论文浅尝 | Know-Evolve: Deep Temporal Reasoning for Dynamic KG

2018 年 3 月 30 日 开放知识图谱 王旦龙

论文链接:https://arxiv.org/abs/1705.05742

 

对于事件数据,需要动态更新的知识图谱来保存知识图谱中关系的时许信息。本文提出了 Know-Evolve 这种基于神经网络的动态知识图谱来学习实体在不同时刻的表示。在动态知识图谱中,事件由四元组表示,相比于普通的三元组,增加了时间信息,因此在动态知识图谱中,实体之间的可能通过多个相同的关系连接,但是这些关系会关联到不同的时序信息。Know-Evolve 中,使用时间点过程(temporal point process)来描述时间点的影响。


在时间点过程中,某一时刻发生某事件的概率可以表示为

其中

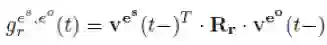
具体而言,Know-Evolve 中使用了Rayleigh过程来表示 \lambda(t),并使用一个神经网络来拟合 Rayleigh 过程的参数,对于发生在时刻 t 的四元组,有

其中

上式中,V 表示实体对应的向量表示,R 表示关系对应的矩阵,t-1 表示实体在上次被更新后的状态, \bar{t} 表示头实体或尾实体中最后被更改的时间。


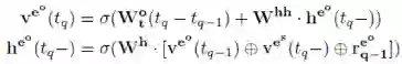
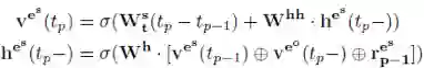
此外,每次将新的四元组加入到动态知识库后,动态知识库中与该四元组相关的实体也会相应地进行更新,更新地过程用一个 RNN 来表示

对于头实体,有

对于尾实体,有

模型的训练通过最大化训练数据中四元组发生概率进行,对应的损失函数为对数损失函数

在损失函数中,后一项需要对头实体,关系,尾实体进行遍历,这个计算量是很大的,本文中使用了采样的方法来近似计算得到这部分的值。


实验使用了GDELTICEWS这两个时序知识库,相比于其他的方法,本文的结果均有限制的提升。

 

论文笔记整理:王旦龙,浙江大学硕士,研究方向为自然语言处理。



OpenKG.CN


中文开放知识图谱(简称OpenKG.CN)旨在促进中文知识图谱数据的开放与互联,促进知识图谱和语义技术的普及和广泛应用。

点击阅读原文,进入 OpenKG 博客。

登录查看更多
36

相关内容

【ICLR2020-】基于记忆的图网络,MEMORY-BASED GRAPH NETWORKS
专知会员服务
110+阅读 · 2020年2月22日
17篇知识图谱Knowledge Graphs论文 @AAAI2020
专知会员服务
173+阅读 · 2020年2月13日
论文浅尝 | 基于知识图谱中图卷积神经网络的推荐系统
开放知识图谱
67+阅读 · 2019年8月27日
论文浅尝 | 从知识图谱流中学习时序规则
开放知识图谱
7+阅读 · 2019年6月28日
论文浅尝 | GraphIE:基于图的信息抽取框架
开放知识图谱
17+阅读 · 2019年6月2日
论文浅尝 | Global Relation Embedding for Relation Extraction
开放知识图谱
12+阅读 · 2019年3月3日
论文浅尝 | 基于局内去噪和迁移学习的关系抽取
开放知识图谱
16+阅读 · 2018年12月2日
论文浅尝 | 基于多原型mention向量的文本-实体联合学习
论文浅尝 | 使用变分推理做KBQA
开放知识图谱
13+阅读 · 2018年4月15日
论文浅尝 | Improved Neural Relation Detection for KBQA
开放知识图谱
13+阅读 · 2018年1月21日
论文浅尝 | CFO: Conditional Focused Neural Question Answering
开放知识图谱
6+阅读 · 2017年12月15日
论文浅尝 | Reinforcement Learning for Relation Classification
开放知识图谱
9+阅读 · 2017年12月10日
Efficiently Embedding Dynamic Knowledge Graphs
Arxiv
14+阅读 · 2019年10月15日
Arxiv
24+阅读 · 2018年10月24日
Arxiv
9+阅读 · 2018年3月20日
Arxiv
8+阅读 · 2018年3月17日
VIP会员
最新内容
ICML 2026 | 理解上下文持续学习中的泛化与遗忘
专知会员服务
1+阅读 · 今天15:53
Agent Harness综述:大模型智能体执行器工程全景
专知会员服务
1+阅读 · 今天15:04
马赛克防御与分布式指挥:伊朗的回击(中文版)
《基于理论的威慑效能评估》
专知会员服务
5+阅读 · 今天14:48
ICML2026 | 重新思考顺序知识编辑中的正则化
专知会员服务
8+阅读 · 5月27日
《用于兵力发展选项优先排序的成本效益模型》
专知会员服务
11+阅读 · 5月27日
AutoResearch AI综述:迈向AI驱动的科学发现自动化
专知会员服务
10+阅读 · 5月26日
《Palantir边缘人工智能》手册
专知会员服务
25+阅读 · 5月26日
相关VIP内容
【ICLR2020-】基于记忆的图网络,MEMORY-BASED GRAPH NETWORKS
专知会员服务
110+阅读 · 2020年2月22日
17篇知识图谱Knowledge Graphs论文 @AAAI2020
专知会员服务
173+阅读 · 2020年2月13日
相关资讯
论文浅尝 | 基于知识图谱中图卷积神经网络的推荐系统
开放知识图谱
67+阅读 · 2019年8月27日
论文浅尝 | 从知识图谱流中学习时序规则
开放知识图谱
7+阅读 · 2019年6月28日
论文浅尝 | GraphIE:基于图的信息抽取框架
开放知识图谱
17+阅读 · 2019年6月2日
论文浅尝 | Global Relation Embedding for Relation Extraction
开放知识图谱
12+阅读 · 2019年3月3日
论文浅尝 | 基于局内去噪和迁移学习的关系抽取
开放知识图谱
16+阅读 · 2018年12月2日
论文浅尝 | 基于多原型mention向量的文本-实体联合学习
论文浅尝 | 使用变分推理做KBQA
开放知识图谱
13+阅读 · 2018年4月15日
论文浅尝 | Improved Neural Relation Detection for KBQA
开放知识图谱
13+阅读 · 2018年1月21日
论文浅尝 | CFO: Conditional Focused Neural Question Answering
开放知识图谱
6+阅读 · 2017年12月15日
论文浅尝 | Reinforcement Learning for Relation Classification
开放知识图谱
9+阅读 · 2017年12月10日
Top
微信扫码咨询专知VIP会员