数据

想在边缘运行计算机视觉程序?先来迎接挑战!

中国区块链发展报告(2020)》导读:全球区块链政策及监管重点趋势

  
  
    
点分享
点点赞
点在看
登录查看更多
0

相关内容

《2021年中国AIoT产业全景图谱》白皮书,244页pdf
专知会员服务
131+阅读 · 2021年1月16日
专知会员服务
80+阅读 · 2020年10月2日
【ACM MM2020】对偶注意力GAN语义图像合成
专知会员服务
36+阅读 · 2020年9月2日
KDD20 | AM-GCN:自适应多通道图卷积网络
专知会员服务
40+阅读 · 2020年8月26日
【ECCV2020】EfficientFCN:语义分割中的整体引导解码器
专知会员服务
18+阅读 · 2020年8月23日
KDD2020 | 真实世界超图的结构模式和生成模型
专知会员服务
30+阅读 · 2020年8月18日
CVPR2020 | 商汤-港中文等提出PV-RCNN:3D目标检测新网络
专知会员服务
45+阅读 · 2020年4月17日
【北京大学】CVPR 2020 | PQ-NET:序列化的三维形状生成网络
姿势服装随心换-CVPR2019
专知会员服务
36+阅读 · 2020年1月26日
一文概览用于图像分割的CNN
论智
14+阅读 · 2018年10月30日
CNN图像风格迁移的原理及TensorFlow实现
数据挖掘入门与实战
5+阅读 · 2018年4月18日
Arxiv
0+阅读 · 2021年2月5日
Star-Transformer
Arxiv
5+阅读 · 2019年2月28日
Arxiv
7+阅读 · 2018年12月10日
Arxiv
4+阅读 · 2018年4月17日
Arxiv
11+阅读 · 2018年4月8日
VIP会员
最新内容
《自动化战略情报管控》
专知会员服务
1+阅读 · 今天14:31
得失评估:审视对伊朗战争的轨迹(简报)
专知会员服务
1+阅读 · 今天14:19
【CMU博士论文】迈向可解释机器学习的理论基础
专知会员服务
1+阅读 · 今天12:23
基于数据优化的人机协同与机器人僚机
专知会员服务
5+阅读 · 今天2:08
相关VIP内容
《2021年中国AIoT产业全景图谱》白皮书,244页pdf
专知会员服务
131+阅读 · 2021年1月16日
专知会员服务
80+阅读 · 2020年10月2日
【ACM MM2020】对偶注意力GAN语义图像合成
专知会员服务
36+阅读 · 2020年9月2日
KDD20 | AM-GCN:自适应多通道图卷积网络
专知会员服务
40+阅读 · 2020年8月26日
【ECCV2020】EfficientFCN:语义分割中的整体引导解码器
专知会员服务
18+阅读 · 2020年8月23日
KDD2020 | 真实世界超图的结构模式和生成模型
专知会员服务
30+阅读 · 2020年8月18日
CVPR2020 | 商汤-港中文等提出PV-RCNN:3D目标检测新网络
专知会员服务
45+阅读 · 2020年4月17日
【北京大学】CVPR 2020 | PQ-NET:序列化的三维形状生成网络
姿势服装随心换-CVPR2019
专知会员服务
36+阅读 · 2020年1月26日
Top
微信扫码咨询专知VIP会员