图自编码器的起源和应用

2020 年 3 月 9 日 PaperWeekly


©PaperWeekly 原创 · 作者|刘昊东

学校|电子科技大学硕士生

研究方向|推荐系统,表示学习


Kipf 与 Welling 16 年发表的「Variational Graph Auto-Encoders」提出了基于图的(变分)自编码器 Variational Graph Auto-Encoder(VGAE),自此开始,图自编码器凭借其简洁的 encoder-decoder 结构和高效的 encode 能力,在很多领域都派上了用场。

本文将先详尽分析最早提出图自编码器的「Variational Graph Auto-Encoders」这篇论文,将从以下几个角度进行分析:

  • VGAE 的思想 
  • 没有变分阶段的 GAE 的 encoder、decoder 阶段 
  • 有变分阶段的 VGAE 
  • 如何从确定分布再到从分布中采样 
  • 实验效果分析

然后会再介绍两篇关于如何应用图自编码器的文章。

Variational Graph Auto-Encoders


论文标题:Variational Graph Auto-Encoders

论文来源:NIPS 2016

论文链接:https://arxiv.org/abs/1611.07308


1.1 论文概览


先简单描述一下图自编码器的 intention 和用途:获取合适的 embedding 来表示图中的节点不是容易的事,而如果能找到合适的 embedding,就能将它们用在其他任务中。VGAE 通过 encoder-decoder 的结构可以获取到图中节点的 embedding,来支持接下来的任务,如链接预测等。

VGAE 的思想和变分自编码器(VAE)很像:利用隐变量(latent variables),让模型学习出一些分布(distribution),再从这些分布中采样得到 latent representations(或者说 embedding),这个过程是 encode 阶段

然后再利用得到的 latent representations 重构(reconstruct)出原始的图,这个过程是 decode 阶段。只不过,VGAE 的 encoder 使用了 GCN,decoder 是简单的内积(inner product)形式。

下面具体讲解变分图自编码器(VGAE)。先讲 GAE,即图自编码器(没有变分)。

1.2 图自编码器(GAE)



统一规范,规定几个 notation 如下:

  • 图用   表示,其中   表示节点集合,  表示边集合
  • : 邻接矩阵
  • : 度矩阵
  • : 节点数
  • : 节点的特征(features)维度
  • 表示节点的特征矩阵
  • : embedding 维度
  • : 节点的 embedding
1.2.1 Encoder
GAE 使用 GCN 作为 encoder,来得到节点的 latent representations(或者说 embedding),这个过程可用一行简短的公式表达:


将 GCN 视为一个函数,然后将   和   作为输入,输入到 GCN 这个函数中,输出   代表的就是所有节点的 latent representations,或者说 embedding。
如何定义 GCN 这个函数?kipf 在论文中定义如下:


其中,  和   是待学习的参数。
简言之,这里 GCN 就相当于一个以节点特征和邻接矩阵为输入、以节点 embedding 为输出的函数,目的只是为了得到 embedding
1.2.2 Decoder
GAE 采用 inner-product 作为 decoder 来重构(reconstruct)原始的图
上式中,  就是重构(reconstruct)出来的邻接矩阵。
1.2.3 How to learn
一个好的 Z,就应该使重构出的邻接矩阵与原始的邻接矩阵尽可能的相似,因为邻接矩阵决定了图的结构。因此,GAE 在训练过程中,采用交叉熵作为损失函数:


上式中,  代表邻接矩阵   中某个元素的值(0 或 1),  代表重构的邻接矩阵   中相应元素的值(0 到 1 之间)。
从损失函数可以看出来,希望重构的邻接矩阵(或者说重构的图),与原始的邻接矩阵(或者说原始的图)越接近、越相似越好。
1.2.4 小结
图自编码器(GAE)的原理简明、清晰,训练起来不麻烦,因为可训练的参数只有   和  ,kipf 的代码实现中,这两个参数矩阵的维度分别是   和  ,如果  ,也只有 32512 个参数,相当少了。
下面是 VGAE(变分图自编码器)。
1.3 变分图自编码器(VGAE)


在 GAE 中,一旦 GCN  中的   和   确定了,那么 GCN  就是一个确定的函数,给定   和  ,输出的   就是确定的
在 VGAE 中,  不再由一个确定的函数得到 ,而是从一个(多维)高斯分布中采样得到,说得更明确些,就是先通过 GCN 确定一个(多维)高斯分布,再从这个分布中采样得到  。下面简单描述一下这个过程。
1.3.1 确定均值和方差
高斯分布可以唯一地由二阶矩确定。因此,想要确定一个高斯分布,只需要知道均值和方差。VGAE 利用 GCN 来分别计算均值和方差
这里有两个要注意的地方,第一个是 GCN 的下标,  和   中的   是相同的、共享的,但   是不同的,因此用下标来作区分;第二个是通过   得到的是  ,这样可以方便后续的计算。
1.3.2 采样
既然已经得到了均值和方差(准确来说应该是均值向量和协方差矩阵),就可以通过采样得到   了,但是,采样操作无法提供梯度信息,也就是说,反向传播在采样操作无法计算梯度,也就无法更新   和  。解决办法是重参数化(reparameterization)
简单说一下重参数化。如果   服从  ,那么   就服从  。因此,可以先从标准高斯中采样一个  ,再通过   计算出  ,这样一来,  的表达式清晰可见,梯度信息也就有了。
VGAE 的 decoder 也是一个简单的 inner-product,与 GAE 的 decoder 没有区别。
1.3.3 How to learn
VGAE 依然希望重构出的图和原始的图尽可能相似,除此之外,还希望   计算出的分布与标准高斯尽可能相似。因此损失函数由交叉熵和 KL 散度两部分构成
其中,  是 GCN  计算出的分布,  是标准高斯。
不过,论文中的优化目标是这样的:


这是用变分下界写出的优化目标,第一项是期望,第二项是 KL 散度。
1.4 效果分析
Kipf 和 Welling 在三个数据集上进行了效果分析,任务是链接预测,详情见下表:


可见,(变分)图自编码器在三个数据集上的效果都很好,不过, 注意带星号的 GAE* 和 VGAE*,这两个模型是不带 input features 的,就是说节点的 features 就是 one-hot 向量,这种情况下,(变分)图自编码器的效果不仅不比 SC 和 DW 好,甚至还有点差
不过,Kipf 和 Welling 在论文中指出,SC 和 DW 不支持 input features,因此能够使用 input features 是 VGAE 的特点之一。
以上是对图自编码器的开山论文 Variational Graph Auto-Encoders 的介绍,接下来看看图自编码器在最近两年的一些应用。

Graph Convolution Matrix Completion


论文标题:Graph Convolution Matrix Completion

论文来源:KDD 2018

论文链接:https://www.kdd.org/kdd2018/files/deep-learning-day/DLDay18_paper_32.pdf


2.1 论文概览


这是 Kipf 作为二作的一篇解决推荐系统中 matrix completion 问题的文章,发表在 18 年的 KDD。
这篇文章提出,matrix completion 任务可以视作为 graph 上的链接预测问题,即 users 和 items 构成了一张二部图,图上的边代表相应的 user 与 item 进行了交互,于是 matrix completion 问题就变成了预测这张二部图上的边的问题。
为了解决 users-items 二部图上的链接预测问题,这篇文章提出了基于在二部图上进行 message passing 的图自编码器框架 GCMC,且引入了 side information,还分析了 side information 对于推荐系统中冷启动的影响。

2.2 模型详解

先简要分析一下 GCMC 的整体框架。首先,GCMC 把 users 和 items 的初始 features  和   (one-hot 向量)输入到一个 GCN 层中,得到 users 和 items 的 hidden representations:  ,再将 users 和 items 的 side information   和   输入到一个 Dense 层中,得到 side information 的 hidden representations: 
然后将初始 features 和 side information 的 hidden representations 一起输入到一个 Dense 层中,得到 users 和 items 最终的 embeddings:  (以上为 encoder 阶段),最后通过计算内积(decoder 阶段),预测 user 对 item 的喜好程度。
下面给出每一步的详细计算方法。
首先,GCN 层的计算方式如下:


其中,  是 item j 传递给 user i 的信息,下标 r 指定了 user i 给 item j 的评分是 r(由于用户的评分类别不止一种,因此使用不同的 r 来区分,即  )。
 是参数矩阵,  是归一化因子,可以是   或者  ,其中   表示 user i 的邻居数。accum 也有两种选择:stack 或者 sum。  表示激活函数,可以是 sigmoid、ReLU 等。
得到了 user i 的初始 feature 的 hidden representation   后,再将 side information 的 hidden representation 与   一起输入进一个 Dense 层即可得到 user i 的最终 embedding:


其中,右式表示得到 side information 的 hidden representation 的 Dense 层,左式表示得到最终 embedding 的 Dense 层。
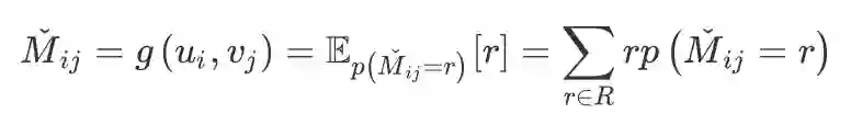
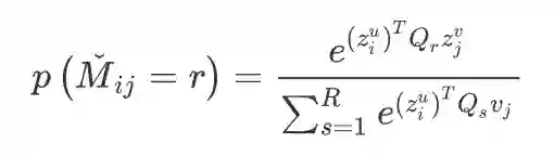
在得到 users 和 items 的 embeddings 后,通过下式来预测 user i 对 item j 的评分属于 r 的概率:


最终,GCMC 对 user i 对 item j 的评分的预测为:


2.3 效果分析
作者使用了 6 个数据集,可以分为 3 类:
  • 对比的方法只利用 users 或 items 一方的 features:ml-100k
  • GCMC 和 对比的方法都不使用 side information:ml-1m,ml-10m
  • Users 和 items 的 side information 以 graph 的形式呈现:Flixster,Douban,YahooMusic
实验结果:


实验结果表明,在有 side information 时,GCMC 的效果好于其他方法,尤其是当 side information 以 graph 的形式存在时,GCMC 的效果优势更加明显。而当没有 side information 时,GCMC 也表现出了 competitive results。
作者还分析了 side information 对冷启动的影响,文中以 ml-100k 为例,将一些用户的评分数量人为减少,然后对比了 GCMC 分别在使用和不使用 side information 时的效果。



从上图可以看出,使用 side information 的 GCMC 效果更好,而且随着冷启动用户的人数增多,引入 side information 带来的效果提升更加明显。
2.4 小结
该篇论文将推荐系统中的 matrix completion 任务视作 graph 上的链接预测任务来处理,并使用图自编码器,引入 side information,在一些 benchmark 数据集上超过了一些 SOTA 方法,而且还分析了 side information 给冷启动带来的帮助。
GraphCAR


论文标题:GraphCAR: Content-aware Multimedia Recommendation with Graph Autoencoder

论文来源:SIGIR 2018

论文链接:https://dl.acm.org/doi/10.1145/3209978.3210117


3.1 论文概览


上一篇论文中,GCMC 的目标是解决 matrix completion 问题,即预测 user 对 item 的评分是多少。这篇文章要解决的问题可以归类为推荐系统中 top-n 推荐问题,即给用户推荐 n 个 ta 可能最感兴趣的 items。
这篇文章指出,用户在选择图片或者视频时,图片或视频本身的 multimedia content 是最重要的因素,但已有的一些方法没能对 multimedia content 给予足够的重视,
因此,基于 GAE 的思想,该文章提出了 GraphCAR 模型,除了 users 和 items 之间的交互数据,该模型还利用了 users 的 attributes 和 items 的 multimedia content。

3.2 模型详解

GraphCAR 的整体框架基本遵循着 GAE 的框架,即先使用 GCN 获取 users 和 items 的 embeddings,然后使用内积来预测 user 对 item 的偏好评分。
首先,在 GCN 阶段(即 encoder 阶段),为了获取 users 的 embedding,GCN 使用 user-item 的交互矩阵   和 users 的 attributes 矩阵   作为输入,然后输出 users 的 embeddings 矩阵 


其中   是参数矩阵。对于 items 的 embeddings,只需要将 users attributes 矩阵换成 items 的 feature 矩阵   即可(  即为 multimedia content):


得到 embeddings 之后,便可利用内积形式的 decoder 计算出预测的 preferences: 
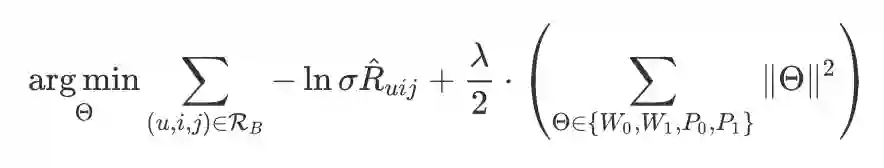
由于 GraphCAR 要解决的是 top-n 推荐问题,因此目标函数选择了 BPR pairwise 目标,即:


和 GCMC 的不同之处在于,GraphCAR 直接对 users 和 items 的 interactions 和 side information 一起建模,而不是像 GCMC 中那样,先分别得到初始 features(one-hot 向量)和 side information 的 hidden representations,然后再得到最终的 embeddings。
对比下来,GraphCAR 的方式更直接,但貌似这种方法只能在有 users 和 items 的 side information 的情况下才能生效。
3.3 效果分析
论文在 Amazon 和 Vine 两个数据集上进行了实验,其中 Amazon 提供了 image features,Vine 提供了 video features。实验结果如下:
另外,作者还分析了 users 交互过的 items 的数量对 GraphCAR 的影响:
从图中可以看出,GraphCAR 对于交互数量较少的 users 的效果优势并不明显,而当 users 的交互数量增多时,效果优势开始慢慢明显起来。
3.4 小结
这篇论文要解决的问题是推荐系统中 top-n 推荐的问题,在分析发现以往的方法并没有充分利用 items 本身的 multimedia content 后,该论文采取了直接用 GCN 对 user-item interactions 和 side information 建模的方式来得到 embeddings,随之而来的问题是,如果不存在 users attributes 或 items multimedia content 可利用,GraphCAR 可能需要改变一些处理的方式。

总结
图自编码器最开始是以变分图自编码器的形式提出的,但近两年基本上都应用的是没有变分阶段的图自编码器。
GAE 的形式很简洁,首先通过 GCN 得到图中节点的 embeddings(encoder 阶段),然后再根据具体任务重构出原始的图的特点(decoder 阶段)。
从以上三篇文章可以看出,decoder 阶段都采取的是两层 GCN 结构,而 decoder 阶段都采取的是 inner-product 结构,可以看出,也许结构上还有改进的空间,而不是仅限于两层 GCN 或者简单的内积形式。



点击以下标题查看更多往期内容: 





#投 稿 通 道#

 让你的论文被更多人看到 



如何才能让更多的优质内容以更短路径到达读者群体,缩短读者寻找优质内容的成本呢?答案就是:你不认识的人。


总有一些你不认识的人,知道你想知道的东西。PaperWeekly 或许可以成为一座桥梁,促使不同背景、不同方向的学者和学术灵感相互碰撞,迸发出更多的可能性。 


PaperWeekly 鼓励高校实验室或个人,在我们的平台上分享各类优质内容,可以是最新论文解读,也可以是学习心得技术干货。我们的目的只有一个,让知识真正流动起来。


📝 来稿标准:

• 稿件确系个人原创作品,来稿需注明作者个人信息(姓名+学校/工作单位+学历/职位+研究方向) 

• 如果文章并非首发,请在投稿时提醒并附上所有已发布链接 

• PaperWeekly 默认每篇文章都是首发,均会添加“原创”标志


📬 投稿邮箱:

• 投稿邮箱:[email protected] 

• 所有文章配图,请单独在附件中发送 

• 请留下即时联系方式(微信或手机),以便我们在编辑发布时和作者沟通




🔍


现在,在「知乎」也能找到我们了

进入知乎首页搜索「PaperWeekly」

点击「关注」订阅我们的专栏吧



关于PaperWeekly


PaperWeekly 是一个推荐、解读、讨论、报道人工智能前沿论文成果的学术平台。如果你研究或从事 AI 领域,欢迎在公众号后台点击「交流群」,小助手将把你带入 PaperWeekly 的交流群里。



登录查看更多
7

相关内容

自动编码器是一种人工神经网络,用于以无监督的方式学习有效的数据编码。自动编码器的目的是通过训练网络忽略信号“噪声”来学习一组数据的表示(编码),通常用于降维。与简化方面一起,学习了重构方面,在此,自动编码器尝试从简化编码中生成尽可能接近其原始输入的表示形式,从而得到其名称。基本模型存在几种变体,其目的是迫使学习的输入表示形式具有有用的属性。自动编码器可有效地解决许多应用问题,从面部识别到获取单词的语义。
深度学习目标检测方法及其主流框架综述
专知会员服务
148+阅读 · 2020年6月26日
专知会员服务
63+阅读 · 2020年3月4日
【反馈循环自编码器】FEEDBACK RECURRENT AUTOENCODER
专知会员服务
23+阅读 · 2020年1月28日
中文知识图谱构建技术以及应用的综述
专知会员服务
318+阅读 · 2019年10月19日
一文读懂图卷积GCN
计算机视觉life
21+阅读 · 2019年12月21日
专栏 | 深入理解图注意力机制
机器之心
25+阅读 · 2019年2月19日
【论文笔记】ICLR 2018 Wasserstein自编码器
专知
32+阅读 · 2018年6月29日
机器学习(29)之奇异值分解SVD原理与应用详解
机器学习算法与Python学习
6+阅读 · 2017年11月30日
GAN的数学原理
算法与数学之美
16+阅读 · 2017年9月2日
【原理】GAN的数学原理
GAN生成式对抗网络
8+阅读 · 2017年8月30日
【深度学习基础】4. Recurrent Neural Networks
微信AI
16+阅读 · 2017年7月19日
Arxiv
6+阅读 · 2018年4月4日
Arxiv
7+阅读 · 2018年3月12日
Arxiv
6+阅读 · 2018年2月24日
VIP会员
最新内容
最新“指挥控制”领域出版物合集(简介)
专知会员服务
1+阅读 · 今天15:19
面向军事作战需求开发的人工智能(RAIMOND)
专知会员服务
3+阅读 · 今天15:13
软件定义多域战术网络:基础与未来方向(综述)
水下战战术决策中的气象与海洋预报(50页报告)
远程空中优势:新一代超视距导弹的兴起
专知会员服务
1+阅读 · 今天14:45
大语言模型溯因推理的统一分类学与综述
专知会员服务
0+阅读 · 今天12:07
相关资讯
一文读懂图卷积GCN
计算机视觉life
21+阅读 · 2019年12月21日
专栏 | 深入理解图注意力机制
机器之心
25+阅读 · 2019年2月19日
【论文笔记】ICLR 2018 Wasserstein自编码器
专知
32+阅读 · 2018年6月29日
机器学习(29)之奇异值分解SVD原理与应用详解
机器学习算法与Python学习
6+阅读 · 2017年11月30日
GAN的数学原理
算法与数学之美
16+阅读 · 2017年9月2日
【原理】GAN的数学原理
GAN生成式对抗网络
8+阅读 · 2017年8月30日
【深度学习基础】4. Recurrent Neural Networks
微信AI
16+阅读 · 2017年7月19日
Top
微信扫码咨询专知VIP会员