论文浅尝 | Global Relation Embedding for Relation Extraction

2019 年 3 月 3 日 开放知识图谱

链接https://arxiv.org/abs/1704.05958

Introduction

在关系抽取任务中,通常采用远程监督的方式自动生成数据集。由于实体对间可能存在多关系,生成的数据集往往存在大量噪音。本文对文本中的关系表述(textual relation)和知识库中的关系(kb relation)进行了共现统计,利用全局统计的信息训练 embedding,使模型能更加鲁棒地应对训练噪音的问题。

 

Idea

本文的核心思想是:全局的统计信息比局部的统计信息更加鲁棒。在传统的关系抽取训练中,句子与句子之间是独立的,基于单句的局部特征训练模型,受到错误标签的影响比较大。本文提出了一种全局统计的思路,对每个句子,提取它文本中的关系表述(textual relation),并统计该 textual relation 在训练集中共现的 kb relation 的分布,这个分布可以用来作为 textual relation embedding 表示。

比如,对于上述两个textual relation,分别统计训练集中包含该textual relation的句子对应的label,可以得到texual relationkbrelation上的分布如下:

可以看出,表述为born的句子可以被映射到place_of_birth上,虽然训练集中存在错误标签(place_of_death)的问题,但在全局统计的角度看,错误标签占比比较小。因此,全局共现信息可以有效地突出正确标签。

本文的思路可以类比 GloVE word2vec 的改进。

 

Methods

1、统计

首先,在语料集上,本文用short dependency path来提取每个关系的texual relation,得到文本的relational fact,以及对应的texualrelation set

其次,对于每个texual relation,得到共现的实体对:

每个实体对出现的次数记为

在知识库上,relational fact 即为三元组。对于每个三元组,统计出共现的实体对,记做S(rj)。根据关系标签的映射,我们可以得到textual relationkb relation的共现信息:

2Global relation embeddingGloRE

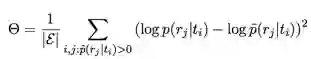
本文用GRU处理texual relation的路径,并将输出结果映射到上一节统计出的共现分布上:

这里用『-』来代表依赖路径中的方向。目标函数如下:

最终得到 textual relationembedding

 

3、关系抽取增强

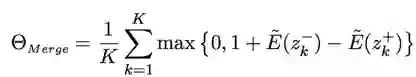
本文用GloRE计算关系score,加到原有关系抽取模型的score中。

在实体对的 set level 上,关系抽取模型的score记作E(z|C)

GloRE对单句进行预测得到score,再做set内的聚合,和关系抽取的set level对齐:

最终关系抽取的score表示为两个score加权的和:

Experiments

本文首先在多种关系抽取模型上进行了GloRE的加成测试,效果均有一定提升:

其次,作者用PCNN+ATT+GloRE和一些经典关系抽取数据集进行最终对比:

最后,本文用同样的PCNN+ATT作为BASE模型,用不同模型作为叠加,证明了GloRE的加成效果最好。

作者还进行了 case study,来分析GloRE的具体效果:


笔记整理:王冠颖,浙江大学硕士,研究方向关系抽取、知识图谱



OpenKG


开放知识图谱(简称 OpenKG)旨在促进中文知识图谱数据的开放与互联,促进知识图谱和语义技术的普及和广泛应用。

点击阅读原文,进入 OpenKG 博客。

登录查看更多
12

相关内容

最新BERT相关论文清单,BERT-related Papers
专知会员服务
53+阅读 · 2019年9月29日
论文浅尝 | Zero-Shot Transfer Learning for Event Extraction
开放知识图谱
26+阅读 · 2018年11月1日
Relation Networks for Object Detection 论文笔记
统计学习与视觉计算组
16+阅读 · 2018年4月18日
论文浅尝 | Know-Evolve: Deep Temporal Reasoning for Dynamic KG
开放知识图谱
36+阅读 · 2018年3月30日
论文浅尝 | Improved Neural Relation Detection for KBQA
开放知识图谱
13+阅读 · 2018年1月21日
论文浅尝 | Distant Supervision for Relation Extraction
开放知识图谱
4+阅读 · 2017年12月25日
论文浅尝 | Reinforcement Learning for Relation Classification
开放知识图谱
9+阅读 · 2017年12月10日
Arxiv
21+阅读 · 2019年8月21日
Arxiv
10+阅读 · 2018年4月19日
VIP会员
最新内容
战略前沿人工智能的再思考(中文)
专知会员服务
5+阅读 · 5月29日
《量化地基防空系统间接效应的博弈论方法》
专知会员服务
5+阅读 · 5月29日
“史诗怒火行动”中美军损失的作战飞机
专知会员服务
5+阅读 · 5月29日
ICML 2026 | 理解上下文持续学习中的泛化与遗忘
专知会员服务
5+阅读 · 5月28日
Agent Harness综述:大模型智能体执行器工程全景
专知会员服务
15+阅读 · 5月28日
《基于理论的威慑效能评估》
专知会员服务
8+阅读 · 5月28日
相关VIP内容
最新BERT相关论文清单,BERT-related Papers
专知会员服务
53+阅读 · 2019年9月29日
相关资讯
论文浅尝 | Zero-Shot Transfer Learning for Event Extraction
开放知识图谱
26+阅读 · 2018年11月1日
Relation Networks for Object Detection 论文笔记
统计学习与视觉计算组
16+阅读 · 2018年4月18日
论文浅尝 | Know-Evolve: Deep Temporal Reasoning for Dynamic KG
开放知识图谱
36+阅读 · 2018年3月30日
论文浅尝 | Improved Neural Relation Detection for KBQA
开放知识图谱
13+阅读 · 2018年1月21日
论文浅尝 | Distant Supervision for Relation Extraction
开放知识图谱
4+阅读 · 2017年12月25日
论文浅尝 | Reinforcement Learning for Relation Classification
开放知识图谱
9+阅读 · 2017年12月10日
Top
微信扫码咨询专知VIP会员