R语言之数据分析高级方法「时间序列」

2018 年 4 月 24 日 R语言中文社区 姚某某

‍‍‍‍‍‍‍‍‍


作者简介Introduction

姚某某 

知乎专栏:https://zhuanlan.zhihu.com/mydata

往期回顾:

R语言之高级数据分析「聚类分析」


本节主要总结「数据分析」的「时间序列」相关模型的思路。

「时间序列」是一个变量在连续时点或连续时期上测量的观测值的序列,它与我们以前见过的数据有本质上的区别,这个区别在于之前的数据都在一个时间的横截面上去测量、计算数据,而「时间序列」给出了一种时间轴线上纵向的视角,将时间作为自变量,测量出一系列纵向数据。

关于「时间序列」的预测模型,我所了解的常用模型有三种:1. 移动平均  2. 指数预测模型 3. ARIMA 预测模型


0. 时序的分解

要研究时序如何预测,首先需要将复杂的时序数据进行分解,将复杂的时序数据分解为单一的分解成分,这样能利用统计方法进行拟合,然后个个击破,最后再合成为我们需要预测的未来时序数据。

前人在这一问题上已经得到很好的结论,通过对时序数据现实意义的理解,一般将时序数据分解为四个成分:

1. 水平项 

2. 趋势项 

3. 季节效应(衍生出去为周期项)

4. 随机波动

  • 水平项,即剔除时序数据的趋势影响和季节影响后,时序数据所剩的成分,它代表着时序数据在时间轴上相对稳定的一个基础值。就像一个原点一样,在这个原点上去考虑时间所带来的趋势影响和季节影响。

  • 趋势项,它用于捕捉时序数据的长期变化,是逐步增长还是逐步下降。就像在二元空间中的一个单调函数。

  • 季节效应,衍生出去就是周期型,在一定时间内,时序数据所包含的周期型变化。就像在二元空间中的三角函数,如y=sinx,其数值是周而复始的。

通常在分解以上各个成分时,有两种模式,一个是乘法模型,一个是加法模型。其中,加法模型的季节效应被认为不依赖于时间序列,二乘法模型认为季节影响随着时间会发生改变。不过两种模型在计算时可以相通,对乘法模型作对数处理即可。


1. 移动平均

这一方法很简单,只做简单讲解

  • 所谓移动平均,就是使用时间序列中最接近的 k 期数据值的平均值作为下一个时期的预测值。


即:                                        

较小的 k 值将更快速追踪时间序列的移动,而较大的 k 值将随着时间的推移更有效地消除随机波动。

  • 可延伸为加权移动平均,此法对每个数值选择不同的的权重,然后计算最近 k 期数据值的加权平均数作为预测值。

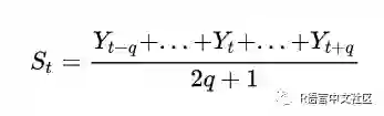
  • 如果仅用于平滑现有数据,也可以使用居中移动平均,即使用时序中前后最接近的各 q 期数据及自己的平均值作为在该时点上的平滑值。


即:                                        


2. 指数预测模型

指数预测模型也是利用过去的时间序列值的加权平均数作为预测值,它是加权移动平均法的一个特例。

即:只选择最近时期观测值的权重,其他数据值的权重则自动推算,原则是时间距离越远权重越小。

2.1. 单指数平滑

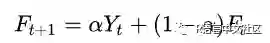
单指数平滑,不考虑季节和趋势分解,仅用过去数据值的加权平均数来预测。其思想为:

其中 F 为某时刻的预测值,Y 为某时刻的观测值。以上公式从 t = 1 开始递推,则每个时刻的预测值都包含着过去所有观测值的成分,只是权重不同,令F1 = Y1 ,则:

α为平滑常数,越接近于 1 ,则近期观测值的权重越大;反之,越接近于0,历史观测值权重越大。

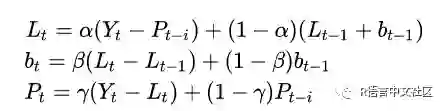
2.2. Holt 指数平滑

Holt 指数平滑,在单指数平滑的基础上,还对趋势项进行了拟合。

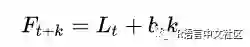
由于考虑到了趋势项,则预测值可表示为:

其中 Lt 为 t 时刻时序水平项的估计值,bt为 t 时刻时序斜率的估计值。

α为水平平滑常数, β为斜率平滑常数。

2.3. Holt-Winters 指数平滑

Holt-Winters 指数平滑,在 Holt 指数平滑的基础上,还对季节项(周期项)进行了拟合,

由于还考虑到了季节项,则预测值表示为:

其中 i 为季节项的周期,mod 是求余,P 是某时刻时序周期的估计值。


α为水平平滑常数,β为斜率平滑常数,γ为周期平滑常数。

2.4. R 语言实现

以上三种指数平滑模型,采用 forecast 包中的 ets ( ) 函数即可:

ets(ts, model="zzz")
# ts 为需要分析的时序
# model 为模型选择参数,具体分类如下
# 不指定 model 参数时,自动匹配最优模型




3. ARIMA 预测模型

ARIMA 模型的相关资料我找到了,但是并没有看完和看懂,相对来说其思想确实有些复杂。而且最近买了《统计学方法》和《机器学习》两本书,发现自己的线性代数水平还很难看懂这些公式和算法推导,所以准备把《 R 语言实战 》敲完后转入线性代数的复习,之后学习方向待定。

这里我就仅把利用 R 语言进行 ARIMA 模型模拟和预测的流程做以总结:

3.1. 确保时序是平稳的

时序平稳的要求一般有两个:方差为均值、无趋势项

方法是利用时序图估判和 ndiffs ( ) 函数推荐最优的差分次数 d 。

3.2. 选择模型

通过 ACF 和 PACF 图来判断 p 和 q 参数的值。

其中 ACF 为自相关函数图用于判断 q,PACF 为偏自相关图用于判断 p。

p 为自回归模型(AR)参数,q 为移动平均模型(MA)参数。

3.3. 拟合模型

fit <- arima(ts, order=c(p,d,q))
# ts 为原时序,order 中放入包含三个参数的向量
fit
# 一般要进行多组参数的尝试,在输出结果中利用 AIC 值来选择最合理的模型,AIC 越小越好
accuracy(fit)
# 得到一系列误差值,用于准确性度量

3.4. 模型评价

模型的残差应该满足独立正态分布,根据这一条:

1. 使用正态 Q-Q 图来判断其正态性

2. 使用box.test ( ) 函数对模型的残差进行独立性检验。

3.5. 预测

forecast(fit,3)
# fit 为我们之前拟合好的最佳模型,3 指的是要预测的年数

3.6. 自动预测

forecast 包中的 auto.arima ( ) 函数可以实现最优 ARIMA 模型的自动选取。




 往期精彩内容整理合集 

2017年R语言发展报告(国内)

R语言中文社区历史文章整理(作者篇)

R语言中文社区历史文章整理(类型篇)


公众号后台回复关键字即可学习

回复 R                  R语言快速入门及数据挖掘 
回复 Kaggle案例  Kaggle十大案例精讲(连载中)
回复 文本挖掘      手把手教你做文本挖掘
回复 可视化          R语言可视化在商务场景中的应用 
回复 大数据         大数据系列免费视频教程 
回复 量化投资      张丹教你如何用R语言量化投资 
回复 用户画像      京东大数据,揭秘用户画像
回复 数据挖掘     常用数据挖掘算法原理解释与应用
回复 机器学习     人工智能系列之机器学习与实践
回复 爬虫            R语言爬虫实战案例分享

登录查看更多
17

相关内容

【实用书】Python数据科学从零开始,330页pdf
专知会员服务
145+阅读 · 2020年5月19日
【干货书】R语言书: 编程和统计的第一课程,
专知会员服务
118+阅读 · 2020年5月9日
【干货书】机器学习Python实战教程,366页pdf
专知会员服务
347+阅读 · 2020年3月17日
机器学习速查手册,135页pdf
专知会员服务
345+阅读 · 2020年3月15日
【经典书】Python数据数据分析第二版,541页pdf
专知会员服务
199+阅读 · 2020年3月12日
新书《面向机器学习和数据分析的特征工程》,419页pdf
专知会员服务
144+阅读 · 2019年10月10日
R语言自然语言处理:情感分析
R语言中文社区
16+阅读 · 2019年4月16日
基于R语言进行Box-Cox变换
R语言中文社区
45+阅读 · 2018年11月19日
R语言时间序列分析
R语言中文社区
12+阅读 · 2018年11月19日
基于 Keras 用深度学习预测时间序列
R语言中文社区
23+阅读 · 2018年7月27日
【入门】数据分析六部曲
36大数据
18+阅读 · 2017年12月6日
开发 | 机器学习之确定最佳聚类数目的10种方法
AI科技评论
3+阅读 · 2017年10月11日
机器学习(16)之支持向量机原理(二)软间隔最大化
机器学习算法与Python学习
6+阅读 · 2017年9月8日
用 Python 进行贝叶斯模型建模(1)
Python开发者
3+阅读 · 2017年7月11日
回归预测&时间序列预测
GBASE数据工程部数据团队
44+阅读 · 2017年5月17日
Arxiv
113+阅读 · 2020年2月5日
Arxiv
8+阅读 · 2018年11月27日
Arxiv
3+阅读 · 2015年5月16日
VIP会员
最新内容
美军MAVEN项目全面解析:算法战架构
专知会员服务
13+阅读 · 今天8:36
从俄乌战场看“马赛克战”(万字长文)
专知会员服务
8+阅读 · 今天8:19
最新“指挥控制”领域出版物合集(16份)
专知会员服务
13+阅读 · 4月12日
面向军事作战需求开发的人工智能(RAIMOND)
专知会员服务
19+阅读 · 4月12日
远程空中优势:新一代超视距导弹的兴起
专知会员服务
4+阅读 · 4月12日
大语言模型溯因推理的统一分类学与综述
专知会员服务
6+阅读 · 4月12日
相关VIP内容
【实用书】Python数据科学从零开始,330页pdf
专知会员服务
145+阅读 · 2020年5月19日
【干货书】R语言书: 编程和统计的第一课程,
专知会员服务
118+阅读 · 2020年5月9日
【干货书】机器学习Python实战教程,366页pdf
专知会员服务
347+阅读 · 2020年3月17日
机器学习速查手册,135页pdf
专知会员服务
345+阅读 · 2020年3月15日
【经典书】Python数据数据分析第二版,541页pdf
专知会员服务
199+阅读 · 2020年3月12日
新书《面向机器学习和数据分析的特征工程》,419页pdf
专知会员服务
144+阅读 · 2019年10月10日
相关资讯
R语言自然语言处理:情感分析
R语言中文社区
16+阅读 · 2019年4月16日
基于R语言进行Box-Cox变换
R语言中文社区
45+阅读 · 2018年11月19日
R语言时间序列分析
R语言中文社区
12+阅读 · 2018年11月19日
基于 Keras 用深度学习预测时间序列
R语言中文社区
23+阅读 · 2018年7月27日
【入门】数据分析六部曲
36大数据
18+阅读 · 2017年12月6日
开发 | 机器学习之确定最佳聚类数目的10种方法
AI科技评论
3+阅读 · 2017年10月11日
机器学习(16)之支持向量机原理(二)软间隔最大化
机器学习算法与Python学习
6+阅读 · 2017年9月8日
用 Python 进行贝叶斯模型建模(1)
Python开发者
3+阅读 · 2017年7月11日
回归预测&时间序列预测
GBASE数据工程部数据团队
44+阅读 · 2017年5月17日
Top
微信扫码咨询专知VIP会员