【财富空间】生命、宇宙以及任何事情的终极答案

2018 年 9 月 2 日 产业智能官

“我为简短的回答向庞大的问题致歉。”

辛波斯卡,《万物静默如谜》

一、无意义的混乱

马斯克格外喜欢科幻小说家道格拉斯•亚当斯的代表作《银河系漫游指南》。年少时,他在读这本书时,就曾尝试着找到宇宙中属于自己的位置。从此他就开始了夹生的、癫狂的一生。

作者完全不能预测自己的著作会带来什么。就像这本书的初意与马斯克的感触截然不同。假如你没读过,我们看看故事讲的是什么:

福特·派法特是一位宇宙漫游研究员,来自参宿四附近的小星球,受雇于银河系漫游指南公司,负责从银河系四处搜集资料,编辑《银河系漫游指南》,但他已经被困于地球15年,直到一天,渥罡人受命负责摧毁地球,用作兴建一条超空间快速通道,他借机搭上便车,同时救走了他的地球朋友亚瑟·丹特。

渥罡人发现了两人搭上便车,而渥罡人的长官决定将两人从太空船抛出气闸外,一般人在真空的环境下,只能存活三十秒,同时在三十秒被另一艘太空船救起的机会更是数亿万分之一。不过,银河总统柴法德·瘪头士和他的地球女朋友崔莉恩刚巧偷走了以突破非或然率技术的太空船黄金之心,并驶经两人被抛出气闸的空间,又救起了两人。

四人驾着黄金之心朝传说的星球马格西亚出发,传说中,马格西亚是一个替富人兴建人造星球的星球,不过宇宙经济过度膨胀,引发全宇宙的经济破产。

亚瑟·丹特在马格西亚上被告知,地球其实只是一个实验。原来许多百万年前,老鼠其实是一种超智慧生物,它们建造了一部超级电脑深思,它们问超级电脑,生命、宇宙以及任何事情的终极答案是什么,经过一段长时间的计算,深思告诉老鼠的后人答案是42,深思解释它只能计算出答案是什么,但答案的原因必须由另一部更高智能的电脑才能解释,而该部电脑就是地球。

在计算出答案前的5分钟,地球却被渥罡人毁灭,地球的全部资料销毁,老鼠认为仅有的资料寄存在最后离开地球的亚瑟·丹特的脑中,于是决定向亚瑟·丹特开刀做手术。

小说中充满尖锐的讽刺和隐喻,将整个宇宙的运行看作无意义的混乱,无论是宇宙的哪个维度或时间,这种混乱永不消失,好似一块五公斤重包裹着柠檬的金砖拍碎了你的头。

有趣的是,少年马斯克并没有看到作者的讽喻,反倒是像谢耳朵那样看到了别的什么东西。这一点决定了他日后的轨迹,我们稍晚会说明。

《银河系漫游指南》带给马斯克最大的感受却是:提出问题比回答问题更难

因为我们提出的问题或多或少的都带有自己主观或者认知的偏见,所以很难确定自己提出的问题是不是正确的问题。

道格拉斯•亚当斯没有让马斯克成为一个虚无主义者,反倒令他这个无意义的、混乱的宇宙充满了无尽的好奇。当然,在钢铁侠坚定地执行火星计划时,他个人的人生看起来倒也是无意义、且混乱不堪。理性,激情,应用于计算的逻辑异常复杂,但隐隐约约也可以自圆其说地阐释一下,后面我会做如此尝试。


二、宇宙里的答案

小说里的“42”是什么意思并不重要,重要的是这个世界是否存在某个终极答案?

爱因斯坦说:“所有科学中最重大的目标就是,从最少数量的假设和公理出发,用逻辑演绎推理的方法解释最大量的经验事实。”

《终极算法》的作者佩德罗•多明戈斯教授有一个假设:

所有知识,无论是过去的、现在的还是未来的,都有可能通过单个通用学习算法来从数据中获得。

多明戈斯将该学习算法称为“终极算法”。

他认为,如果这种算法成为可能,它的发明将成为人类最伟大的科学成就之一。实际上,终极算法是我们最不愿意发明的东西,因为一旦对其放松,它会继续发明一切有可能发明的东西。

这个世界正在越来越逼近终极算法,还是更加远离?

我们的直觉与此似乎正好相反,我们对发现这个世界的真相的信心不是在增加,而是在衰减。

物理学之父阿基米德曾经豪情万丈地说:“给我一个支点,我可以举起整个地球。”

牛顿以其万有引力和三大运动定律,奠定了此后三个世纪里力学和天文学的基础,成为了现代工程学的基础。

他如同先知般,通过论证开普勒行星运动定律与他的引力理论间的一致性,展示了地面物体与天体的运动都遵循着相同的自然定律。

牛顿乐观地宣称:如果一条规律对于所有我们已经见到的事物都成立,那么这条规律对全宇宙的所有事物都成立。

拉普拉斯写道:

(牛顿的)《原理》将成为一座永垂不朽的深邃智慧的纪念碑,它向我们展示了最伟大的宇宙定律,是高于(当时)人类一切其他思想产物之上的杰作,这个简单而普遍定律的发现,以它囊括对象之巨大和多样性,给人类智慧以光荣

物理学家、诺贝尔物理学奖得主尤金·维格纳,则惊叹“数学在自然科学中不可思议的有效性”:

由少量的观察推导出规律,是什么神奇的力量让这些规律可以运用到超出其预测范围的领域


三、求解世俗世界

让我们回到世俗世界。

并非只有数学家、物理学家、以及科幻迷们才致力于追求“生命、宇宙以及任何事情的终极答案”。

人们不同程度地试图找寻“终极答案”,只是落在不同的问题设定上。作为个人主义者,我会将话题引向偏于个人的终极答案。

就像达利欧在《原则》里尝试做的。他说自己一生中学到的最重要的东西,是一种以原则为基础的生活方式,“是它帮助我发现真理是什么,并据此如何行动。”

这本书的英文书名“Principles”,可以翻译为“原理、原则、法则、主义、本质、源泉、根源”等等。我们可以理解作者希望表达的不会少于这些可能的中文涵义。

甚至野心更多。牛顿于1687年7月5日出版的彻底改变世界的《自然哲学的数学原理》(现常简称作《原理》),英文书名叫《Mathematical Principles of Nature Philosophy》,后来经常就被简称为《Principles》。

投资家成功后琢磨“本质问题”,未尝不是值得鼓励的好事,好过他们胡干别的什么拯救世界的事情。

在导言里,达利欧写下了自己的原则总纲:

a、独立思考并决定:(1)你想要什么;(2)事实是什么;(3)你如何实现。

b、以可信度加权的方式做决定。

c、遵照原则做事。

d、以系统化的方式来决策。

为什么要重温这本“过时”(按照现在的所谓知识更新速度,即使如此干货的畅销书,不用几个月就有点儿人老珠黄了)的书?

达利欧是顶尖的聪明人,他在《原则》一书中,半个公式都没用。据统计,假如一本书或者一篇文章,每用一个公式,阅读量就会掉多少个百分点。

另一方面,达利欧可能有如下假设:

1、懂公式的人,无需列出公式,他们也明白是啥意思;

2、不懂公式的人,列出来也没用,干脆就让他们当鸡汤看假装懂懂就好了。

下面让我们看看,达利欧默认读者该知道哪些公式。


四、聪明太多,怀疑太少

达利欧毕业于哈佛商学院,通过案例教学法,接受了世界上“最好的”教育。不用说,他有理论、懂计算、晓实战,对于“期望值计算”这类基本功,当然了然于胸。

何谓期望值计算?举例如下:

塔勒布在投资研讨会说:“我相信下个星期市场略微上涨的概率很高,上涨概率大概70%。”但他却大量卖空标准普尔500指数期货,赌市场会下跌。他的意见是:市场上涨的可能性比较高(我看好后市),但最好是卖空(我看坏结果),因为万一市场下跌,它可能跌幅很大。 

分析如下:

假使下个星期市场有70%的概率上涨,30%的概率下跌。

但是如果上涨只会涨1%,下跌则可能跌10%。

未来预期结果是:70%×1%+30%×(-10%)=-2.3%。

因此应该赌跌,卖空股票盈利的机会更大。

如芒格所言,巴菲特每天做的,都是算这个简单数学问题。与其说是一种数学能力,不如说是一种思维模式。知道容易,做到极难。

1982年8月,墨西哥对其债务违约。因为美国银行正在向像墨西哥一样高风险的其他国家提供贷款,总额约为其资本金总和的 250%。美国的商业贷款活动逐渐陷于停顿。

达利欧是少数预见到这一情况的人,他预测美国正在走向一场萧条,尽管美联储增加了货币供给,令股市出现了创纪录的涨幅。

达利欧将这一现象解读为市场对美联储行动的条件反射式反应。并引用了历史:在 1929年,股市上涨 15%之后,就出现了史上最大规模的崩盘。

与索罗斯和塔勒布一样,达利欧是个将理论与认知付诸行动的人,他计算如下:

  •  美联储的努力失效,经济走向崩溃的概率是 75%;

  • 美联储的行动一开始成功刺激经济,但最终仍然失败的概率是 20%;

  • 美联储提供了足够的刺激来挽救经济,但最终触发恶性通胀的概率是 5%。

作为计算的结果,为了通过对冲规避最不利的可能性,达利欧开始买入黄金和国债期货,作为对欧洲美元的对冲,这是一种押注于信贷问题加剧的风险控制方式。

看起来,这个推理毫无漏洞

然而,达利欧错了。错得亏光了整个公司。

原因我们姑且不说了。总之,即使达利欧预测的那部分全都对了,但是连锁反应中任何一个环节的波动,都可能令推理失效。美元回流导致的升值压力,令美联储降息,驱动了一场意外的经济繁荣。

这个故事,一直被我储备于一个待写的主题《原因的原因不是原因,结果的结果不是结果》。这篇写出来更简单有趣些,但我还是打算把当下这篇更有挑战些的议题完成。

在我看来,年轻的达利欧犯了三个错误:

错误1、正确太多。在哈佛商学院的精英教学体系里,他一直在学习“如何做对一件事”,他们聪明而自信,志在必得。然而,在一个复杂系统里,做对、并证明自己正确,经常是危险的;

错误2、怀疑太少。现实世界里,他没能保持足够的自我怀疑。休谟在《人性论》以及后来的《人类理解研究》中反驳了“因果关系”具有真实性和必然性的理论,他指出虽然我们能观察到一件事物随着另一件事物而来,我们并不能观察到任何两件事物之间的关联。

错误3、自我高估。个人世界里,他高估了自己的专业和判断。在卡尼曼的研究里,对自己的高估外加对外部意见的低估,令我们的决策判断远没自以为是的那么靠谱。


五、试错和可证伪

埃皮克提图说:一个人不可能重新认识自己认为已经了解的事物

人类的大脑天生就有一种尽快作出决定,以此消除怀疑的倾向。

另一方面,人们喜欢发现、或者制造“因果关系”。

在《人类理解论》一书中,休谟主张所有人类的思考活动都可以分为两种:

追求“观念的连结”(Relation of Ideas)与“实际的真相”(Matters of Fact)。

前者牵涉到的是抽象的逻辑概念与数学,并且以直觉和逻辑演绎为主;

后者则是以研究现实世界的情况为主。而为了避免被任何我们所不知道的实际真相或在我们过去经验中不曾察觉的事实的影响,我们必须使用归纳思考。

伯特兰·罗素将休谟视为是实证主义者,认为知识只有可能是从对于事件的观察上衍生而出—从“对感官的印象”或是“感觉的数据库”里得出,同时其它任何不是透过观察经验而得的知识都是“毫无意义的”。

波普尔认为可证伪性是科学的不可缺少的特征,凡是不可能被经验证伪的命题,如本体论问题、形而上学问题、数学和逻辑上的重言式命题、宗教、神学和占星术都属于非科学。

试错法属于证伪主义。可证伪性,又称可反证性、可否证性,在科学和科学哲学中用来表示由经验得来的表述所具有的一种属性,即“这些结论必须容许逻辑上的反例的存在”。

索罗斯和塔勒布都是波普尔的信徒。塔勒布写道:

虽然索罗斯在他写的文章中没有明白表示,但他懂得怎么处理随机性方法是保持批判性的开放心胸,而且不以改变看法为耻。他到处宣称自己容易犯错,却仍拥有那么强大的力量,因为他晓得本身的缺点,其他人却自视甚高。他了解波普尔,也过着波普尔式的生活。

波普尔表示,科学并不像表面上看到的那么严肃,世界上只有两类理论

一、经过检验并以适当的方法予以驳斥、已知为错误的理论,称之为已被证伪(已遭否证falsified)。

二、尚未得知错误或者尚未遭否证,但将来有可能被证明为错误的理论。

塔勒布对此解释道:

为什么没有一个理论正确?因为我们无从得知是否所有的天鹅皆为白色。其中使用的检验机制可能有误,但是我们仍旧可以提出这样的陈述:世界上有黑天鹅。

理论无法被验证,只能暂时被人接受。以棒球教练贝拉的话来说,过去的资料里面有很多好东西,可惜的是它也有坏的一面。落在这两类理论之外的,就不叫理论。

如果一个理论没有包含一组可以被检证错误的条件,只能称之为骗术——否则无法加以驳斥。

为什么?因为占星家总是能够找到理由去解释过去的事件,比如说“火星在线上但运势不太强”。同样的,在我看来,如果没有什么事情能够改变一位交易员的看法,那么他就称不上是交易员。

牛顿物理学和占星术的差别说来讽刺。牛顿物理学是科学,因为它允许我们证明它是错误,而且确实已被爱因斯坦的相对论推翻了;然而占星术却不能被证明错误,因为它没有提供条件让我们驳斥它。

这一点成了判别科学和胡说八道的基础,称做“画界问题”(the problem of demarcation)。

塔勒布对波普尔下面的名句推崇备至:

“这些人有大胆的观念,却对本身观念的批判不遗余力;他们设法要了解自己的观念是否正确,使用的方法是先了解它们是否可能无误。他们大胆推论,然后极力尝试推翻本身的推测。”

他认为,“这些人”指的是科学家,但也可能是任何人。

以上这些“夸夸其谈”的理论到底有什么用呢?

很有。

我们的文化喜欢以“到底有什么用”来评判一个东西是否有价值。下面我来解释一下“证伪”这个东西可以有什么用。

题目:最少翻动的次数

桌上放着四张纸卡,分别写着1、2、3、4 (如下图):


有人说:“1的背面都写着2。”

请问:你要将几张牌卡翻开才能验证这个说法是否正确呢?

你可以用手蒙住这里想一下,然后再往下看。

答案是:

3张。

为什么呢?

  • 要翻开“1”确认背后是“2”,要翻开“3”、“4”确认背后不是“1”,以上都符合时,该说法才是对的。

  • 至于“2”就不用翻开了,因为它背后不管是多少都不影响那句话的正确性。

如果用“证伪”的方法,就更容易理解了。其实,这也正是“逆向思维”的精髓所在。倒过来想,怎样才能证明这个说话是错误的呢?如果无法证明是错误的,自然就是正确的、或者说暂时是正确了。

NND,我又不参加奥数,这种小伎俩有个鸟用?

让我们再来一题。

题目:找规律

给你三个数字 2 , 4 , 6,请找出该序列中的潜在模式。

条件:你可以提出其他几套包含三个数字的序列 ,并将获知它们是否符合这种模式 。 例如你可以问,8,10,12,这三组数字符合该模式吗?

这看起来是一道简单得有诈的幼儿园大班题目。难道不就是“偶数 、升序数和连续数”吗?又或者是2的连续数倍数?

这是《做最好的决策》里的一道题。沃顿教授休梅克写到:

形成某种假设通常是个好主意 ,特别是如果有很多假设可以得到实证检验的话 。但是 ,当人们真正制定策略来检验他们的假设时 ,一种暗中为害的确定性偏见可能会乘虚而入 。

不知道你是否和大多数人一样,倾向于检验适合他们规则的序列。如下表的 “检验一个假设 ”一栏中所示 (对于每个测试序列是否符合 “ 2 , 4 , 6 ”这组数字的隐含模式这个问题 ,该表中作出了是或不是的回答 ) 。 

书中写道,经过三次成功测试之后 ,参与者通常会自信满满地说 , “偶数 、升序数和连续数 ”的假设是正确的 。但他们错了 。

可以考虑用一种替代方法来检验违反假设的序列 (如第四行所示 ) ——换言之 ,就是故意犯错 。如果参与者选择了不符合他们当前假设的数字 ,他们通常会更快地发现 ,真正的模式是任何升序数 。

这种模式很少被发现 ,除非被试者愿意犯错 ——也就是说 ,愿意去测试那些违背他们信念的数字 。相反 ,大多数人陷入了一种狭隘的错误假设 ,正如现实生活中经常发生的那样 。如此一来 ,他们唯一的出路是 :犯一次错误 ,并且证明这终究不是个错误 。

(注:也许有另外的潜在模式,例如:任何不降序的三个数字。在此我们稍微跳过。)

你必须采用“试错法”。如作者所说,有时 ,犯错不仅是得到正确答案的最快方法 ,也是唯一方法 。

参与这项实验的大学生,仅 1 0 %的人发现了“正确”模式 。

绝大多数人则被困在一种狭隘的假设中 ,例如偶数和连续数 ,而且他们只去测试符合这一模式的数字组合 。从短期来看 ,他们使用这种方法是正确的 。但从长远来看 ,他们错了 ,因为他们并没有通过足够广泛的实验来发现这种潜在模式 。

不论什么时候 ,只要你没有多少确凿的证据 ,你在探讨自己关于各个部分如何组合在一起的最初推测时 ,你的正确率就不高 。找出这种模式的最快方法 ,就是去尝试很多否定性测试 。

简而言之,证明“所有的天鹅全都是白色的”,不是去找更多的白天鹅,而是要去找究竟有没有黑天鹅。

王尔德说:“想象是模仿,批判的精神才具有创造力。”在数字时代,在金融时代,在复杂时代,试错和证伪,是弄潮儿们的利器。

如此一来,我们就不难理解,达利欧在《原则》一书的“导言”开头就写到:

在我开始告诉你们我的思考之前,我想先说明,我是个“愚人”,相对于我需要知道的东西而言,我真正知道的并没有多少。

不管我一生中取得了多大的成功,其主要原因都不是我知道多少事情,而是我知道在无知的情况下自己应该怎么做。

我一生中学到的最重要的东西是一种以原则为基础的生活方式,是它帮助我发现真相是什么,并据此如何行动。


六、从直觉到算法

犹太人了不起的地方在于,即使命运多舛,他们仍然能够去思考人类自身的那些终极问题。

索罗斯和卡尼曼都曾在二战时期,东躲西藏、四处逃命。手无缚鸡之力的卡尼曼,在建国之初的以色列,又经历了独立战争的炮火。

在军营中,年轻的卡尼曼“发明”了一套算法,用于军队的面试,令效果大为改观。四五十年后,他已经荣获诺贝尔奖,回到军营参观,发现自己当初的“算法”仍在高效运行着。

那套算法和下面要提及的阿普家评分原则一样简单,却远比军官的经验和直觉更加靠谱。

“我们满心相信这个世界是有意义的,这份信心建立在一个稳妥的基础之上:我们最大限度地忽略自己的无知。” 

丹尼尔·卡尼曼如是说。

专家是靠不住的,直觉是靠不住的,你我都是靠不住的。

卡尼曼发现,应用数据统计方法得出的结果,经常比专家的预测结果要准确得多。

更新研究则更深入地指出:均衡考虑各项预测因素的公式更有优势,因为它们不受样本突变的影响。

这种基于等权原则的计算方案的成功有着重要的实践意义:它可以在不作任何事前统计研究的基础上就能开发出有用的运算方法。

这种基于现有数据或者常识的简单等权公式通常可以预测出意义重大的结果

在《思考,快与慢》一书中,卡尼曼举了下面这个非常生动的例子:

一项拯救了千万婴儿的简单运算法堪称对于这项研究的经典应用。妇产科医生清楚地知道,如果婴儿在出生后的几分钟内无法正常呼吸的话,他/她就会有很大的脑损伤甚至夭折的风险。

在 1953年麻醉学家弗吉尼亚·阿普加( Virginia Apgar)介入之前,内科医生和接生人员一直在用他们的临床经验来判断婴儿是否处于危险状态,不同人员的依据也不尽相同。一些人侧重于观察孩子的呼吸情况,另一些人则观察婴儿的啼哭频率。由于没有一个标准,人们经常错过危险信号,导致许多新生儿不幸夭折。

一天早饭后,一个住院医生问阿普加医生如何对新生儿作系统评估。她回答道:“这很简单,你可以这样做。”阿普加快速写下了 5个变量(心率、呼吸、反应、肌肉强度和颜色)以及 3个分数( 0、 1、 2分别代表各个变量的稳健度)。

阿普加意识到自己可能会有所突破,而且这一突破还可能被应用到所有的产房中,她便开始用这种方法评估每一个出生一分钟的婴儿。一个得到 8分以上的婴儿一般是肤色粉红、蠕动、啼哭、面部扭曲并拥有 100次以上的脉搏,这样的婴儿外形很好。低于 4分的婴儿一般是浑身青紫、肌肉松弛、不爱动且心跳微弱,这样的婴儿需要立即救治。

应用了阿普加的评分原则后,产房的护士们终于在判断婴儿情况是否危险的问题上有了一套标准,人们认为这个公式对减少婴儿的夭折率起到了很重要的作用。现在,阿普加的方法依然应用于每一个产房中。

阿图尔·甘德( Atul Gawande)近期的著作《一份清单宣言》( A Checklist Manifesto)也介绍了一些其他案例,以说明列表以及简单原则的优点。

行文至此,让我们回到开头的《原则》里的四个基本原则中的两条:

1、以可信度加权的方式做决定。

2、以系统化的方式来决策。

关于第一条,可信度加权,我们在后面的决策树里会介绍类似的方法。

达利欧强调道:

  • 我犯下的代价惨痛的错误使我改变了看问题的角度,从“我知道我是对的”变成了“我怎么知道我是对的”。

  • 这些错误让我养成了谦逊的习惯,我需要用谦逊平衡我的勇敢。

  • 我知道我可能会错得离谱,又好奇为什么其他聪明的人对事情的认识与我不同,这促使我既从自己的视角看问题,也从别人的视角看问题。

  • 这让我看到了很多维度,如果我只从自己的视角看问题,是看不到这么多的。

  • 我懂得了如何对不同人的观点进行加权,从而选择最好的观点,也就是说,我用可信度加权的方式做决定。

  • 这降低了我犯错误的可能性,真是太棒了。

那个从哈佛毕业的、差点儿被墨西哥债务违约击垮的自信青年,现在已经是一位老到的、“我可能错了”的、休谟与波普尔的信徒。

而关于第二条,则是达利欧认知更新后的行为更新。其策略是:

  • 以算法的形式把决策标准表达出来,把这些算法植入计算机。

  • 进而以此提高集体决策质量。这样的决策系统(尤其是在实践可信度加权的情况下)是极其强大的。

在准备中的“得到”课程里,我将此描述为:

年轻时的达利欧已是一名超级球员,他对点状的概率计算滚瓜烂熟,但很多时候却不能应对复杂环境下的挑战;

后来,他变成一名超级教练。球队靠系统,而非超级球员来赢得一场球赛;

再后来,他还会成为一名超级经理


七、决策高手

富兰克林说:人,在二十岁,意志支配一切;三十岁,机智支配一切;四十岁,判断支配一切

我们并非是命运的产物,而是命运降临之后我们的决策与行动的产物。

无论多么擅长计算,如果不能做出决策,采取行动,毫无意义。

有两种思维模式:决策和行动。

只有资源不可撤销地分配到行动中,决策才算是真正完成了。因此,我们需要付诸行动,并且思维从思考模式转换为行动模式。

绝大多数人在绝大多数时候,只是踩着西瓜皮做决定,其实放弃了决策的权力。

就像《解忧杂货店》所写:

其实所有纠结做选择的人心里早就有了答案,咨询只是想得到内心所倾向的选择。最终的所谓命运,还是自己一步步走出来的。

有些知识即使知道了也毫无用处,如果不知道就会很惨。例如下面几点:

内控点

德国籍犹太人早在 20世纪初于柏林提出了“格式塔心理学”理论,目的是以科学的方式去探索人类思维的谜团。

《思维简史》一书介绍道:

格式塔心理学家在揭示思维的有趣现象并将其巧妙呈现出来这一方面做出了极大的贡献——就好似暗夜中射出的一道微光,渐渐点亮了天空。

灰色在被紫色包围时看起来像绿色,被蓝色包围时则显得像黄色。如果你对别人喊:“别踩那只香蕉虫!”他一定以为你喊的不是“虫”,而是“皮”。

格式塔心理学家认为,在外部刺激与由此引起的人的内部感觉之间,并不存在必然联系,因为人的思维会以多种稀奇古怪的形式介入这个过程

形象地说,在外部世界对你施加的影响、以及与你内心的感受之间,应该预留一个缓冲空间。你要在这部分空间里,进行自己的决策。否则,你就活得如同一只惊弓之鸟。

芒格说:“宏观是我们要承受的,微观才是我们有所作为的地方。”

决策框架、流程、要素

《斯坦福商业决策课》里说:

决策是我们塑造未来的最强大的技能,做出良好决策是让人生最大限度地满足我们期望的关键。

要在行动之前判断决策质量,我们需要明白决策的本质内涵。

该书认为,每个决策都可以划分为六个不同要素,每个要素都必须高质量地解决。这就是优质决策的六大要素:

( 1)合适的框架;

( 2)创造性的选项;

( 3)相关及可靠信息;

( 4)清晰的价值和权衡;

( 5)充分论证;

( 6)付诸行动。

决策树

《不确定世界的理性选择》里写道:

我们会运用“决策树”这样的图解形式来描绘决策情境。这些图解的主要作用之一是对个人或公众决策情境中的一些要素进行总结,以便于将科学决策理论所涉及的一些原理加以运用,从而选择最佳行动方案。

决策树状图有一个约定俗成的惯例:我们用一张布满选择点和结果的假想地图来表示情境,这些选择点和结果会导致相应的后果,就像道路上表示岔路口的路标以及沿路的各种事物。

在图解的最右边,我们列出了可能的后果,这些后果都是和决策树中的选择点以及相应事件相联系的。我们将会用一些数字来概括决策者对于相关结果的评估(它们在传统意义上被称为“效用”,但我们更愿意称之为“个人价值”)。

决策树叶可以称为概率树。对其比较形象的比喻是,在每个有多种可能的节点,就出现了一个平行世界。我在另外一篇文章人人都有超级大脑,你我为何还这么蠢里有描述。

在本文第“四”节计算期望值的例子里,也可以用决策树的形式进行表达。

勇敢地做决定

除了投资,绝大多数情况下,随便做个决策都好过没有决策。

如查兰所言:你需要强大的内心,对于真正有意义的事,你要锲而不舍地施加你的影响力,还要有足够的想象力来寻找新方案。别怕得罪人,勇敢地表达你的主观判断。别怕,要勇敢做艰难决定。

以上这些算是“决策”的基本动作。下面,则是高手的自选动作

修剪决策树

影响一件事情的因素可能会很多。但是在决策树中,罗列过多选项,意义并不大。专家的建议是控制在6、7个以内。

曾有研究表明,顶尖职业棋手和普通棋手的计算速度差别并不大,但前者修建决策树更富有效率。

在一篇标注“原文/ Farnam Street”的译文里,有如下精彩论述:

我们通常认为收集尽可能多的信息将有助于我们做出最佳决策。有时候这是对的,但有时候这反而会拖累我们的进度。在某些情况下,它甚至会非常有风险。

许多顶尖的成功人士会采用简易而且通用的启发式决策法,以便省去针对单独情况的思考。

启发法(heuristics)是指依据有限的知识或不完整的信息在短时间内找到问题解决方案的一种方法。

  • 对史蒂夫·乔布斯而言,启发法的默认模式也许是“说不”。

  • 对沃伦·巴菲特而言,是对任何需要计算器或电脑辅助的决策“说不”。

  • 对埃隆·马斯克而言,启发法可能意味着从第一性原理*开始推演。

  • 亚马逊的创始人杰夫·贝佐斯为我们提供了另一个可以借鉴的决策方法。他会先问自己,这是一个可逆决策还是不可逆决策?

乔布斯的原则是不要第二选项,他甚至不要广告公司拿出候选方案,而是把第一套方案做到极致。当然,iPhone照样是要有不少原型机的。

简而言之,乔布斯如同屠夫一般修剪决策树

巴菲特天生就是个计算机。假如他的人肉计算机没算清晰,还要打开电脑算一下公司的未来现金流折现是多少,那就太不堪了。

而在贝佐斯看来,如果决策是可逆的( reversible),即使没有十全的信息,我们也要当机立断。如果决策是不可逆的( irreversible),那么我们最好三思而后行,确保考虑足够充分的信息,并尽可能透彻地审视问题后再行动。

贝佐斯利用这种启发法做了创立亚马逊的决策。他认识到,亚马逊就算失败了,他也能重回之前的岗位。他仍可以从失败中学到很多,并不会因此后悔。他敢于冒险,因为这项决策是可逆的。启发法很好地为他所用,并长期为他的决策提供指导。

可逆的那部分,高手们有“系统动力学”与“贝叶斯公式”。

概率化的思考与行动

在决策树上,各种情境被赋予的数值是概率化的,期望值也是概率化的,最终计算也是概率化的。

对于决策高手而言,要把好的结果和明智的决策分开。什么意思呢?就像职业球手,认真打好每个球(决策),而不会受到比分(结果)的影响。

进而言之,即使我们竭尽全力做对了大多数事情,仍然未必有好的结果。

在无知的情况下决策

《赋能》一书,探讨了复杂环境下的组织变革。作者写道:

2002年2月,美国国防部举行新闻发布会,申明目前还没有证据表明伊拉克拥有大规模杀伤性武器。当时的美国国防部部长唐纳德·亨利·拉姆斯菲尔德打趣地说了一句流传甚广的“金句”:

“如我们所知,有些是‘已知的已知’,即有些事我们知道自己知道;我们同样知道,也有些是‘已知的未知’,也就是说有些事我们知道自己不知道。但还有些事是‘未知的未知’,即我们并不知道自己不知道。”

在无知的情况下,我们如何做决策?本文已经提及了:

  • 概率化思考;

  • 应用算法;

  • 打造应对不确定性的敏捷团队。

以及后面要提及的:系统动力学、混合算法、贝叶斯法。

对付不确定性,塔勒布采用的是杠铃策略,一方面是因为他从事金融行业(按下键盘做决策),一方面是因为他是个捕鲸者(期货交易,等待大机会)。

但在现实中,绝大多数人都是捕虾者,而且需要物理意义上、更高频地劳作,该怎么办?


八、系统动力学&混合算法

连续决策

决策树?太理想化了,谁会用决策树来选择老婆老公?

装腔作势地在PPT上画一堆吓死人的图表,我们脑海中就浮现出麦肯锡之类。马云们对他们也满是嘲讽。

那些排行榜上的老板们,例如碧桂园的杨国强,难道还会用决策树吗?

我的回答是:

超级决策者们即使不画出决策树,甚至不懂决策树,但他们天生就是决策树修剪高手。

上面没有提及、现实中也经常被我们忽略的是:

无论工作还是生活,并非是有一个决策问题,被洗得干干净净地摆在盘子里,让你拿刀叉来解决。

现实中,我们面对的,往往是“连续决策”的难题。

这类连续决策难题,有些是不可逆的,表现为“我这辈子真倒霉”式的一个又一个意想不到的麻烦事儿;有些则是贝佐斯所说的“可逆”的决策,这次不行下次再来。

系统动力学

在《麻省理工深度思考法》一书里,作者讲了自己在MIT的一次经历。教授列举出两家有竞争关系的企业 ,让大家进行讨论 :

A公司和B公司是两家势均力敌的检测仪制造商。 

A公司的产品包装独特、设计新颖;B公司的产品样式简单粗糙 ,能看见配管 、传感器等内部构造 ,两家公司的产品性能及价格等几乎没有差别 。

教授当时提出了这样的问题 :

 “ 5年后 ,哪家公司会得到更大的市场份额 ? ”

看起来答案应该是A吧 。

然而 ,正确答案是B公司 。 

为什么呢?

  • B公司产品能看见内部构造 ,使用者可根据自身使用需求进行加工 。

  • B公司也通过学习吸收这些顾客公司的加工 ,推出相应的新产品 ,形成了一个良性循环 。结果 , B公司在顾客自身加工的基础上改良产品 ,让用户体验变得更好。

  • 反观A公司 ,用华丽的外表设计掩盖了本质性的东西。

反馈是冠军的早餐。--肯.布兰查德

作为MIT的明星课程,系统动力学的立场是:

不囿于表面现象及细枝末节 ,发掘事物背后隐藏的模型及动力机制 。

作者认为,系统动力学是通过隐藏于现象背后的 “模型 ”及 “动力机制 ”去捕捉本质的综合学科,如下图:

模型,是指产生某种现象的结构 ,包括构成要素及其相互关系 。

动力机制 ,是以长远目光观察模型产生的现象 ,以及今后将会产生怎样的结果及动向 ,即会出现怎样的模式 。

系统动力学强调:不还原要素 ,从全局捕捉

以往的科学方法论注重的是要素还原主义 ,而系统动力学则是基于俯瞰全局的角度。这有点儿像围棋的局部计算与大局观的关系。

不过,阿尔法狗的大局观那么厉害,也仍然属于某种“还原主义”,这里我们先不岔开去细究了。

一句话,决策树试图通过建立算法框架,去除非理性的影响,来进行判断和决策。

而系统动力学,则通过“全局观(模型)+动力机制+反馈系统”,来发掘 “条理清晰的答案 ” 。

混合算法

超级决策者厉害的地方在于整合决策的能力。决策树在他们那里,变成了一个“系统动力学”。

一个机构是“死”的还是“活”的,或者“活”得怎么样,取决于“系统动力学”运行之状况。

就像一辆车。有的车昂贵、豪华,但跑不起来;有得车跌跌撞撞,却能开去西藏。

如此我们便很容易理解:

为什么后期的雅虎,看似也有一手不错的牌,就是打得一塌糊涂;

为什么亚马逊、今日头条等公司业务纷杂,却有清晰的“飞轮效应”。

极少有CEO是系统工程学高手。我称之为“混合算法”,即:将技术、商业、社会、愿景、人性、市场中的不同变量,代入一个简洁完整的方程式,进行快速、锐利的决策。具备这类能力与天赋的CEO极少

混合算法+系统动力学=“飞轮效应”。伟大的公司都有明晰、可见的飞轮。不管规模多大,业务多复杂,都表现为聚焦、紧凑,拥有“单一”式的敏捷,如滚雪球般快速增长,并以反馈系统,具备自我更新、以及反脆弱的能力。作为结果,这些公司多为轻资产,利润率高,现金流极好。

混合算法高手,懂得“复杂理论+概率思维”。他们经常认为自己的成功是因为运气好,而非自夸神勇。他们相信“涌现”,而非宏大的无所不能者。这要求决策者既要着眼长远(有点儿牛顿力学式的),又要能够忍受眼前的混乱(有点儿量子力学式的)。

除此之外,还需要:演化与自我刷新。运气,执行力,学习力,缺一不可。并且成为企业文化的一部分,如贝佐斯所言,可传染、可习得。


九、了不起的贝叶斯

拉普拉斯妖

拉普拉斯被认为是因果决定论的信徒。

尽管被誉为法国的牛顿,拉普拉斯并不像牛顿那样信奉上帝。牛顿伟大的计算有赖于“上帝存在”这个前提。例如在太阳系,各个行星及其卫星的运动既受太阳的制约,又以难以捉摸的多种方式彼此互相影响。牛顿认为要使这一复杂的系统免于陷入混乱,需要有上帝的不时干预。

当拿破仑看到拉普拉斯的巨著《天体力学》时,问他为何不提上帝。拉普拉斯明确地回答:“陛下,我不需要那个假设。”

拉普拉斯在1814年提出假定:有一个智能生物能确定从最大天体到最轻原子的运动的现时状态,就能按照力学规律推算出整个宇宙的过去状态和未来状态。

这就是著名的“拉普拉斯妖”。作为预言先知,它传承毕达哥拉斯的“万物皆数”理论,能通过牛顿的简单公式轻易计算出宇宙中某个原子的过去和未来。

后来,这只物理学上著名的怪兽,被量子力学打败了。

可我们忽略了拉普拉斯对概率和统计学的巨大贡献,而概率正是量子力学时代的救命武器。

拉普拉斯给出了一个古怪的关于太阳会升起的概率方程,他声称这个概率是(d+1)/(d+2),d是过去太阳升起的天数。拉普拉斯声称这个公式可以应用于所有我们不认识的事物上,或是在我们已知,但由于我们不知道的事物而陷入泥潭的事物上。

塔勒布在他的书中,很隐蔽地盗用了拉普拉斯俏皮而智慧的、对“已知的未知事物”的概率预测,即,存在可很久的事物,未来会继续存在那么久。所以他只喝几千年前的饮料,只看经典之作,等等。

然而,如前所述,塔勒布是休谟和波普尔的信徒。而在“因果论”这一点上,拉普拉斯与休谟貌似属于“敌对阵营”。

又或者说,敌对阵营彼此间经常是犬牙交错、相恨相爱的。

牧师贝叶斯

有些人一生就是为一件事而来。

托马斯・贝叶斯,英国人,生于 1702年,曾在爱丁堡大学学习神学和数学。后来成为一名牧师。

贝叶斯一生中仅写过一篇数学论文,题为《关于概率思考中某一问题的解法的考察》。他试图以此证明上帝的存在,也许是因为不太有信心,贝叶斯将其搁置一旁。

贝叶斯去世后,他的朋友理查德・普莱斯整理了他的论文,于 1764年发表于皇家学会的《哲学纪要》。

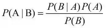
一直在进行类似研究的拉普拉斯,注意到贝叶斯的成果。1781年左右,拉普拉斯将贝叶斯对“逆概率”的理解,整理为沿用至今的公式:

没人能想到“简单的”贝叶斯公式有如此强大的力量。

这个公式对人类的个人决策和公共生活都带来了巨大的影响。

重温一个著名的题目:

某城有两个出租车公司,分别是蓝色和绿色公司。在所有出租车中 85%的出租车是蓝色, 15%的是绿色。一辆出租车涉嫌一桩深夜肇事逃逸案。目击者事后确认那辆车是绿色的。法庭测试了该目击者在夜间视觉条件下辨别蓝色和绿色出租车的能力,发现他在 80%的次数中能够正确辨别各种颜色,但 20%的次数却与另一颜色混淆。那么你认为肇事车辆如目击者所言是绿色的概率是多大呢?

用“概率树+贝叶斯公式”计算如下:

人类在认识和判断上,天生有一种直觉无法回避的偏差:

忽略基础概率。

以上题为例分析如下:

  • 在此问题中,最重要的基础概率是道路上蓝色、绿色出租车的比例,这应该成为判断的起始点——在所有证据(例如目击者证词)呈现之前的“先验概率”。

  •  Bar-Hillel( 1980)发现,当她将此问题呈献给不同群体的人时,人们普遍都忽视基础概率;当人们听到具体的目击证词时,基础概率便黯然遁入背景之中。

  • 于是,典型的答案是目击者的正确率为 0. 80,人们并未根据基础概率信息进行调整。

  • 如果我们将这些数字代入贝叶斯定理的公式中(见上图),我们可以得到正确答案: 0. 41。

在此,我们的焦点不是讨论人类直觉搞不掂基础概率,而是对基础概率的主观设定,然后根据新的信息进行调整。

诡异的魔力

贝叶斯公式的诡异之处在于,有些时候,作为基础概率的先验概率,可能只是主观猜测的,但仍然能够对未来做出预测。

这有异于休谟和波普尔的“我极可能错了”之怀疑和证伪。所以相当长一段时间,贝叶斯公式不被待见

贝叶斯统计的优势在于:

  • 在数据少的情况下也可以进行推测,数据越多,推测结果越准确;

  • 对所获的信息可做出瞬时反应,自动升级推测”的学习功能。

研究者发现:人们学习新的概念,往往能从单一的案例中学习,尤其是孩子。而机器学习则需要成千上万的数据才能达到类似的精度。人们也可以用更丰富的方式学习概念,例如在行动、想象和解释层面。

于是科学家们提出了一个计算模型,捕捉到人类的学习能力,为基于字母的手写体创造出直观的概念。在这模型背后,研究者使用了简单的贝叶斯程序完成。在这个具有挑战性的分类任务中,贝叶斯程序战胜了深度学习方法,达到了人类的水平。这个模型也通过了图灵测试。

一个简单的数学概念为何会产生如此魔力?

研究人员提出以下讨论:

  • 人类大脑的思考和决策过程,是否如同贝叶斯程序一样?

  • 我们知道达尔文用极其简单的模型解释了人类复杂的进化行为,那么贝叶斯定理会成为人类大脑的进化论吗?

  • 大脑认知是一种贝叶斯程序吗?

晕眩的四则运算

贝叶斯公式非常简单,只需四则运算就能搞掂。在《统计学关我什么事》一书中,作者用图示法,让我们能够更直观地进行贝叶斯计算。

问题:假设夫妻俩的第一个孩子是女儿。那么,接下来生的孩子依然是女儿的概率为多少?

在我过往提及大数定律的文章里,这道题的答案当然应该是50%。

然而,那是假设生男生女的概率各是50%。从医学上看,有些夫妻的先天条件可能更加偏向于生男或者生女。

但我们这对夫妻的状况一无所知。

贝叶斯推理的魅力正在于:即使没有事前的客观数据,也能进行推算。也就是说,可以主观设定先验概率,进行推算。

这可以更进一步解释为:学会这个方法,才能更深刻地理解“贝叶斯推理的思想”,全面了解它的神奇和不可思议,以及奇怪和可疑之处。

《统计学关我什么事》所采用的方法其实是决策树的某种变形,但决策树是没有“胖瘦”的,而下面的面积法,每个矩形的宽度对应的是“概率之概率”的数值,所以更加直观,可以完全摆脱贝叶斯公式,来进行计算。

第一步:猜一猜“概率的概率”。

即使我们也不知道这对夫妻的真实状况,姑且猜一下,他们生女孩的可能性或者是40%,或者是50%,或者是60%。

由于我们对上面三种可能性只是猜猜,所以这三种可能性各自的概率都估为1/3。

第二步:根据以上猜测的数字,开始计算三种可能性的情况下,生男孩女孩的概率。

第三步:把第二步的计算结果,装到第一步的三个“预测盒”里。

简化如下:

第四步:因为我们现在有“夫妻第一个孩子是女孩”的信息,所以我们根据此信息刷新一下。

第五步:根据更新后的信息,我们重新计算p(生女孩的可能性)分别为0.4、0.5、0.6三种情况下各自的概率。

如上图,三者的比例是4:5:6,所以各自的更新后的概率,由原来毛估估的1/3,变为:4/15,5/15,6/15。

第六步:我们先毛估估,然后用第一个孩子是女孩的已有信息刷新,得出了新的概率猜测。然后我们用此数据来计算第二胎生女孩的概率。

采用本文开始的期望值计算方法,或者用更直观的决策树计算:

x=0.4*0.27+0.5*0.33+0.6*0.4=0.513

所以,生第二个女孩的概率是51.3%。

像人一样

以上推理过程,如下图:

《统计学关我什么事》总结道:

主观和客观。我们在初中、高中阶段学习的概率,是一个客观的概念。也就是说,对于“某现象的概率是多少”的问题来说,答案是唯一的,无论是谁回答,都会给出一个唯一、客观的数值。在“掷骰子出现 1的概率为六分之一”的情况下,概率表示的是:丢出这个骰子后,出现的结果为 1的可能性的程度。这个答案对于所有人来说,都是相同的。

然而,本讲中提到的“概率”,并非上述的客观性概率。“第二胎还是女孩的的概率”这一情况下的“概率”,并不能像上述掷骰子事件的概率那样进行解释。应当解释为:你内心描绘的类似“信念程度”这样的概念。也就是说,并非“概率是多少”的问题,而应该理解为“你认为概率是多少”。

像这样,可以解释为“人的内心描绘的数值”的概率称为“主观概率”。主观概率在学校教育中并不涉及,因此,很多人会认为主观概率是不可信的。但在统计学和经济学中,“主观概率”始终占有一席之地。

总经理的概率。贝叶斯推理的强项是“无论在何种条件下,都能得出一个暂时的结果”。但是,这个结果并不像内曼-皮尔逊统计学那样,得出一个单方面的判断(非 A即 B),而是认为两种可能性都有,并赋予这两种可能性相应的比例关系,仅此而已。而“看到数值之后,做出判断”的工作,就留给统计学家们了。因此,贝叶斯推理也常被称为“总经理的概率”,它的含义是:贝叶斯推理就像是公司职员进行筛选和鉴别,最终由总经理根据下属报告上来的数值进行判断。

极大似然原理。世界上正在发生的事件,之所以发生,是因为它发生的概率大。

学习功能。贝叶斯推理中,修改过的“各个类别的后验概率”,已经使用了所有的信息。也就是说我们可以将其看作“从信息中学习到的结果”。贝叶斯推理正是具备了“收集信息并自动变聪明”的功能。

贝叶斯推理拥有“人类特性”的功能。我们总是对他人的能力和人性等进行评估。这时,我们并不是始终“调动迄今为止的记忆来进行评价”的,而是通过观察这个人的某些行为,做出对其印象的判断。一般情况下,这些行为事后就会被忘记了。在此基础上形成的印象,经历了下一次新的观察之后,也会再一次被转化为新的印象。

如果我们不断地重复“信息” →“修改印象” →“遗忘信息”的过程,慢慢地就会形成了对这个人的固定评价。

重要的是,像这样通过逐步“修改印象”得出的结果,与“通过迄今为止的所有观察,一次性形成的印象”之间,并没有太大的偏差。

因此,我们没有必要总是“从白纸开始思考”,这样会耽误大量的时间和精力。

贝叶斯推理,其实就像我们日常每天都在做的“印象的修改”和“学习”等一样,只不过是运用了系统的数值来进行计算。

简单的真理

贝叶斯公式这类计算,能够让我们对某些简单的大道理有更深刻的理解。只有洞察了背后的原理,真理才能被称为真理,否则与鸡汤无异。

如此,我们便能理解为什么达利欧说:卷入快速学习的反馈循环之中是件令人兴奋的事情。

我们也才算明白了“复盘、飞轮、刷新、升级”的价值与意义。

假如我们仅从时间的某个切片,二维地看贝叶斯公式,其实只是一个简单的四则运算罢了。

但是,在时间的这个维度加入以后,切片与切片之间建立起联系,魔法出现了。

贝叶斯的神奇之处在于,你在主观设置先验概率时,并不需要那么精确。

我与一些牛人接触过程中发现,他们并不比别人更聪明,当他们接触到新鲜事物时,经常因为天赋一般,而不能有领先一步的判断,你甚至会怀疑这个家伙如此普通,凭什么拥有这么多?

芒格曾在演讲里说:

不少人都能在晋级测试或快速计算中表现得极为机敏,但他们接二连三地犯愚蠢的错误,这仅仅因为脑海中层出不穷的疯狂念头。

尼采曾说过:“总会有人以自己拥有跛脚为荣。”如果你曾遭受失败而不思悔改,将以自己的方式滑向浅薄。妒忌、太多的自我怜悯、偏激的思想、强烈的愚忠,所有这些作为一个明显的标志,表明你已经失去大脑并将被铁锤所痛击。

进而,芒格分析了巴菲特的旷世成功之谜:

具有决定性的因素是沃伦是这个世界上最佳的持续学习机器。

乌龟最终战胜兔子是持续努力的结果,一旦你停止了学习,整个世界将从你身旁呼啸而过。

巴菲特这类人,拥有一个强大的贝叶斯大脑。

具有嘲讽意味的是,小孩子天生拥有鲜活的贝叶斯大脑,我们却用刷题将他们变成机器。

贝叶斯的未来

如前所述,科学哲学家卡尔·波普尔认为,一种理论必须是可证伪的才是科学的理论。

但有些科学理论无法证伪。如弦论,平行宇宙理论。

一群物理学家、哲学家和历史学家,曾聚集在德国慕尼黑参加一个三天的科学哲学研讨会。

基础物理学正面临一大难题。在场的科学哲学家指出:

  • 波普尔派的可证伪性已经被贝叶斯的确定性理论所替代;

  • 贝叶斯理论允许将理论建在从未直接观察的现象,然后根据后续的信息调整可信度。

  • 贝叶斯理论的框架比波普尔理论更灵活。

在《终极算法》里,作者分析了机器学习的五大学派,贝叶斯学派是其中之一:

贝叶斯学派最关注的问题是不确定性。

所有掌握的知识都有不确定性,而且学习知识的过程也是一种不确定的推理形式。

那么问题就变成,在不破坏信息的情况下,如何处理嘈杂、不完整甚至自相矛盾的信息。

解决的办法就是运用概率推理,而主算法就是贝叶斯定理及其衍生定理。

贝叶斯定理告诉我们,如何将新的证据并入我们的信仰中,而概率推理算法尽可能有效地做到这一点。


十、在无知的宇宙飞行

精益创业=试错+贝叶斯

随着这个世界更加数字化、更加金融化,贝叶斯公式如鱼得水。

这个时代的新常态,有四个关键词:VUCA。

V是动荡;U是不确定;C是复杂;A是模糊。

世界的运行规则,由拉普拉斯的“决定论”,变为不可测的“复杂论”。

龚焱教授分析了硅谷的创业模式的演变。

硅谷传统的创业模式是“火箭发射式模式”,即GBF模式:

GET(获取好创意),BIG(大市场),FAST(快速发展)。

但这需要天才人物的天才计划,完美创意的完美执行。最失败的是,在充分准备后按下火箭 按钮,却无声无息。既没有正面效应,也没有负面反馈。

随后,数字殖民地崛起,算法推动打了荷尔蒙的科学实验,硅谷进入著名的“精益创业”时代。

精益创业=证伪+贝叶斯。

创业者快速试错,多次迭代,一步步模拟接近真实客观世界。

火箭发射模式追求:可度量、可预测、确定性;

而精益创业模式则是: 不可度量、 不可预测、不确定性。

其实孩子的成长也适用于“精益创业”模式,可父母们总想按照火箭发射的模式来设定孩子的未来。

精益创业有五项基本原则:1、用户导向原则;2、行动原则;3、试错原则;4、聚焦原则;5、迭代原则。

龚教授总结道:

商业设计提供关键的假设,用户开发提供实验的场景和通道,MVP提供数据,然后再把数据回到基本假设,精益创业是一个基于试验的方法论。

一个初创公司本质上是一个学习机器,你的学习的速度,迭代的速度决定了你能跑多快,跑多远。

贝叶斯定理的收敛性。让出发点、认知完全不同的认知主体,通过不断收集信息和迭代,最后认知会趋同。

在实际应用中,精益创业可能的麻烦是:

1、贝叶斯的问题在于,有些先验和现实之间差别太大,导致了过高的方差以至于过拟合。输入的太垃圾,输出的还是垃圾。

2、试错性学习,有可能对短期的回报最大化,但是有可能让你丧失重要的长期性回报。

3、大方向还是要靠创始人的战略定位。所以快速试错首先应该是在某个半径内进行的。

从亚马逊和特斯拉等公司来看,既需要自上而下的愿景,又需要自下而上的实践,二者缺一不可,且不能彼此替代。

愿景本身也是计算的一部分。很多时候是决定性的。

人和公司一样,需要指北针。

所以,伟大的企业都有一个共同点:

他们都有一个崇高而热切的目标。

 Quirky的理想是“让发明触手可及”,奇点大学的理想是“为 10亿人带来积极的影响”。这个目标就是“宏大变革目标”( MTP, Massive Transformative Purpose)。

《指数型组织》作者认为,足够鼓舞人心的 MTP,本身就是一种竞争优势,它会激励人们创造出自身的社区、群体和文化。

这方面的极致,恐怕就是Space X的MTP了:

去火星,让人类成为跨星球物种。

上帝和科学

凯恩斯曾说:“牛顿不是理性时代的第一人,他是最后的一位炼金术士。”

那个时代炼金术与科学还没有明确的区别。又或者,多年以后人们看我们如今也与炼金术无异?

但是,如果牛顿没有依靠神秘学思想来解释穿过真空的超距作用,他可能也不会发展出他的重力理论。

牛顿反对将宇宙解释为一部纯粹的机器,譬如一座大钟。他说:“引力解释了行星的运动,但却不能解释谁让行星运动起来的。上帝统治万物,知晓所有做过和能做的事。”

另一方面,牛顿是完整的物理因果关系创始人,因果关系正是经典物理学的基石。

作为与西方哲学和宗教的态度分歧,中国的宇宙学家们没假设有某种不动的第一推动者通过自然法则来管辖宇宙,而是相信天体的行为与凡间的人类社会相关联。这被视为中国没有产生近代实验科学的原因之一。

斯宾诺莎则把自然看成是上帝本身。对他来说,上帝在一切事物之内,是支配宇宙的物理和自然法则的系统本身。

爱因斯坦推崇斯宾诺莎,但他不认为自然是上帝,而是支配宇宙的完美法则的化身,人类是可以通过理性探索去了解其中一部分的。

而在霍金眼里,宇宙中的所有结构都起源于量子力学的不确定性原理允许的最小起伏。

信念

我更愿意视休谟为“不可知论者”,而非彻底的“怀疑主义者”。

塔勒布认为休谟的一生基本上印证了他对自己的描述:“这是一个性情温和,能够自制,坦诚而友好,愉快而幽默,能够依附但不会产生仇恨,各方面感情都十分适度的人。”

亚当·斯密在休谟的讣告结尾写道:“总之,无论在休谟生前还是死后,我始终认为,他在人的天性弱点所允许的范围内已经近乎一个全智全德之人。”

休谟是第一个认真考虑信念问题的哲学家。

对于信念的作用,休谟的基本看法是,信念强化了我们的有关观念,使之变得更加强烈、生动,这有助于在因果的推论中,使我们能够从原因的“印象”中,通过“相信”这一因果联系的存在,藉此推移到结果的“观念”。

康德将确认我们“视其为真”的根据之充分性分为三个层次:“意见、信念和知识”。

  • 意见属于最低的层次,在主观上、客观上都不充分;

  • 信念高于意见,在客观上不充分,在主观上充分;

  • 知识属于最高的层次,在主观上和客观上都充分。

康德把主观上根据的充分性叫做“确信”,客观上根据的充分性叫做“确定性”。

罗素视信念为“有机体的一种状态”,是由“肌肉、感官和情绪,也许还有某些视觉意象所构成的某种状态”,包括有身体上与心理上的两方面表现。

英国哲学家莱姆赛的信念论兼有实用主义行为主义的色彩。

首先,他把信念看作决定我们行动的力量;我们是否做出某种行动,取决于我们信念的力度。例如,在“火车要开动”这一信念与“到火车站赶火车”的行为之间,存在着一种可测度的联系。信念的力度越大,行动的欲求也相应越大;并且他还用“概率”来测度信念的力度

其次,最有影响的,是他的“信念是我们藉以驾驶的邻近空间的路线图”的说法。

在这篇漫长的文章里,从荒诞的科幻小说,到概率、算法、证伪、贝叶斯,信念贯穿其中。当我们为决策树的分枝概率赋予数值,当我们在有限的信息下为先验概率“毛估估”,当我们穿行于创业维艰的夜晚,当我们在虚无的宇宙间飘浮,信念既是我们回应世界的方式,又决定了世界最终如何支配我们。

无论我们多么无知,我们的信念多么不靠谱,万物之神都会赐予人类一些贝叶斯公式般的摇篮,令我们如宇宙里的孩子般蹒跚向前。


最后


曾有人问我,怎么看时间和概率是上帝的左右手?

我答:时间、概率、上帝,这三者我不确定是否真的存在,但皆令我迷恋。如果世界由时间和空间构成,概率决定了你某时出现在某地的可能性大小,又或者只是你在某时某地对这个世界的观察、或错觉。

如果一切皆算法,情感、美学、道德是否不过是一套公式?自由意志是否仍然存在?

我胡乱写道:

1、根据贝叶斯定律,信念给先验概率赋值,令计算得以进行。意义、情感等等是信念赋值的结果,或者就是先验概率;

2、自由意志靠幻觉实现,靠自我怀疑强化,或只是“涌现”的结果;

3、意义等是被不断优化的“恒定变量”,既给人类“现在”的激励,也维持“将来”的稳定。

我觉得人对自由意志的怀疑,是自由意志最有趣的地方之一。

《大河湾》里写道:“我隐约感到人活着就是为了变老的,为了完成生命的跨度,获取人生阅历。人活着是为了获取人生阅历;而阅历在本质上是无形的。快乐和痛苦——首先是痛苦——都没有什么意义。感受痛苦和寻求快乐一样,都没有任何意义。”

我不赞成、也不欣赏奈保尔的这类“无意义”。关于“人”,我愿意跟随黑格尔说,人的本质是精神,而精神的本质是自由。宇宙的辽阔,与概率的不确定性,赋予了我们以自由,哪怕只是错觉。

马斯克用重型猎鹰火箭将特斯拉跑车送上太空,仪表盘上写着“Don't Panic”,这是写在《银河系漫游指南》电子书封面上的一句话,意思是“不要恐慌”。

《银河系漫游指南》尝试用“虚无主义”来警示人类需正视自身的幼稚与渺小,不要过度执着于追寻永远无法得出的答案。

然而却激励了一个人如此执着于飞向火星。

我隐隐约约记得不知是谁说的一句话:这个世界以我们的叩问方式来展现祂的某一面

由此,我们或能轻巧而简短地回答一下--生命、宇宙以及任何事情的终极答案是什么?

那就是:

你。







后记:

1、本文以“期望值~决策树~贝叶斯公式”为骨架,主线则是人类对未知、确切说是“未知的未知”的好奇。在宏大叙事时以个体命运为主线,会兼顾理性框架与情感牵挂,例如电影《泰坦尼克》。后者本身也驱动了我写这么多。2、时间既不可逆,也不能加速。而贝叶斯公式却能以其“信念”和“逆概率”,参与到对未来的预测当中。现实中极少有人需要真正计算贝叶斯公式,甚至连使用决策树判断也显得迂腐多余。可是,一旦懂得这些原理,世界将为我们展现更多细节,鸡汤也会多出几分味道。 3、我照例以个体主义的角度来完成本文,即使在涉及大画面时依然如此。并非我多么爱人类,看起来我也不够爱自己。对于虚无主义者、或宿命论者,概率是一种很好的抒情工具。我对宿命论的理解类同于这句话:“每个人都在试图逃避自己的命运途中,与自己的命运不期而遇。”也许可以用数学来论证这一点,否则命运便无法以闭环的完整形式,被交付给个体。 4、我坚持在一篇文字里完整呈现出某个结构,是因为不想切断内在的推理线索。除了写作的情绪体验,这个结构(或者只是一条模糊的线索)可能是本文唯一有价值的。然而在完成后,我也没花太多时间去渲染这种连贯性。就像我并没浪费时间在用一些改头换面的文字来替代本文中大量的引用,以便于将自己有限的理解和想象力花在发现某些新的东西,至少是我觉得新鲜有趣的新东西。很庆幸自己有这种自由。 5、懂得概率,未必会对一个人的现实生活有多大改变。概率并不因为你的谦恭而不嘲弄你。但,正如“重要的不是如何发生,而是如何被追忆”,了解一点儿概率,以及“概率的概率”如何运行,会让我们在时间面前更加平静。平静是一种格外强大的计算力,但本文太长了,装不下这两个字。

来源: 老喻在加   孤独大脑



工业互联网




产业智能官  AI-CPS


通过工业互联网操作系统(云计算+大数据+物联网+区块链+人工智能),在场景中构建:状态感知-实时分析-自主决策-精准执行-学习提升的机器智能认知系统;实现产业转型升级、DT驱动业务、价值创新创造的产业互联生态链




版权声明产业智能官(ID:AI-CPS推荐的文章,除非确实无法确认,我们都会注明作者和来源。涉权烦请联系协商解决。联系、投稿邮箱:[email protected]





登录查看更多
0

相关内容

商业数据分析,39页ppt
专知会员服务
165+阅读 · 2020年6月2日
多智能体深度强化学习的若干关键科学问题
专知会员服务
195+阅读 · 2020年5月24日
Python数据分析:过去、现在和未来,52页ppt
专知会员服务
103+阅读 · 2020年3月9日
【强化学习】深度强化学习初学者指南
专知会员服务
184+阅读 · 2019年12月14日
95岁的查理·芒格,一周读二十本书
三联生活周刊
7+阅读 · 2019年5月22日
吴军:数学,为人生之题解出漂亮的答案
算法与数学之美
7+阅读 · 2018年4月8日
【财富空间】一个人真正的资本是什么
产业智能官
6+阅读 · 2018年3月16日
关于医学影像背后的科学,你都知道多少?
中科院物理所
3+阅读 · 2017年12月14日
Arxiv
4+阅读 · 2019年12月2日
Doubly Attentive Transformer Machine Translation
Arxiv
4+阅读 · 2018年7月30日
Arxiv
11+阅读 · 2018年4月25日
Arxiv
27+阅读 · 2018年4月12日
Arxiv
29+阅读 · 2017年12月6日
VIP会员
最新内容
美国与以色列如何在攻击伊朗中使用人工智能
专知会员服务
2+阅读 · 今天16:20
《自动化战略情报管控》
专知会员服务
2+阅读 · 今天14:31
得失评估:审视对伊朗战争的轨迹(简报)
专知会员服务
2+阅读 · 今天14:19
【CMU博士论文】迈向可解释机器学习的理论基础
专知会员服务
2+阅读 · 今天12:23
基于数据优化的人机协同与机器人僚机
专知会员服务
6+阅读 · 今天2:08
相关VIP内容
商业数据分析,39页ppt
专知会员服务
165+阅读 · 2020年6月2日
多智能体深度强化学习的若干关键科学问题
专知会员服务
195+阅读 · 2020年5月24日
Python数据分析:过去、现在和未来,52页ppt
专知会员服务
103+阅读 · 2020年3月9日
【强化学习】深度强化学习初学者指南
专知会员服务
184+阅读 · 2019年12月14日
相关论文
Arxiv
4+阅读 · 2019年12月2日
Doubly Attentive Transformer Machine Translation
Arxiv
4+阅读 · 2018年7月30日
Arxiv
11+阅读 · 2018年4月25日
Arxiv
27+阅读 · 2018年4月12日
Arxiv
29+阅读 · 2017年12月6日
Top
微信扫码咨询专知VIP会员