活体检测Face Anti-spoofing综述

2019 年 4 月 8 日 CVer

点击上方“CVer”,选择加"星标"或“置顶”

重磅干货,第一时间送达

作者:Fisher Yu余梓彤

https://zhuanlan.zhihu.com/p/43480539

本文已由原作者授权,不得擅自二次转载


1. 什么是活体检测?

--> 判断捕捉到的人脸是真实人脸,还是伪造的人脸攻击(如:彩色纸张打印人脸图,电子设备屏幕中的人脸数字图像 以及 面具 等)

2. 为什么需要活体检测?

--> 在金融支付,门禁等应用场景,活体检测一般是嵌套在人脸检测与人脸识别or验证中的模块,用来验证是否用户真实本人

3. 活体检测对应的计算机视觉问题:

--> 就是分类问题,可看成二分类(真 or 假);也可看成多分类(真人,纸张攻击,屏幕攻击,面具攻击)


Anti-spoofing 1.0 时代

从早期 handcrafted 特征的传统方法说起,目标很明确,就是找到活体与非活体攻击的difference,然后根据这些差异来设计特征,最后送给分类器去决策。

那么问题来了,活体与非活体有哪些差异?

  • 颜色纹理

  • 非刚性运动变形

  • 材料 (皮肤,纸质,镜面)

  • 图像or视频质量

所以这段时期的文章都是很有针对性地设计特征,列举几篇比较重要的:

[1] Image Distortion Analysis, 2015

如下图,单帧输入的方法,设计了 镜面反射+图像质量失真+颜色 等统计量特征,合并后直接送SVM进行二分类。

Image Distortion Analysis, 2015

Cons: 对于高清彩色打印的纸张 or 高清录制视频,质量失真不严重时,难区分开

[2] Colour Texture, 2016

Oulu CMVS组的产物,算是传统方法中的战斗机,特别简洁实用,Matlab代码(课题组官网有),很适合搞成C++部署到门禁系统。

原理:活体与非活体,在RGB空间里比较难区分,但在其他颜色空间里的纹理有明显差异

算法:HSV空间人脸多级LBP特征 + YCbCr空间人脸LPQ特征 (后在17年的paper拓展成SURF特征)

Colour Texture, 2016

Pros: 算法简洁高效易部署;也证明了活体与非活体在 HSV等其他空间也是 discriminative,故后续深度学习方法有将HSV等channel也作为输入来提升性能。

[3] Motion mag.-HOOF + LBP-TOP, 2014

[4] DMD + LBP, 2015

前面说的都是单帧方法,这两篇文章输入的是连续多帧人脸图;

主要通过捕获活体与非活体微动作之间的差异来设计特征。

一个是先通过运动放大来增强脸部微动作, 然后提取方向光流直方图HOOF + 动态纹理LBP-TOP 特征;一个是通过动态模式分解DMD,得到最大运动能量的子空间图,再分析纹理。

PS:这个 motion magnification 的预处理很差劲,加入了很多其他频段噪声(18年新出了一篇用 Deep learning 来搞 Motion mag. 看起来效果挺好,可以尝试用那个来做运动增强,再来光流orDMD)

Motion mag.-HOOF + LBP-TOP, 2014
DMD + LBP, 2015

Cons: 基于Motion的方法,对于 仿人脸wrapped纸张抖动 和 视频攻击,效果不好;因为它假定了活体与非活体之间的非刚性运动有明显的区别,但其实这种微动作挺难描述与学习~

[5] Pulse + texture, 2016

第一个将 remote pluse 应用到活体检测中,多帧输入

(交代下背景:在CVPR2014,当时 Xiaobai Li 已经提出了从人脸视频里测量心率的方法)

算法流程:

1. 通过 pluse 在频域上分布不同先区分 活体 or 照片攻击 (因为照片中的人脸提取的心率分布不同)

2. 若判别1结果是活体,再 cascade 一个 纹理LBP 分类器,来区分 活体 or 屏幕攻击(因为屏幕视频中人脸心率分布与活体相近)

Pulse + texture, 2016

Pros: 从学术界来说,引入了 心理信号 这个新模态,很是进步;从工业界来看,如果不能一步到位,针对每种类型攻击,也可进行 Cascade 对应的特征及分类器的部署方式

Cons: 由于 remote heart rate 的算法本来鲁棒性也一般,故出来的 pulse-feature 的判别性能力很不能保证;再者屏幕video里的人脸视频出来的 pulse-feature 是否也有微小区别,还待验证~


Anti-spoofing 2.0 时代

其实用 Deep learning 来做活体检测,从15年陆陆续续就有人在研究,但由于公开数据集样本太少,一直性能也超越不了传统方法:

[6] CNN-LSTM, 2015

多帧方法,想通过 CNN-LSTM 来模拟传统方法 LBP-TOP,性能堪忧~

[7] PatchNet pretrain,CNN finetune, 2017

单帧方法,通过人脸分块,pre-train 网络;然后再在 global 整个人脸图 fine-tune,作用不大

[8] Patch and Depth-Based CNNs, 2017

第一个考虑把 人脸深度图 作为活体与非活体的差异特征,因为像屏幕中的人脸一般是平的,而纸张中的人脸就算扭曲,和真人人脸的立体分布也有差异;

就算用了很多 tricks 去 fusion,性能还是超越不了传统方法。。。

------------------------------- 华丽的分割线 -----------------------------

[9] Deep Pulse and Depth, 2018

发表在 CVPR2018 的文章,终于超越了传统方法性能。

文章[8]的同一组人,设计了深度框架 准端到端 地去预测 Pulse统计量 及 Depth map (这里说的“准”,就是最后没接分类器,直接通过样本 feature 的相似距离,阈值决策)

在文章中明确指明:

  • 过去方法把活体检测看成二分类问题,直接让DNN去学习,这样学出来的cues不够general 和 discriminative

  • 将二分类问题换成带目标性地特征监督问题,即 回归出 pulse 统计量 + 回归出 Depth map,保证网络学习的就是这两种特征(哈哈,不排除假设学到了 color texture 在里面,黑箱网络这么聪明)

Deep Pulse and Depth, 2018

回归 Depth map,跟文章[8]中一致,就是通过 Landmark 然后 3DMMfitting 得到 人脸3D shape,然后再阈值化去背景,得到 depth map 的 groundtruth,最后和网络预测的 estimated depth map 有 L2 loss。

而文章亮点在于设计了 Non-rigid Registration Layer 来对齐各帧人脸的非刚性运动(如姿态,表情等),然后通过RNN更好地学到 temporal pulse 信息。

Non-rigid Registration Layer

为什么需要这个对齐网络呢?我们来想想,在做运动识别任务时,只需简单把 sampling或者连续帧 合并起来喂进网络就行了,是假定相机是不动的,对象在运动;而文中需要对连续人脸帧进行pulse特征提取,主要对象是人脸上对应ROI在 temporal 上的 Intensity 变化,所以就需要把人脸当成是相机固定不动。


[10] Micro-texture + SSD or binocular depth , 2018

ArXiv 刚挂出不久的文章,最大的贡献是把 活体检测 直接放到 人脸检测(SSD,MTCNN等) 模块里作为一个类,即人脸检测出来的 bbox 里有 背景,真人人脸,假人脸 三类的置信度,这样可以在早期就过滤掉一部分非活体。

所以整个系统速度非常地快,很适合工业界部署~

至于后续手工设计的 SPMT feature 和 TFBD feature 比较复杂繁琐,分别是表征 micro-texture 和 stereo structure of face,有兴趣的同学可以去细看。

ture + SSD or binocular depth , 2018

[11] De-Spoofing, ECCV2018

单帧方法,与Paper[8]和[9]一样,是MSU同一个课题组做的。

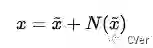
文章的idea很有趣,启发于图像去噪de-noise 和 图像去抖动 de-blur。无论是噪声图还是模糊图,都可看成是在原图上加噪声运算或者模糊运算(即下面的公式),而去噪和去抖动,就是估计噪声分布和模糊核,从而重构回原图。

文中把活体人脸图看成是原图 x~ ,而非活体人脸图看成是加了噪声后失真的 x ,故 task 就变成估计 Spoof noise N(x~) ,然后用这个 Noise pattern feature 去分类决策。

De-spoofing process

那问题来了,数据集没有像素级别一一对应的 groundtruth,也没有Spoof Noise模型的先验知识(如果有知道Noise模型,可以用Live Face来生成Spoofing Face),那拿什么来当groundtruth,怎么设计网络去估计 Spoofing noise 呢?

如一般Low-level image 任务一样,文中利用Encoder-decoder来得到 Spoof noise N,然后通过残差重构出 I~ = I - N(I~) ,这就是下图的DS Net。为了保证网络对于不同输入,学出来的Noise是有效的,根据先验知识设计了三个Loss来constrain:

Magnitude loss(当输入是Live face时,N尽量逼近0);

Repetitive loss(Spooing face的Noise图在高频段有较大的峰值);

0\1Map Loss(让Real Face 的 deep feature map分布尽量逼近全0,而Spoofing face的 deep feature map 尽量逼近全1)

De-spoofing网络架构

那网络右边的 VQ-Net 和 DQ-Net 又有什么作用呢?因为没有 Live face 的 Groundtruth,要保证重构出来的分布接近 Live face,作者用了对抗生成网络GAN (即 VQ-Net )去约束重构生成的 I~ 与Live face分布尽量一致;而用了文章[8]中的 pre-trained Depth model 来保证 I~ 的深度图与Live face的深度图尽量一致。


Pros: 通过可视化最终让大众知道了 Spoofing Noise 是长什么样子的~

Cons: 在实际场景中难部署(该模型假定Spoofing Noise是 strongly 存在的,当实际场景中活体的人脸图质量并不是很高,而非活体攻击的质量相对高时,Spoofing noise走不通)


后记:不同模态的相机输入对于活体检测的作用

1. 近红外NIR

由于NIR的光谱波段与可见光VIS不同,故真实人脸及非活体载体对于近红外波段的吸收和反射强度也不同,即也可通过近红外相机出来的图像来活体检测。从出来的图像来说,近红外图像对屏幕攻击的区分度较大,对高清彩色纸张打印的区分度较小。

从特征工程角度来说,方法无非也是提取NIR图中的光照纹理特征[12] 或者 远程人脸心率特征[13] 来进行。下图可见,上面两行是真实人脸图中人脸区域与背景区域的直方图分布,明显与下面两行的非活体图的分布不一致;而通过与文章[5]中一样的rPPG提取方法,在文章[]中说明其在NIR图像中出来的特征更加鲁棒~

NIR人脸区域与背景区域直方图[12]

2. 结构光/ToF

由于结构光及ToF能在近距离里相对准确地进行3D人脸重构,即可得到人脸及背景的点云图及深度图,可作为精准活体检测(而不像单目RGB或双目RGB中仍需估计深度)。不过就是成本较高,看具体应用场景决定。

3. 光场 Light field

光场相机具有光学显微镜头阵列,且由于光场能描述空间中任意一点向任意方向的光线强度,出来的raw光场照片及不同重聚焦的照片,都能用于活体检测:

3.1 raw光场照片及对应的子孔径照片[14]

如下图所示,对于真实人脸的脸颊边缘的微镜图像,其像素应该是带边缘梯度分布;而对应纸张打印或屏幕攻击,其边缘像素是随机均匀分布:

光场相机图[14]

3.2 使用一次拍照的重聚焦图像[15]

原理是可以从两张重聚焦图像的差异中,估计出深度信息;从特征提取来说,真实人脸与非活体人脸的3D人脸模型不同,可提取差异图像中的 亮度分布特征+聚焦区域锐利程度特征+频谱直方图特征。



至此,Face anti-spoofing 的简单Survey已完毕~

毫无疑问,对于学术界,后续方向应该是用DL学习更精细的 人脸3D特征 和 人脸微变化微动作(Motion Spoofing Noise?) 表征;而也可探索活体检测与人脸检测及人脸识别之间更紧密的关系。

对于工业界,最后倒数第二篇文章的启发很不错;更可借助近红外,结构光/ToF等硬件做到更精准。


Reference:

[1] Di Wen, Hu Han, Anil K. Jain. Face Spoof Detection with Image Distortion Analysis. IEEE Transactions on Information Forensics and Security, 2015

[2] Zinelabidine Boulkenafet, Jukka Komulainen, Abdenour Hadid. Face Spoofing Detection Using Colour Texture Analysis. IEEE TRANSACTIONS ON INFORMATION FORENSICS AND SECURITY, 2016

[3] Samarth Bharadwaj. Face Anti-spoofing via Motion Magnification and

Multifeature Videolet Aggregation, 2014

[4] Santosh Tirunagari, Norman Poh. Detection of Face Spoofing Using Visual Dynamics. IEEE TRANS. ON INFORMATION FORENSICS AND SECURIT, 2015

[5] Xiaobai Li, , Guoying Zhao. Generalized face anti-spoofing by detecting pulse

from face videos, 2016 23rd ICPR

[6] Zhenqi Xu. Learning Temporal Features Using LSTM-CNN Architecture for Face Anti-spoofing, 2015 3rd IAPR

[7] Gustavo Botelho de Souza, On the Learning of Deep Local Features for

Robust Face Spoofing Detection, 2017

[8] Yousef Atoum, Xiaoming Liu. Face Anti-Spoofing Using Patch and Depth-Based CNNs, 2017

[9] Yaojie Liu, Amin Jourabloo, Xiaoming Liu, Learning Deep Models for Face Anti-Spoofing: Binary or Auxiliary Supervision ,CVPR2018

[10] Discriminative Representation Combinations for Accurate Face Spoofing Detection ”,2018 PR,上海交大

[11] Face De-Spoofing: Anti-Spoofing via Noise Modeling, ECCV2018

[12]Xudong Sun, Context Based Face Spoofing Detection Using Active Near-Infrared Images, ICPR 2016

[13]Javier Hernandez-Ortega, Time Analysis of Pulse-based Face Anti-Spoofing in Visible and NIR, CVPR2018 workshop

[14]Sooyeon Kim, Face Liveness Detection Using a Light Field Camera, 2014

[15]Xiaohua Xie, One-snapshot Face Anti-spoofing Using a Light Field Camera, 2017


CVer人脸交流群


扫码添加CVer助手,可申请加入CVer-人脸检测&识别群。一定要备注:人脸+地点+学校/公司+昵称(如人脸检测+上海+上交+卡卡)

▲长按加群


这么硬的论文综述,麻烦给我一个在看


▲长按关注我们

麻烦给我一个在看

登录查看更多
5

相关内容

对抗样本生成技术综述
专知会员服务
67+阅读 · 2020年7月21日
专知会员服务
32+阅读 · 2020年5月20日
【人大】图实现算法综述与评测分析
专知会员服务
38+阅读 · 2020年4月28日
3D目标检测进展综述
专知会员服务
193+阅读 · 2020年4月24日
【浙江大学】人脸反欺诈活体检测综述
专知会员服务
32+阅读 · 2020年4月15日
【综述】金融领域中的深度学习,附52页论文下载
专知会员服务
165+阅读 · 2020年2月27日
【浙江大学】对抗样本生成技术综述
专知会员服务
92+阅读 · 2020年1月6日
深度学习视频中多目标跟踪:论文综述
专知会员服务
94+阅读 · 2019年10月13日
【文献综述】图像分割综述,224篇参考文献,附58页PDF
专知会员服务
123+阅读 · 2019年6月16日
最全综述 | 图像分割算法
计算机视觉life
14+阅读 · 2019年6月20日
计算机视觉方向简介 | 人脸表情识别
计算机视觉life
36+阅读 · 2019年5月15日
计算机视觉方向简介 | 人脸颜值打分
计算机视觉life
6+阅读 · 2019年5月14日
史上最全 OpenCV 活体检测教程!
无人机
5+阅读 · 2019年4月10日
值得收藏丨一文读懂人脸识别技术
物联网智库
4+阅读 · 2019年2月11日
计算机视觉方向简介 | 人脸识别中的活体检测算法综述
计算机视觉life
9+阅读 · 2018年9月26日
深扒人脸识别60年技术发展史
炼数成金订阅号
3+阅读 · 2018年6月20日
CVPR 2017 | Tiny Faces 小人脸检测算法简介
极市平台
10+阅读 · 2018年2月1日
【机器视觉】人脸检测与识别总结
产业智能官
7+阅读 · 2017年12月6日
人脸对齐之GBDT(ERT)算法解读
计算机视觉战队
7+阅读 · 2017年12月6日
Arxiv
5+阅读 · 2018年3月16日
Arxiv
11+阅读 · 2018年1月18日
VIP会员
最新内容
《第四代军事特种作战部队选拔与评估》
专知会员服务
0+阅读 · 今天6:23
不对称优势上升:自主系统如何强化海上拒止
专知会员服务
0+阅读 · 今天5:51
《人工智能赋能电磁战》(报告)
专知会员服务
2+阅读 · 4月17日
【CMU博士论文】迈向可扩展的开放世界三维感知
相关VIP内容
对抗样本生成技术综述
专知会员服务
67+阅读 · 2020年7月21日
专知会员服务
32+阅读 · 2020年5月20日
【人大】图实现算法综述与评测分析
专知会员服务
38+阅读 · 2020年4月28日
3D目标检测进展综述
专知会员服务
193+阅读 · 2020年4月24日
【浙江大学】人脸反欺诈活体检测综述
专知会员服务
32+阅读 · 2020年4月15日
【综述】金融领域中的深度学习,附52页论文下载
专知会员服务
165+阅读 · 2020年2月27日
【浙江大学】对抗样本生成技术综述
专知会员服务
92+阅读 · 2020年1月6日
深度学习视频中多目标跟踪:论文综述
专知会员服务
94+阅读 · 2019年10月13日
【文献综述】图像分割综述,224篇参考文献,附58页PDF
专知会员服务
123+阅读 · 2019年6月16日
相关资讯
最全综述 | 图像分割算法
计算机视觉life
14+阅读 · 2019年6月20日
计算机视觉方向简介 | 人脸表情识别
计算机视觉life
36+阅读 · 2019年5月15日
计算机视觉方向简介 | 人脸颜值打分
计算机视觉life
6+阅读 · 2019年5月14日
史上最全 OpenCV 活体检测教程!
无人机
5+阅读 · 2019年4月10日
值得收藏丨一文读懂人脸识别技术
物联网智库
4+阅读 · 2019年2月11日
计算机视觉方向简介 | 人脸识别中的活体检测算法综述
计算机视觉life
9+阅读 · 2018年9月26日
深扒人脸识别60年技术发展史
炼数成金订阅号
3+阅读 · 2018年6月20日
CVPR 2017 | Tiny Faces 小人脸检测算法简介
极市平台
10+阅读 · 2018年2月1日
【机器视觉】人脸检测与识别总结
产业智能官
7+阅读 · 2017年12月6日
人脸对齐之GBDT(ERT)算法解读
计算机视觉战队
7+阅读 · 2017年12月6日
Top
微信扫码咨询专知VIP会员