爱因斯坦和π

2019 年 3 月 15 日 中科院高能所

图片来源:Charlie Powell


每年的3月14日都是科学爱好者会庆祝的节日。首先,这一天是爱因斯坦的诞辰(今年是140岁生日);再者,它也是圆周率日。

无论是爱因斯坦还是圆周率,都在科学和数学中扮演着重要的角色。但这两者之间还有更紧密的联系吗?



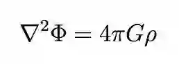
当然有,我们只要看看爱因斯坦的方程就知道了。这里,我指的是“真正的爱因斯坦方程,而不是众所周知的E=mc²(这是狭义相对论的一个非常简单的结果,而不是一个基础关系式)。所谓的真正的爱因斯坦方程,是你在任何一本好的广义相对论教材的索引中寻找“爱因斯坦方程”时,都会找到的那个。它是连接了时空曲率与能量源的场方程,是广义相对论的核心方程。它看起来是这样的:



如果不熟悉这些符号,你可能会被这个方程吓到,但从概念上看它是非常简单的;如果你不知道这些符号,可以把它想象成一首外语小诗。它是这样说的:


(引力)=8πG×(能量与动量)


没那么可怕,对吧?引力的大小正比于能量和动量的大小,比例常数是8πG,G是一个数值常数。


诶?!π在这里做什么?似乎有点莫名其妙。爱因斯坦明明可以定义一个新的常数H,然后让H = 8πG,如此不就会得到一个更简洁的方程吗?难道他对π有某种特殊的爱,比如因为这是他的生日?


真实的故事没有这么异想天开,但更加有趣。爱因斯坦之所以不想发明一个新的常数,是因为G已经存在了,它是牛顿的万有引力常数,因此这很合理。虽然广义相对论取代了牛顿的万有引力理论,但说到底它仍然是引力,而且它的强度也和之前一样。


所以真正的问题是,为什么当我们从牛顿引力过渡到广义相对论时,会出现一个π?


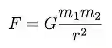
我们来看看牛顿引力方程,也就是著名的平方反比定律:



其实它的结构与爱因斯坦方程类似:左边是两个物体之间的引力,在右边我们能找到这两个物体的质量m₁和m₂,以及万有引力常数G。(对牛顿来说,质量是引力的来源;而爱因斯坦发现,质量只是能量的一种形式,他将引力的来源升级为所有形式的能量和动量。)当然,我们还要除以两个物体之间距离r的平方。不过在整个公式中,π都没有出现。


这是物理学中一个很伟大的方程,也是科学史上最具影响力的方程之一。但它也有令人困惑之处,至少在哲学上是这样。它讲述了一个有关于超距作用的故事——两个物体在没有任何中介物质的情况下,在很远的地方相互施加引力。牛顿本人认为这是一种不可接受的状态,尽管他并没能给出一个很好的答案:


引力对物质来说应该是天然、固有且基本的,以至于一个物体可能在没有任何中介物质的情况下,穿过真空中的一段距离对另一个物体施力。通过这段距离,它们的作用和力或许可以从一个传到另一个。对我来说这是一个巨大的荒谬,我相信没有一个有哲学思辨能力的教职人员能信服于此。


但是有一个方法可以解决这个难题。那就是将重点从引力(F)转向引力势场(Φ),力可以从引力势场推导出。空间中充满了引力势场,每一个点都有其特有的值。在质量为M的单个物体附近,引力势场由以下式子给出:

这个方程与最初的牛顿方程很相似。它与距离成反比,而不是反比于距离的平方,因为它并不直接是引力;我们可以从场的导数(斜率)得出力,而求导则会把1/r变成1/r²。


这很好,因为我们已经用填满了整个空间的场,这样一个令人舒心的机械概念取代了奇异的远距离行为。虽然我们仍然没有看到π。


但是这个方程只告诉我们,当有一个质量为M的物体时会发生什么。如果有很多个物体,每个物体都有自己的引力场,或者在那个物体周围有气体或液体散布在那片区域,情况又会怎样?那么我们需要谈论质量密度,或者说单位体积的质量,通常用希腊字母ρ表示。确实有一个方程能把引力场和空间中任意的质量密度联系起来,它叫泊松方程

在方程中,倒三角符号代表的是梯度算子(这里的平方则表示是拉普拉斯算子);这是一种用来描述场在空间中如何变化的奇特的三维方式(它的矢量导数)。但更有趣的是,在方程右边出现了一个π!这是怎么回事?


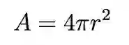
当然,它有一个很技术性的数学解释,但也有一个粗略的物理解释。而在牛顿方程或引力势场方程中,我们最初关注的是一个物体在距离r上的引力效应,现在我们要把宇宙中所有的效应都累积起来。那么这个“累加”(积分)过程可以分为两个步骤:1.将所有离某固定点距离为r的位置的效应相加;2.将所有距离的效应相加。在第一步中,所有距离某个固定位置r的点,定义了一个以该位置为中心的球体。所以我们实际上是将沿着一个球面的效应累加起来。而球面面积的公式是:



这看起来几乎太显而易见,但这就是答案。π之所以出现在泊松方程而不是牛顿方程的原因是,牛顿关心的是两个特定对象之间的力,而泊松告诉我们要如何计算引力势作为传播到各处的关于物质密度的函数。而且在三维空间中,“各处”指的是“在一个球体上的所有面积”,然后“对每个球体进行相加”。(我们将球体相加,而不是立方体或别的东西,因为球体描述的是从某点出发的固定距离,而引力取决于距离。)而一个球体的面积与圆的周长一样,也正比于π。



那么爱因斯坦呢?回到牛顿引力的时代,通常使用引力势场是很方便的选择,但实际上并没有必要;理论上我们总是可以直接计算引力。但当爱因斯坦提出广义相对论时,场的概念成为绝对核心。我们计算的不是引力(事实上,在广义相对论中,引力并不是一个真正的“力”),而是时空的几何。它是由度规张量场固定的,是一个包括我们称之为引力势场的子集的复杂野兽。与爱因斯坦的方程直接类似的是泊松方程,而不是牛顿方程。


这就是爱因斯坦与圆周率的关系。爱因斯坦发现场能最好地描述引力,而不是将引力视作为个体之间的直接相互作用,将场与局部的物体相连涉及到球体表面的积分,而球体的表面积又正比于π。而他又恰好在这天生日,更是双重的喜悦。


本文转载自公众号“原理”(ID:principle1687)

撰文:Sean Carroll

翻译:萌大统领

本文经Sean Carroll授权翻译,原文链接:

http://www.preposterousuniverse.com/blog/2014/03/13/einstein-and-pi/


本文经 原理 微信公众号授权转载



登录查看更多
2

相关内容

动量方法 (Polyak, 1964) 旨在加速学习,特别是处理高曲率、小但一致的梯度,或是带噪声的梯度。 动量算法积累了之前梯度指数级衰减的移动平均,并且继续沿该方向移动。
非凸优化与统计学,89页ppt,普林斯顿Yuxin Chen博士
专知会员服务
104+阅读 · 2020年6月28日
【ICML2020】持续图神经网络,Continuous Graph Neural Networks
专知会员服务
151+阅读 · 2020年6月28日
清华大学两名博士生被开除:你不吃学习的苦,就要吃生活的苦
机器学习算法与Python学习
25+阅读 · 2019年9月16日
听完了1000+首古风歌曲,我发现自己也能火
PingWest品玩
4+阅读 · 2019年6月2日
清华美女学霸数学笔记曝光, 精美程度无与伦比
算法与数学之美
7+阅读 · 2019年3月22日
丘成桐:攻克物理难题的数学大师
科技导报
5+阅读 · 2018年7月23日
机器学习各种熵:从入门到全面掌握
AI研习社
10+阅读 · 2018年3月22日
生活中处处的贝叶斯
算法与数学之美
4+阅读 · 2018年2月19日
UPSNet: A Unified Panoptic Segmentation Network
Arxiv
4+阅读 · 2019年1月12日
Arxiv
19+阅读 · 2018年6月27日
Arxiv
3+阅读 · 2018年4月3日
VIP会员
最新内容
BES:让语言模型通过双向进化搜索自我改进
专知会员服务
3+阅读 · 5月30日
以色列-美国-伊朗战争中的无人机:关键要点
专知会员服务
4+阅读 · 5月30日
《Palantir任务保障性软件安全标准(MA-S2)》
专知会员服务
10+阅读 · 5月30日
基于声学的无人机检测技术综述
专知会员服务
8+阅读 · 5月30日
《当代混合战争分析框架:俄乌战争经验教训》
战略前沿人工智能的再思考(中文)
专知会员服务
8+阅读 · 5月29日
《量化地基防空系统间接效应的博弈论方法》
专知会员服务
6+阅读 · 5月29日
相关VIP内容
相关资讯
清华大学两名博士生被开除:你不吃学习的苦,就要吃生活的苦
机器学习算法与Python学习
25+阅读 · 2019年9月16日
听完了1000+首古风歌曲,我发现自己也能火
PingWest品玩
4+阅读 · 2019年6月2日
清华美女学霸数学笔记曝光, 精美程度无与伦比
算法与数学之美
7+阅读 · 2019年3月22日
丘成桐:攻克物理难题的数学大师
科技导报
5+阅读 · 2018年7月23日
机器学习各种熵:从入门到全面掌握
AI研习社
10+阅读 · 2018年3月22日
生活中处处的贝叶斯
算法与数学之美
4+阅读 · 2018年2月19日
Top
微信扫码咨询专知VIP会员