福利 | 图像的语义分割—CRF通俗非严谨的入门(评论送书)

2017 年 8 月 17 日 AI100 冯超



本文节选自《深度学习轻松学》第九章—图像的语义分割,作者冯超。


福利提醒:想要获得本书,在评论区留言,分享你的深度学习经验,第8、18、28、38以及48楼的用户可获得《深度学习轻松学》同一用户评论仅认可最早的一条。


上个小节基本上完成了对FCN的基本介绍。FCN是一个将High-level问题的模型框架应用到Low-level问题的成功案例。但是,这个方法并没有完全解决问题。


在深度学习火热前,图像分割问题经常使用概率图模型的方式进行建模求解,于是很多人开始尝试了CNN和CRF模型结合的手段进行尝试,并获得了非常不错的成绩。本章后面的篇幅里就来看看两种方法是如何结合在一起的。


相信各位读者对CNN模型已经比较熟悉,但是CRF的内容在本书前面的章节并未涉及,因此本书接下来的几个小节会尽可能地用最通俗直白的语言介绍CRF模型,为后面的内容做铺垫。其中的内容主要来自一本经典的入门书籍Probabilistic Graphical Models: Principles and Techniques[2]


9.21 有向图与无向图模型


CRF模型是一个无向概率图模型 ,更宽泛地说,它是一个概率图模型 。现实世界的一些问题可以用概率图模型表示。这里可以用一个简单的例子说明:建立一个简单的图模型来分析一部电影是否会获得高票房。这个例子主要用于介绍概率图模型,其中的观点内容纯属编造。


经过“认真”分析,我们发现一部电影的票房和以下因素有很大的关系。


  • 剧本是否精彩,内容是否充实。

  • 演员阵容是否强大,是否有可以吸引票房的明星。

  • 演员表演是否精彩到位。

  • 前期宣传是否到位。

  • 上映时间是否合适,同期是否有其他实力强劲的电影。

  • 投资。


上面的这些因素可以转化成一个个随机变量,将它们按照彼此之间的依赖关系进行连线,就得到了图9-5。



从模型图中可以很清晰看出每一个项目与电影票房之间的关系。拥有了这些关系,就可以根据其中一些变量推断出其他变量的情况。这里将每一个变量都离散化为2个等级——好和差,然后就可以根据分析得到的经验构建心目中的条件概率分布表,如图9-6所示。



有了这个图和对应的表格,整个概率图模型就变得十分明确,这个图模型可以帮助完成很多事情,读者可以使用它在概率图模型的小世界中完成各种各样的推断,例如:


  • 计算联合概率(Joint Probability)。一个投资少、宣传弱、阵容弱、表演弱且票房好的电影出现的概率有多大?公式如下:



  • 计算边际概率(Marginal Probability)。投资多,阵容强,票房好,其他无所谓的电影出现的概率有多大?公式如下:



  • 计算条件概率(Conditional Probability)。当一个电影宣传强、阵容强、表演强、票房好时,它(竟然)投资少的概率有多大?公式如下:



可以看出,这些推断都可以通过上面的图模型很好地推断出来,为理解这个模型提供更多的帮助。这就是一个简单的概率图模型的例子。当然,上面这个模型是一个有向图模型 ,还不是CRF归属的无向图模型。


概率图模型主要由有向图和无向图两部分组成。那么无向图和有向图有什么区别呢?就是随机变量的依赖关系。方向有什么好处和坏处呢?有了方向,整个概率图中概率或者信念(belief)的流动方向就可以确定,读者就能明白一个个随机变量之间的依赖关系,例如在上面的例子中,好几个因素和投资都有依赖关系,所以在求解时,投资这个因素需要首先明确。


在有向图模型中,每一个随机变量都拥有自己的条件概率分布 (Conditional Probablistic Distribution,CPD),这些随机变量的概率依赖于它的父辈随机变量的取值。这样的局部条件概率是很有用的,它使得计算联合概率和边际概率时变得比较容易。以上面的那些例子为例,在计算时我们只需要将这些CPD的取值连乘起来就可以了。


无向图因为没有方向,也就没有CPD,但是无向图模型还是有自己的办法。无向图模型中同样的一个个类似CPD的东西被称作Factor ,像有向图中的节点拥有自己的CPD一样,Factor也有自己的表示形式。它也可以像CPD一样用表格的形式表示。


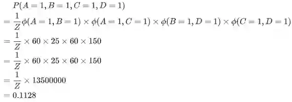
例如空间内有四个粒子,每个粒子都有两种状态,它们之间还存在着一定的相互影响关系,这个关系由Factor来就如图9-7所示。



从上面的例子可以看出,Factor和CPD相比有一个明显的不同。CPD中所有的概率和为1,而Factor里所有的entry没有和并不为1。


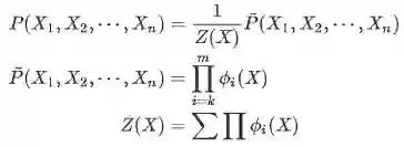
和不为1对于读者并不是很好理解,概率的基本原则不就是需要所有事件发生的概率和为1吗?当然这没有错,因为无向图的Factor表示的并不是条件概率,而是一种更为对称的亲密关系(affinities)。求解无向图的联合概率需要换一种方法,那就是把所有的Factor像有向图模型的贝叶斯网络那样都连乘起来,再做一个归一化。


在上面的例子中,如果要求P(A=1,B=1,C=1,D=1)的概率,那么有:



上面的计算也可以用代码的形式进行计算:



这样就得到了所有的联合概率:



从代码中可以看出,没有了有向图的依赖,无向图少了很多约束,计算公式反而更简洁。当完成归一化后,这些计算结果就可以像有向图那样表示随机变量的联合概率。这些联合概率实际上代表了无向图模型的概率分布,这种分布被称为Gibbs分布 。Gibbs分布就是利用Factor表示的无向图模型的概率分布,它的形式如下所示:



实际上Gibbs分布的形式展示了利用无向图模型计算联合概率的过程。得到了联合概率,就可以计算边际概率和条件概率。通过上面的计算,无向图模型和有向图模型又走到同一起跑线。由于两者确实存在明显不同,因此两者的名字也有些不同,有向图网络一般被称为“贝叶斯网络”(Bayesian Network),而无向图网络一般被称为“马尔可夫随机场”(Markov Random Field)。


看完了上面对有向图模型和无向图模型的介绍,读者也许会问,为什么会有无向图和有向图这两类图模型,两者能不能合二为一?实际上这两种模型有各自的应用领域,有向图模型虽然清晰简单,但它并不能表示所有的真实场景,有向图模型通常需要一个有顺序的推断过程,这里暗示了一些依赖关系和独立条件,而无向图模型由于没有方向,也就没那么多限制,所以无向图模型可以用来对更多更复杂的问题进行建模。但是放弃了方向,也就意味着放弃了条件依赖和一些条件独立的特性,于是我们只能用Factor的形式和Gibbs分布进行表示,这个表示形式就有些复杂了。


除了上面介绍的区别,Factor和CPD相比也有很大不同。因为没有和为1的限制,所以整体上看它对数值要求很宽松,但是它也有自己的坏处,那就是想从Factor的表格形式中读出一些有价值的信息是比较困难的。这个困难有两个方面。


首先,因为不具有和为1的限制,无向图模型的概率比较抽象。关于这个问题读者去看几个真实的Factor表就能明白了。再看看贝叶斯网络的CPD,就会感慨还是CPD描述得清楚。


其次,由于Factor的依赖关系不明朗,表格中记述的一些关系和全局状态下的关系有时是相反的。当读者具体观察某个Factor时,会觉得某组随机变量比另外一组亲密度高,产生的概率一定更高;但是如果站在全局观察,把联合概率计算出来再去计算它们的边际概率,就会发生Factor内表述的关系和全局信息相反。CPD在这方面具有绝对优势,局部的条件概率放在全局还是合理的。


这里举一个例子,如果将上面的代码做一些改动,去求A、B的边际概率,就有:



和A、B所在的Factor相比,在Factor中第二大,但是到了边际概率中它却成了第三大,说明从Factor中分析有时并不能看出某个事件的边际概率。


到此概率图模型和有向无向图模型相关的基本内容就介绍完了,相信读者对无向图模型有了一定的了解。下面就介绍更深入的概念。


9.22 Log-Linear Model


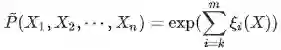
看完上面的无向图模型和Gibbs分布,读者实际上已经可以开始针对具体问题建模了,但是实际上上面介绍的表格形式的模型并不好用。为什么呢?采用表格的形式去表达模型,需要将随机变量的所有取值形式都写出来,如果变量的取值范围不大还可以接受,如果取值范围非常大,那么这种表格形式对我们建模来说就是个不小的负担,所以表示Factor形式需要改变。为了解决这个问题,Factor的形式需要被重新定义,首先需要把Factor函数转换成能量函数:



我们把称作Factor函数,把称作能量函数(Energy Function)。在物理学中,能量越大的物质存在的概率越小,能量越小的物质存在的概率越大。这个性质这组很符合函数的关系。这个函数带来了两个好处。


首先,Factor函数中的每一项表示了随机变量间的亲密关系,一般来说这个值是非负的,这个限制会对建模造成困扰,因此利用指数函数变换,现在的Energy函数摆脱了非负数的限制,变得可正可负。


另外还有一个十分重要的特性:原来的乘法关系变成了现在的加法关系。我们现在有



变成加法关系后,建模求解都变得简单了不少,因为加法的关系更利于分析和计算。当然,模型形式变换到这一步还不够,想要得到进一步的化简,就要引入Feature这个概念。


读者已经了解了Factor的一般表现形式——表格的形式,但很多时候Factor的表格是比较稀疏的。虽然参与一个Factor的随机变量很多,但是真正有意义的亲密关系其实没几个。这样表格的形式就变得不再实用,Feature表示的形式更适合这种场景,那么Feature形式是什么样的呢?


举个例子,有一个由两个灰白像素随机变量组成的Factor,每个变量的取值范围为[0,255]的整数。如果用Factor表示,这个Table将会有256*256=65536个条目,但是如果这个Factor中表示的亲密关系和两个像素的值是否相等有关,像素值相等是关系为1,不相等为0,那么用Feature表示需要写成:



这种写法只要用两个条目就可以表述清楚。所以Feature就是通过尽可能地合并相同结果使Factor的表示变得简洁。以上就是Log-Linear模型的特点,可以看出它对无向图模型进行了极大的化简。未来的模型主要基于这一个框架进行构建。


条件随机场


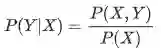
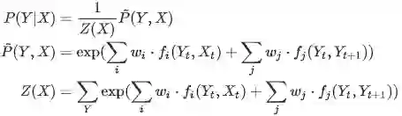
条件随机场的全称是Conditional Random Field(CRF)。它是马尔可夫随机场的一种特殊形式。前面说到了马尔可夫随机场和联合概率分布之间的计算关系,这里的条件随机场则主要对应了条件概率分布。条件随机场中参与计算的有两部分随机变量—X和Y。一般来说X被称作观察变量,也就是已知的变量,Y被称作目标变量或者隐含变量,是需要通过模型求解的变量。CRF的出现与贝叶斯公式有关:



其中P(X,Y)就是图模型的联合概率分布,而在有些问题中,对X单独建模十分困难,而对X,Y联合建模则相对容易些,这样的问题需要特殊的条件约束。条件随机场不允许任何一个Factor中只包含X的节点,Factor中要么包X和Y,要么只包含Y。于是上面的公式就可以做一定的修改,使得在建模时避免这些问题。这里给出一种相对简单的条件随机场,如图9-8所示。



它的形式如下所示:



从图中可以观察出,它确实没有只包含X的Factor。模型的条件概率通过计算联合概率和边际概率得到,而边际概率又是通过联合概率得到,这样难以建模的边际概率就通过联合概率得到解决。


采用无向图模型建模的CRF具有很强的表达能力和灵活性,但是计算起来却不那么容易。所有的概率推断必须从求解联合概率入手,还要计算非常复杂归一化项。所以计算是无向图模型的一大难题,后面的内容会深入分析,解决难以计算这个问题。





关注福利


关注AI科技大本营,进入公众号,回复对应关键词打包下载学习资料;回复“入群”,加入AI科技大本营学习群;点击菜单栏—分类专题,查看分类精选文章。


回复:备忘”,下载最全面的机器学习小抄

回复:CCAI下载 CCAI 2017重磅嘉宾演讲干货(PPT) 

回复:路径,下载深度学习Paper阅读路径(128篇论文,21大领域)

回复:法则,下载《机器学习的四十三条经验法则》,帮你踩坑

回复:美团,下载美团干货分享《深度学习在美团外卖的应用》、《NLP在美团点评的应用》

回复:沙龙,下载CSDN学院7月15日线下沙龙PPT(蒋涛、孟岩、智亮)

回复:对抗,台大李宏毅老师教你学生成式对抗学习(视频教程+PPT)

回复:AI报告,下载麦肯锡、波士顿、埃森哲等知名咨询公司重磅AI报告

回复:银行,下载银行和证券公司的AI报告

回复:人才,下载 2017 领英《全球AI领域人才报告》,让专业的人告诉你AI人才的价值

回复:发展,下载2017 全球人工智能发展报告

回复:设计,下载《人工智能与设计的未来》,学习AI时代产品的方向与转型

回复:1986,下载李开复1986年论文《评价函数学习的一种模式分类方法》和1990年论文《The Development of a World Class Othello Program》

回复:中美,下载《中美两国人工智能产业发展全面解读》(腾讯研究院)

登录查看更多
2

相关内容

【经典书】Python计算机视觉编程,中文版,363页pdf
专知会员服务
145+阅读 · 2020年2月16日
【经典书】精通机器学习特征工程,中文版,178页pdf
专知会员服务
360+阅读 · 2020年2月15日
一网打尽!100+深度学习模型TensorFlow与Pytorch代码实现集合
 图像内容自动描述技术综述
专知会员服务
89+阅读 · 2019年11月17日
【书籍】深度学习框架:PyTorch入门与实践(附代码)
专知会员服务
168+阅读 · 2019年10月28日
我的推荐系统入门经验~
大数据技术
39+阅读 · 2019年9月19日
卷积神经网络从入门到精通
人工智能头条
6+阅读 · 2019年3月29日
从贝叶斯理论到图像马尔科夫随机场
人工智能头条
6+阅读 · 2018年5月1日
入门 | 一文看懂卷积神经网络
机器之心
5+阅读 · 2018年2月20日
荐书丨深度学习框架PyTorch:入门与实践
程序人生
11+阅读 · 2018年1月19日
【机器学习】从零开始入门机器学习算法实践
产业智能官
10+阅读 · 2017年12月1日
荐书丨深度学习入门之PyTorch
程序人生
18+阅读 · 2017年12月1日
从概率论到多分类问题:综述贝叶斯统计分类
机器之心
14+阅读 · 2017年9月28日
卷积神经网络(CNN)学习笔记1:基础入门
黑龙江大学自然语言处理实验室
14+阅读 · 2016年6月16日
Augmentation for small object detection
Arxiv
13+阅读 · 2019年2月19日
Foreground-aware Image Inpainting
Arxiv
4+阅读 · 2019年1月17日
Arxiv
3+阅读 · 2018年5月20日
Arxiv
8+阅读 · 2018年5月15日
Arxiv
6+阅读 · 2018年3月29日
Arxiv
5+阅读 · 2016年10月24日
VIP会员
最新内容
超越网格:作战环境对炮兵的影响
专知会员服务
1+阅读 · 今天15:35
KDD 2026 | MixRAGRec:面向LLM推荐的混合专家KG-RAG框架
BES:让语言模型通过双向进化搜索自我改进
专知会员服务
4+阅读 · 5月30日
以色列-美国-伊朗战争中的无人机:关键要点
专知会员服务
4+阅读 · 5月30日
《Palantir任务保障性软件安全标准(MA-S2)》
专知会员服务
14+阅读 · 5月30日
基于声学的无人机检测技术综述
专知会员服务
8+阅读 · 5月30日
《当代混合战争分析框架:俄乌战争经验教训》
相关资讯
我的推荐系统入门经验~
大数据技术
39+阅读 · 2019年9月19日
卷积神经网络从入门到精通
人工智能头条
6+阅读 · 2019年3月29日
从贝叶斯理论到图像马尔科夫随机场
人工智能头条
6+阅读 · 2018年5月1日
入门 | 一文看懂卷积神经网络
机器之心
5+阅读 · 2018年2月20日
荐书丨深度学习框架PyTorch:入门与实践
程序人生
11+阅读 · 2018年1月19日
【机器学习】从零开始入门机器学习算法实践
产业智能官
10+阅读 · 2017年12月1日
荐书丨深度学习入门之PyTorch
程序人生
18+阅读 · 2017年12月1日
从概率论到多分类问题:综述贝叶斯统计分类
机器之心
14+阅读 · 2017年9月28日
卷积神经网络(CNN)学习笔记1:基础入门
黑龙江大学自然语言处理实验室
14+阅读 · 2016年6月16日
相关论文
Augmentation for small object detection
Arxiv
13+阅读 · 2019年2月19日
Foreground-aware Image Inpainting
Arxiv
4+阅读 · 2019年1月17日
Arxiv
3+阅读 · 2018年5月20日
Arxiv
8+阅读 · 2018年5月15日
Arxiv
6+阅读 · 2018年3月29日
Arxiv
5+阅读 · 2016年10月24日
Top
微信扫码咨询专知VIP会员