【智能金融】机器学习在风控领域的应用

2017 年 11 月 18 日 产业智能官 金融科技科普大使


文 | 婉龙

Fintech科普大使 | 带你秒懂Fintech

大数据风控起源于互联网金融的兴起

有人会把大数据比喻成 “新时代的石油”。业界也有句话叫,得数据者得天下。现如今,在大数据时代下,数据比以往任何时候都更加根植于我们生活的每个角落。

其实早在上世纪80年代,大数据就被著名未来学家阿尔文·托夫勒在《第三次浪潮》一书中赞颂为 “第三次浪潮”。不过直到21世纪,大数据才真正成为互联网信息技术行业的流行词汇。进入2013年后,互联网金融的火爆发展将大数据推向了新的高潮。

目前受互联网金融、消费金融的蓬勃发展,央行征信的短板日益凸显,传统风控模式受到严峻考验,急需新的风控手段。

央行征信的不足:

  • 信息覆盖面不足:目前,央行的个人征信中心收录的自然人数达8.6亿多人,但其中仅有3亿多人有信贷记录;

  • 信息有效性不足:信贷记录主要来源于商业银行和农村信用社等金融机构,在数据时效性、全面性和层次性上存在严重短板。

此时互联网大数据风控应运而生,主要是由于互联网数据具备覆盖面广、数据搜集相对简单便捷的天然条件,可以作为央行征信的有效补充。

  • 数据覆盖面广:信息覆盖面广泛,支付宝或微信都有超4亿活跃用户,用户行为覆盖服装、书籍、租房、休闲、娱乐等各方面,单指标维度超过1000个;

  • 数据的稀疏性强:用户线上线下的行为散布广泛,极难全量收集和覆盖;用户行为偏好亦各有不同,在不同门类的行为差异很大,因此数据的稀疏性极为明显。一般情况下,用户行为信息的缺失率均超过50%;

  • 单变量风险区分能力弱:不同于传统风险模型采用的历史履约情况,个人资产评估等强变量,消费或社交变量一般均为区分能力较弱的弱变量。

所以,很多人认为互联网金融是简单的将传统金融模式由线下搬到线上,这显然是有失偏颇。相对于传统风控,深度挖掘互联网大数据信息,开发大数据风控模型,用以弥补央行个人征信信息的不足,既凸显出互联网金融的特定价值,又指明了互联网金融的未来方向。

由于可期的未来前景,大数据风控已成为互联网金融的核心环节,也成为一个平台的核心竞争力之一。各大平台都在不断加码大数据风控的研究与推广。机器学习是使用到的核心技术之一。


机器学习是大数据风控的必备手段

传统风控技术无法满足新业务场景的需要

传统信用风险评估模型是在原有业务逻辑架构下,利用数据驱动或专家经验,来开发模型模板,并结合统计分析模型得到精准的计量结果。所以,当需要解决互联网大数据的问题时,捉襟见肘。

  • 不满足数据分析需要:由于互联网大数据的介入,其覆盖广阔的特点,导致原有的业务逻辑框架已经不满足数据分析的需求。

  • 传统模型受限严重:由于互联网数据稀疏性强和单变量风险区分能力弱的特点,使得传统统计分析模型也受到严重限制。此时需要使用新的技术来适应这种新的业务场景。

这时,机器学习开始进入互联网金融的历史舞台。

机器学习(Machine Learning, ML)是一门多领域交叉学科,涉及概率论、统计学、逼近论、凸分析、算法复杂度理论等多门学科。专门研究计算机怎样模拟或实现人类的学习行为,以获取新的知识或技能,重新组织已有的知识结构使之不断改善自身的性能。

近年来,机器学习技术得到飞速的发展,在信息识别、推荐引擎等领域都取得了出色的应用效果,大量实验结果证明机器学习模型有着良好的鲁棒性和泛化性,比较适合互联网金融中数据分析应用的特殊场景。

由于机器学习拥有可以不断重新组织自身结构以改善自身性能的特点,解决了传统风控技术的短板,所以成为了大数据风控的必备手段。

机器学习在大数据风控中的发展困境

由于机器学习技术在金融场景里的应用才刚刚开始,所以还停留在初级阶段,目前急需解决两大难题:

第一个问题是训练数据太少

训练数据需要积累,目前数据量太少。

首先,金融数据是非常稀疏的,过去也没有刻意对相关数据进行搜集,缺少历史的积累。

其次,现在很多的金融产品形式在以前是根本没有发生过的,需要从头开始积累。

最后,金融出一个坏账,少则一个月多则几个月,积累数据要有一个较长周期。

最终导致目前数据量较少,且积累数据较慢。直接影响了机器学习的训练数据积累。导致进展缓慢。

所以数据较少是阻碍机器学习快速发展的巨大障碍。

第二个问题是数据维度太多

数据维度太多,远远超过了人的处理能力。

由于在金融场景内,特别强调模型的可解释性,需要把人的风控经验和直观感受跟数据表现结果关联起来,做到特征可追溯。而通常互联网的机器学习都是一个黑盒子,一堆数据扔进去,等结果来反馈迭代,这种情况,人的经验无法介入,特征也无法追溯。

所以过量的数据特征维度,尚需要通过人工的甄别和处理,这也需要一个较长的时间周期。

常用风险评估模型

在风控中的信用风险评分模型中,常用的机器学习技术有如下几种:

1. T-L 核模型

传统信用风险评估模型在业务逻辑架构下分析变量的基本属性及风险区分能力,用逻辑回归等统计分析模型进行量化分析,得到精准的风险计量结果。

然而用户行为数据独有的稀疏性会使得统计模型极不稳定。决策树对局部数据分析有着极强的稳定性和鲁棒性,同时可以揭示变量风险区分能力的非线性结构关系。

因此我们将决策树模型和逻辑回归模型进行嫁接,建立T-L核模型:

  • 在进行统计建模前添加一层决策树模型进行单变量分析。

  • 利用CHAID决策树生成二元决策树变量。

  • 将决策树模型的输出结果(单变量、交叉变量及二元决策树变量)一同导入逻辑回归模型中进行统计建模,确定所有风险因子的风险权重。

2. 决策树模型

在决策树各种算法中,CHAID(Chi Squared Automatic Interaction Detection)既适用于二值型变量,也适用于连续型变量。针对每一次分叉,CHAID对二元响应和连续型目标变量分别采用了卡方和F检验。

因此在本文中,选择CHAID算法作为决策树算法。CHAID算法以因变量为根结点,对每个自变量(只能是分类或有序变量,也就是离散性的,如果是连续变量,如年龄,收入要定义成分类或有序变量)进行分类,产生一系列二维表,然后分别计算所生成二维表的卡方统计量或F统计量。

  • 如果因变量(目标变量)是定类变量(例如PD模型),则采用卡方检验(Chi-Square-Test);

  • 如果因变量是定距变量(例如LGD,EAD模型),则采用F检验(F-Test)。

  • 如果几个备选变量的分类均显著,则比较这些分类的显著程度(P值的大小),然后选择最显著的分类变量以及划分作为子节点。

3.Random Forest模型

随机森林是由美国科学家Leo Breiman将其在1996年提出的Bagging集成学习理论与Ho在1998年提出的随机子空间方法相结合,于2001年发表的一种机器学习算法。

随机森林是以决策树为基本分类器的一个集成学习模型,它包含多个由Bagging集成学习技术训练得到的决策树,当输入待分类的样本时,最终的分类结果由单个决策树的输出结果投票决定,如下图所示。随机森林克服了决策树过拟合问题,对噪声和异常值有较好的容忍性,对高维数据分类问题具有良好的可扩展性和并行性。

此外,随机森林是由数据驱动的一种非参数分类方法,只需通过对给定样本的学习训练分类规则,同时亦不需要分类的先验知识。

小结

如今,从贷款审批到资产管理再到风险评估,机器学习已经成为金融生态中不可或缺的组成部分。未来,机器学习在金融风控领域会发挥越来越重要的作用,对金融科技的健康发展也会起到巨大的积极作用。

参考文献:

1.云蜂科技:金融业的未来是大数据风控

http://www.theqk.com/keji/shuju/3008.html

2.机器学习在金融大数据风险建模中的应用

http://www.sohu.com/a/65440540_116235

3.机器学发展困境

http://blog.sina.com.cn/s/blog_ab5a51820102xmi8.htm


机器学习在金融大数据风险建模中的应用

文|张权 罗嗣汉

【摘要】

在互联网金融、消费金融的蓬勃发展的当下,央行征信在数据时效性、全面性和层次性上的短板日益凸显。深度挖掘互联网大数据信息,开发大数据风控模型,更加精准的评估风险,已经逐渐成为了新一代信用风险模型体系建设的核心课题。

本文在传统风险模型体系的基础上,嫁接逻辑回归和决策树模型建立T-L模型,并结合Random Forest模型完善模型结构。采用T-L核模型替代RF模型中的传统决策树模型,将RF模型和T-L核模型结合,建立了ScoreNet模型体系。既大大提升了风险模型区分能力,也保证了模型结构的清晰和评分广泛的应用。

【关键词】大数据风控 T-L模型 Random Forest ScoreNet

1.选题背景及意义

目前,央行的个人征信中心收录的自然人数达8.6亿多人,但其中仅有3亿多人有信贷记录,同时信贷记录主要来源于商业银行和农村信用社等金融机构,在数据时效性、全面性和层次性上存在严重短板。因此深度挖掘互联网大数据信息,开发大数据风控模型,弥补央行个人征信信息的不足,在互联网金融蓬勃发展的今天尤为重要。

无论是线上还是线下的用户消费、社交数据,都有着不同于传统征信信息的独有特征:

数据的稀疏性强(用户线上线下的行为散布广泛,极难全量收集和覆盖;用户行为偏好亦各有不同,在不同门类的行为差异很大,因此数据的稀疏性极为明显。一般情况下,用户行为信息的缺失率均超过50%);

数据覆盖面广(信息覆盖面广泛,支付宝或微信都有超4亿活跃用户,用户行为覆盖服装、书籍、租房、休闲、娱乐等各方面,单指标维度超过1000个);

单变量风险区分能力弱(不同于传统风险模型采用的历史履约情况,个人资产评估等强变量,消费或社交变量一般均为区分能力较弱的弱变量)。

传统信用风险评估模型在业务逻辑架构下,利用数据驱动或专家经验开发模型模板,最终结合统计分析模型(逻辑回归、判别分析等)得到精准的计量结果。然而在新的数据画像和业务情景下,不仅丧失了原有的业务逻辑框架,更使得传统统计分析模型的应用受到严重限制。近年来,机器学习技术得到飞速的发展,在信息识别、推荐引擎等领域都取得了出色的应用效果,大量实验结果证明机器学习模型有着良好的鲁棒性和泛化性。但机器学习模型的模型逻辑极为复杂,很难把控模型的真实效果,也不易于直观展示和解释变量的风险特性。如何结合传统风险评估模型体系和机器学习技术,在保证业务逻辑和评分广泛应用的前提下,更加精准的评估风险已经成了新一代信用风险模型体系建设的核心课题。

2.文献综述

David Durand(1941)在信用评分领域首先使用判别分析,预测贷款者的还贷情况;20世纪50年代,Bill Fair和Earl Isaac发明了基于logistics回归模型的FICO信用评分体系,得益于清晰的业务逻辑和解释性,该评分体系逐渐成为了最为广泛应用的风险模型体系。然而无论是逻辑回归还是判别分析模型,都主要针对线性问题,无法对变量的非线性结构进行分析,同时对数据完整性和有效性要求较高,对数据噪声亦比较敏感,不适用于大数据背景下的模型开发和集成。

McCulloch, Warren; Walter Pitts(1943)[1]提出了神经网络模型,取得了十分广泛的应用,并首次描绘了机器学习理论的雏形;Ray Solomonoff(1956) [2]在An Inductive Inference Machine一文中,首度提出了机器学习的概念;Aizerman, Mark A.; Braverman, Emmanuel M.; and Rozonoer, Lev I. (1964)[3]在统计学习领域的研究中提出了应用最为广泛的机器学习模型支持向量机(SVM);Breiman, Leo (1996)[4]、Michael Kearns(1988)[5]、Ho, Tin Kam (1995)[6]提出了集成学习算法:Bagging、Boosting、Random Forest,完美的解决了传统机器学习算法过度拟合的困境,使得算法的稳定性、泛化性和鲁棒性都有了显著的提高。近年来,机器学习算法在图像识别、语音识别、信息检索、推荐引擎、非结构化数据挖掘等领域都取得了突破性的进展。推荐算法与风险模型的一致性,及GBDT[7]和Random Forest在推荐算法上优异表现,为我们研究金融大数据风险模型提供了新的方向和挑战。然而无论是单一机器学习算法,还是集成学习算法都有着复杂的模型结构,这种复杂的结构不仅使模型丧失了解释性,而且限制了专业模型分析人员对模型的把控能力,很难实现真正意义上的广泛的应用。

3.研究的理论框架与模型建设

本文在传统风险模型体系的基础上,嫁接逻辑回归和决策树模型建立T-L模型,并结合Random Forest模型完善模型结构,建立了ScoreNet模型。既大大提升了风险模型区分能力,也保证了业务逻辑的清晰和评分广泛的应用。

3.1.T-L核模型

传统信用风险评估模型在业务逻辑架构下分析变量的基本属性及风险区分能力,用逻辑回归等统计分析模型进行量化分析,得到精准的风险计量结果。然而用户行为数据独有的稀疏性会使得统计模型极不稳定。决策树对局部数据分析有着极强的稳定性和鲁棒性,同时可以揭示变量风险区分能力的非线性结构关系。因此我们将决策树模型和逻辑回归模型进行嫁接,建立T-L核模型。即在进行统计建模前添加一层决策树模型进行单变量分析,同时利用CHAID决策树生成二元决策树变量,然后将决策树模型的输出结果(单变量、交叉变量及二元决策树变量)一同导入逻辑回归模型中进行统计建模,确定所有风险因子的风险权重。

3.1.1.决策树模型

在决策树各种算法中,CHAID[8](Chi-Squared Automatic Interaction Detection)既适用于二值型变量,也适用于连续型变量。针对每一次分叉,CHAID对二元响应和连续型目标变量分别采用了卡方和F检验。因此在本文中,选择CHAID算法作为决策树算法。

CHAID算法以因变量为根结点,对每个自变量(只能是分类或有序变量,也就是离散性的,如果是连续变量,如年龄,收入要定义成分类或有序变量)进行分类,产生一系列二维表,然后分别计算所生成二维表的卡方统计量或F统计量。如果因变量(目标变量)是定类变量(例如PD模型),则采用卡方检验(Chi-Square-Test);如果因变量是定距变量(例如LGD,EAD模型),则采用F检验(F-Test)。如果几个备选变量的分类均显著,则比较这些分类的显著程度(P值的大小),然后选择最显著的分类变量以及划分作为子节点。

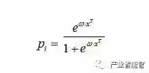
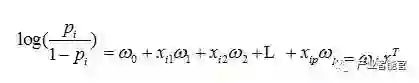
3.1.2.逻辑回归模型

逻辑回归模型[9]是因变量服从二项分布,且自变量的线性预测与因变量的logit变换相连接的一种广义线性模型[10],具体数学表达式为:

由此可以得到

理论可以证明,如果样本的分布服从多元正态分布,那么该样本正好符合对数回归的假设。对数模型的误差项服从二项分布,因此,在拟合时采用最大似然估计法进行参数估计要比最小平方误差法估计。

3.2. Random Forest模型

3.2.1.Random Forest的基本原理

随机森林是由美国科学家Leo Breiman将其在1996年提出的Bagging集成学习理论[4]与Ho在1998年提出的随机子空间方法[11]相结合,于2001年发表的一种机器学习算法[12]。随机森林是以决策树为基本分类器的一个集成学习模型,它包含多个由Bagging集成学习技术训练得到的决策树,当输入待分类的样本时,最终的分类结果由单个决策树的输出结果投票决定,如下图所示。随机森林克服了决策树过拟合问题,对噪声和异常值有较好的容忍性,对高维数据分类问题具有良好的可扩展性和并行性。此外,随机森林是由数据驱动的一种非参数分类方法,只需通过对给定样本的学习训练分类规则,同时亦不需要分类的先验知识。

随机森林是以K个决策树为基本分类器

,进行集成学习后得到的一个组合分类器。当输入待分类样本时,随机森林输出的分类结果由每个决策树的分类结果简单投票决定。这里的

是一个随机变量序列,它是由随机森林的两大随机化思想决定的:

(1)Bagging思想:从原样本集X中有放回地随机抽取K个与原样本集同样大小的训练样本集(每次约有37%的样本未被抽中),每个训练样本集构造一个对应的决策树。

(2)特征子空间思想:在对决策树每一个节点进行分裂时,从全部属性中等概率随机抽取一个属性子集,再从这个子集中选择一个最优属性来分裂节点。

由于构建每个决策树时,随机抽取训练样本集和属性子集的过程都是独立的,且总体都是一样的,因此

是一个独立同分布的随机变量序列。

训练随机森林的过程就是训练各个决策树的过由于各个决策树的训练是相互独立的,因此随机森林的训练可以通过并行处理来实现,这将大大提高生成模型的效率。随机森林中第

训练过程如下图所示。

将以同样的方式训练得到K个决策树组合起来,就可以得到一个随机森林。当输入待分类的样本时,随机森林输出的分类结果由每个决策树的输出结果进行简单投票(即取众数)决定。

3.2.2.Random Forest模型的缺陷及改进方向

不难证明随机森林的泛化性误差的上界[12]为:

3.3. ScoreNet模型

本文引入3.1中建立的T-L核模型替代3.2中RF模型中的传统决策树模型,将RF模型和T-L核模型结合,建立了ScoreNet模型体系。

ScoreNet模型以传统模型为基础搭建,保留传统模型的业务解释性和稳定性。

ScoreNet模型以随机森林模型为基本架构搭建了随机模型,客服了传统模型对数据噪声亦比较敏感的缺陷,使模型的泛化性与稳定性有了进一步的提高。

ScoreNet模型客服了传统模型一般只能容纳10-15个变量的缺陷,模型可以涵盖100+个变量。可以从源头杜绝用户刷分现象,提升模型的公信力。

ScoreNet模型的在应用层面的高度稳定性与业务解释性,使其有着比纯粹机器学习模型更广泛的应用空间。

4.模型开发与结果分析

本文通过互联网爬虫技术及第三方合作机构通过跨商家、浏览器、设备、微信进行实时互联网数据采集分析,包括但不限于:商品消费行为采集与挖掘、资讯、社区与视频阅览行为采集与挖掘、O2O消费行为采集与挖掘、高单价商品消费行为采集与挖掘、金融服务行为采集与挖掘等。

通过各渠道数据采集与挖掘形成用户全方位的画像数据(如:人口统计学标签、用户通用标签、资产价值标签、消费行为喜好、阅读喜好标签、金融服务标签、社交圈标签等),进而了解用户全方位属性信息。

本文采用大数据风险模型ScoreNet技术,针对身份信息核查、稳定性信息、金融申请信息、资产评估信息、商品消费信息、媒体阅览信息等6大维度对用户违约风险进行评估。

4.1数据分析

4.1.1.数据采集

本文采集了:身份信息核查、稳定性信息、金融申请信息、重要资产信息、商品消费信息、媒体阅览信息等6大维度近1000个子项的互联网数据。

从模型表现可看出模型在不同样本上皆具备一定程度的区分能力,表示其稳定性高,未来应用时能适应不同的人群。

4.3模型结果对比分析

传统模型与ScoreNet模型对比分析结果:

传统模型与机器学习模型(Random Forest)对比分析结果:

模型对比分析结果显示,ScoreNet模型较传统模型(Logistics)在区分能力上有了较大幅度的提高,可提升KS/AR值约0.05,同时延续了传统模型(Logistics)的稳定性和解释性;ScoreNet模型较纯粹机器学习模型(Random Forest)在稳定性、泛化性上有着绝对的优势,区分能力也更加优越。

5.应用分析及方案建议

5.1.征信多元化与风险量化

传统金融机构的征信信息来源主要是央行征信,但央行征信仅有3亿多人有信贷记录,信贷记录又主要来源于商业银行和农村信用社等金融机构。随着互联网不断渗入人们生活,互联网行为数据是央行征信的有效补充,可以不断强化征信数据的时效性、全面性和层次性,从无形中记录用户的行为,去伪存真,还原真实的客户 。从而大大提升信息的利用率和有效性。

同时,大数据风险模型的应用,可以不断提高金融机构风险识别、计量能力。从而不断完善征信信息体系架构,为精细化风险定价提供必要的基础和土壤。

5.2.授信审批决策/自动化审批

传统上,金融机构的授信审批决策主要依赖于信贷人员的主观经验和判断,缺乏统一的标准,不利于金融机构整体风险政策的执行。随着大数据模型开发技术与内部评级体系建设的深度融合,金融机构可更加广泛和全面地将评分/评级结果应用于授信审批,为贷款决策提供参考和支持。

大数据风险模型优秀的风险排序及区分能力能够大力推进自动化审批的进程及线上产品的改革与创新。对模型评分高于一定级别且满足其它授信决策条件的,授信申请可以自动通过,不需要再经人工审核,对于评分低于一定级别的,模型自动拒绝其申请;只有模型评分介于以上两者之间的客户,才由人工介入进行申请审核。

5.3风险监控与预警

风险监控与预警是指借助各类信息来源或渠道,通过对数据与信息进行整合与分析,运用定量和定性分析相结合的方法来发现授信客户及业务的早期风险征兆,准确识别风险的类别、程度、原因及其发展变化趋势,并按规定的权限和程序对问题授信采取针对性处理措施,以及时防范、控制和化解授信风险的一系列管理过程。

大数据风险模型较传统内部评级体系更为精细和灵敏,可以快速识别贷后风险,为不同的用户设定不同的监控频率、自动筛选高风险客户,制定有针对性的贷后管理措施、贷后管理工作等。

6.参考文献

[1]. McCulloch, Warren; Walter Pitts (1943). A Logical Calculus of Ideas Immanent in Nervous Activity. Bulletin of Mathematical Biophysics 5 (4): 115–133.

[2]. Ray Solomonoff, An Inductive Inference Machine, IRE Convention Record, Section on Information Theory, Part 2, pp., 56-62, 1957.

[3]. Aizerman, Mark A.; Braverman, Emmanuel M.; and Rozonoer, Lev I. (1964). Theoretical foundations of the potential function method in pattern recognition learning. Automation and Remote Control 25: 821–837.

[4]. (1996). Bagging predictors. 24 (2): 123–140.

[5]. Michael Kearns(1988). , Unpublished manu (Machine Learning class project, December 1988)

[6]. Ho, Tin Kam (1995). . Proceedings of the 3rd International Conference on Document Analysis and Recognition, Montreal, QC, 14–16 August 1995. pp. 278–282.

[7]. Brieman, L(1997). .

[8]. Belson, William A.; Matching and prediction on the principle of biological classification, Applied Statistics, Vol. 8 (1959), pp. 65–75.

[9]. Huston, James A. (1966). The Sinews of War: Army Logistics, 1775–1953, (755 pages).

[10]. ; (1972). Generalized Linear Models. . Series A (General) (Blackwell Publishing) 135 (3): 370–384.

[11]. Ho T. .IEEE Transactions on Pattern Analysis and Machine Intelligence,1998,(08):832-844.

[12]. Trevor Hastie; Robert Tibshirani; Jerome Friedman (2008). The Elements of Statistical Learning. California.

本文由作者投稿至36大数据,并经由36大数据编辑发布,任何不标明作者、来源36大数据及本文链接 http://www.36dsj.com/archives/42843的均属侵权。

人工智能赛博物理操作系统

AI-CPS OS

人工智能赛博物理操作系统(新一代技术+商业操作系统“AI-CPS OS”:云计算+大数据+物联网+区块链+人工智能)分支用来的今天,企业领导者必须了解如何将“技术”全面渗入整个公司、产品等“商业”场景中,利用AI-CPS OS形成数字化+智能化力量,实现行业的重新布局、企业的重新构建和自我的焕然新生。


AI-CPS OS的真正价值并不来自构成技术或功能,而是要以一种传递独特竞争优势的方式将自动化+信息化、智造+产品+服务和数据+分析一体化,这种整合方式能够释放新的业务和运营模式。如果不能实现跨功能的更大规模融合,没有颠覆现状的意愿,这些将不可能实现。


领导者无法依靠某种单一战略方法来应对多维度的数字化变革。面对新一代技术+商业操作系统AI-CPS OS颠覆性的数字化+智能化力量,领导者必须在行业、企业与个人这三个层面都保持领先地位:

  1. 重新行业布局:你的世界观要怎样改变才算足够?你必须对行业典范进行怎样的反思?

  2. 重新构建企业:你的企业需要做出什么样的变化?你准备如何重新定义你的公司?

  3. 重新打造自己:你需要成为怎样的人?要重塑自己并在数字化+智能化时代保有领先地位,你必须如何去做?

AI-CPS OS是数字化智能化创新平台,设计思路是将大数据、物联网、区块链和人工智能等无缝整合在云端,可以帮助企业将创新成果融入自身业务体系,实现各个前沿技术在云端的优势协同。AI-CPS OS形成的字化+智能化力量与行业、企业及个人三个层面的交叉,形成了领导力模式,使数字化融入到领导者所在企业与领导方式的核心位置:

  1. 精细种力量能够使人在更加真实、细致的层面观察与感知现实世界和数字化世界正在发生的一切,进而理解和更加精细地进行产品个性化控制、微观业务场景事件和结果控制。

  2. 智能:模型随着时间(数据)的变化而变化,整个系统就具备了智能(自学习)的能力。

  3. 高效:企业需要建立实时或者准实时的数据采集传输、模型预测和响应决策能力,这样智能就从批量性、阶段性的行为变成一个可以实时触达的行为。

  4. 不确定性:数字化变更颠覆和改变了领导者曾经仰仗的思维方式、结构和实践经验,其结果就是形成了复合不确定性这种颠覆性力量。主要的不确定性蕴含于三个领域:技术、文化、制度。

  5. 边界模糊:数字世界与现实世界的不断融合成CPS不仅让人们所知行业的核心产品、经济学定理和可能性都产生了变化,还模糊了不同行业间的界限。这种效应正在向生态系统、企业、客户、产品快速蔓延。

AI-CPS OS形成的数字化+智能化力量通过三个方式激发经济增长:

  1. 创造虚拟劳动力,承担需要适应性和敏捷性的复杂任务,即“智能自动化”,以区别于传统的自动化解决方案;

  2. 对现有劳动力和实物资产进行有利的补充和提升,提高资本效率

  3. 人工智能的普及,将推动多行业的相关创新,开辟崭新的经济增长空间


给决策制定者和商业领袖的建议:

  1. 超越自动化,开启新创新模式:利用具有自主学习和自我控制能力的动态机器智能,为企业创造新商机;

  2. 迎接新一代信息技术,迎接人工智能:无缝整合人类智慧与机器智能,重新

    评估未来的知识和技能类型;

  3. 制定道德规范:切实为人工智能生态系统制定道德准则,并在智能机器的开

    发过程中确定更加明晰的标准和最佳实践;

  4. 重视再分配效应:对人工智能可能带来的冲击做好准备,制定战略帮助面临

    较高失业风险的人群;

  5. 开发数字化+智能化企业所需新能力:员工团队需要积极掌握判断、沟通及想象力和创造力等人类所特有的重要能力。对于中国企业来说,创造兼具包容性和多样性的文化也非常重要。


子曰:“君子和而不同,小人同而不和。”  《论语·子路》云计算、大数据、物联网、区块链和 人工智能,像君子一般融合,一起体现科技就是生产力。


如果说上一次哥伦布地理大发现,拓展的是人类的物理空间。那么这一次地理大发现,拓展的就是人们的数字空间。在数学空间,建立新的商业文明,从而发现新的创富模式,为人类社会带来新的财富空间。云计算,大数据、物联网和区块链,是进入这个数字空间的船,而人工智能就是那船上的帆,哥伦布之帆!


新一代技术+商业的人工智能赛博物理操作系统AI-CPS OS作为新一轮产业变革的核心驱动力,将进一步释放历次科技革命和产业变革积蓄的巨大能量,并创造新的强大引擎。重构生产、分配、交换、消费等经济活动各环节,形成从宏观到微观各领域的智能化新需求,催生新技术、新产品、新产业、新业态、新模式。引发经济结构重大变革,深刻改变人类生产生活方式和思维模式,实现社会生产力的整体跃升。





产业智能官  AI-CPS



用“人工智能赛博物理操作系统新一代技术+商业操作系统“AI-CPS OS”:云计算+大数据+物联网+区块链+人工智能)在场景中构建状态感知-实时分析-自主决策-精准执行-学习提升的认知计算和机器智能;实现产业转型升级、DT驱动业务、价值创新创造的产业互联生态链






长按上方二维码关注微信公众号: AI-CPS,更多信息回复:


新技术:“云计算”、“大数据”、“物联网”、“区块链”、“人工智能”;新产业:“智能制造”、“智能农业”、“智能金融”、“智能零售”、“智能城市”、“智能驾驶”;新模式:“财富空间”、“特色小镇”、“赛博物理”、“供应链金融”


点击“阅读原文”,访问AI-CPS OS官网


本文系“产业智能官”(公众号ID:AI-CPS)收集整理,转载请注明出处!



版权声明产业智能官(公众号ID:AI-CPS推荐的文章,除非确实无法确认,我们都会注明作者和来源。部分文章推送时未能与原作者取得联系。若涉及版权问题,烦请原作者联系我们,与您共同协商解决。联系、投稿邮箱:[email protected]





登录查看更多
3

相关内容

决策树(Decision Tree)是在已知各种情况发生概率的基础上,通过构成决策树来求取净现值的期望值大于等于零的概率,评价项目风险,判断其可行性的决策分析方法,是直观运用概率分析的一种图解法。由于这种决策分支画成图形很像一棵树的枝干,故称决策树。在机器学习中,决策树是一个预测模型,他代表的是对象属性与对象值之间的一种映射关系。Entropy = 系统的凌乱程度,使用算法ID3, C4.5和C5.0生成树算法使用熵。这一度量是基于信息学理论中熵的概念。 决策树是一种树形结构,其中每个内部节点表示一个属性上的测试,每个分支代表一个测试输出,每个叶节点代表一种类别。 分类树(决策树)是一种十分常用的分类方法。他是一种监管学习,所谓监管学习就是给定一堆样本,每个样本都有一组属性和一个类别,这些类别是事先确定的,那么通过学习得到一个分类器,这个分类器能够对新出现的对象给出正确的分类。这样的机器学习就被称之为监督学习。

知识荟萃

精品入门和进阶教程、论文和代码整理等

更多

查看相关VIP内容、论文、资讯等
商业数据分析,39页ppt
专知会员服务
165+阅读 · 2020年6月2日
2020年中国《知识图谱》行业研究报告,45页ppt
专知会员服务
241+阅读 · 2020年4月18日
专知会员服务
126+阅读 · 2020年3月26日
专知会员服务
119+阅读 · 2019年12月24日
【阿里技术干货】知识结构化在阿里小蜜中的应用
专知会员服务
98+阅读 · 2019年12月14日
中文知识图谱构建技术以及应用的综述
专知会员服务
318+阅读 · 2019年10月19日
医疗知识图谱构建与应用
专知会员服务
390+阅读 · 2019年9月25日
关系图谱在贝壳找房风控体系的应用与实践
DataFunTalk
50+阅读 · 2020年2月12日
人工智能在教育领域的应用探析
MOOC
14+阅读 · 2019年3月16日
【智能金融】机器学习在反欺诈中应用
产业智能官
35+阅读 · 2019年3月15日
金融风控背后的技术综述
七月在线实验室
45+阅读 · 2019年2月28日
2018年中国供应链金融行业研究报告
艾瑞咨询
7+阅读 · 2018年11月20日
领域应用 | NLP 和知识图谱:金融科技领域的“双子星”
开放知识图谱
21+阅读 · 2018年8月12日
自然语言处理技术(NLP)在推荐系统中的应用
CSDN大数据
4+阅读 · 2017年6月29日
Arxiv
18+阅读 · 2019年1月16日
Adaptive Neural Trees
Arxiv
4+阅读 · 2018年12月10日
Arxiv
5+阅读 · 2015年9月14日
VIP会员
最新内容
《自动化战略情报管控》
专知会员服务
1+阅读 · 今天14:31
得失评估:审视对伊朗战争的轨迹(简报)
专知会员服务
1+阅读 · 今天14:19
【CMU博士论文】迈向可解释机器学习的理论基础
专知会员服务
1+阅读 · 今天12:23
基于数据优化的人机协同与机器人僚机
专知会员服务
5+阅读 · 今天2:08
相关资讯
关系图谱在贝壳找房风控体系的应用与实践
DataFunTalk
50+阅读 · 2020年2月12日
人工智能在教育领域的应用探析
MOOC
14+阅读 · 2019年3月16日
【智能金融】机器学习在反欺诈中应用
产业智能官
35+阅读 · 2019年3月15日
金融风控背后的技术综述
七月在线实验室
45+阅读 · 2019年2月28日
2018年中国供应链金融行业研究报告
艾瑞咨询
7+阅读 · 2018年11月20日
领域应用 | NLP 和知识图谱:金融科技领域的“双子星”
开放知识图谱
21+阅读 · 2018年8月12日
自然语言处理技术(NLP)在推荐系统中的应用
CSDN大数据
4+阅读 · 2017年6月29日
Top
微信扫码咨询专知VIP会员