ECCV 2018 | 腾讯AI Lab提出正交深度特征分解算法:在多个跨年龄人脸识别任务中创造新记录

2018 年 9 月 8 日 机器之心

机器之心发布

腾讯 AI Lab

作者:Yitong Wang、Dihong Gong、Zheng Zhou、Xing Ji、Hao Wang、Zhifeng Li、Wei Liu、Tong Zhang


这项工作由腾讯 AI Lab 独立完成,其目的是通过研发新的深度学习模型以提高跨年龄人脸识别的精度。


在这篇文章里,我们提出了一种正交深度特征分解算法 OE-CNNs,通过把深度特征正交分解为年龄分量和身份分量,从而将年龄分量和身份分量有效分离开,从而达到减少年龄差异、提高跨年龄人脸识别精度的目标。


我们在多个跨年龄人脸识别的国际评测基准(FG-NET, Morph Album 2, CACD-VS)中都取得了国际领先的性能,显著提高了跨年龄人脸识别的精度。此外,我们还建立了一个新的跨年龄人脸数据库 CAF 以帮助促进跨年龄人脸识别研究。


跨年龄人脸识别是人脸识别领域中的一个极具挑战性的国际性难题。众所周知,同一个人的不同年龄阶段的图片会有非常大的差异,这些差异会严重影响到跨年龄人脸识别的精度。迄今为止,深度学习已经被广泛运用到人脸识别,并且取得了非常好的性能。但是,对于跨年龄人脸识别,问题,由于同一个人在不同年龄阶段下的多张人脸之间存在着非常显著的差异,这严重影响到现有的深度人脸识别模型的性能。为了克服这个巨大的年龄差异,在这篇文章里我们研发了一种新的深度学习算法,该算法把深度特征按照模长方向和角度方向(这两个方向是彼此正交的)分别分解为年龄成分和身份成分,如下图所示。



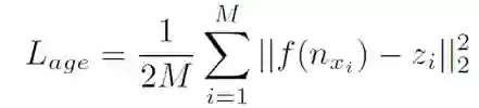
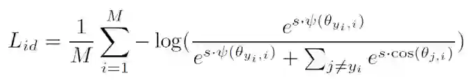
其中,年龄成分被分解成一维径向分量,而身份成分则分解为高维角度分量。这两种分量最后通过多任务学习的方式同时训练,最终的损失函数是二者损失的算术叠加:



其中身份成分的损失函数



而年龄成分的损失函数



基于这种新的分解模型我们可以把人脸的年龄分量和身份分量有效分离开,并基于身份分量来做跨年龄人脸识别从而有效提高跨年龄人脸识别的精度。


为了进一步提高跨年龄人脸识别性能,我们还采集了一个面向跨年龄人脸识别的的新型人脸数据库 CAF。我们通过在网上搜集名人在不同年龄段拍的照片,以保证这些训练图片有足够大的年龄差异。我们的搜集的人名来源于公共的信息库,比如 IMDB, Forbes Celebrity, Wikipedia 等。我们的 CAF 数据库有 4,668 个不同的人和这些人的 313,000 张图片。这个数据库的样例和统计分布如下图所示。



实验结果



在上表的 FG-NET 跨年龄人脸识别任务中,我们的新算法 OE-CNNs 取得了高达 53.26% 的第一识别率,比第二名的 38.21% 足足高了超过 15% 的识别率。



在上表的 Morph Album 2 识别任务中,我们的算法也稳定地高于其它所有的人脸算法。



在上表的对比实验中,能明显看出增加了我们新建立的 CAF 人脸数据做训练后,对于上表中的所有人脸算法,它们的识别率都能显著获得提升,这证明了 CAF 对于跨年龄人脸识别研究的帮助和价值。 



本文为机器之心发布,转载请联系本公众号获得授权

✄------------------------------------------------

加入机器之心(全职记者 / 实习生):[email protected]

投稿或寻求报道:content@jiqizhixin.com

广告 & 商务合作:[email protected]

登录查看更多
1

相关内容

【ICML 2020 】小样本学习即领域迁移
专知会员服务
78+阅读 · 2020年6月26日
最新《自然场景中文本检测与识别》综述论文,26页pdf
专知会员服务
70+阅读 · 2020年6月10日
【CVPR2020-Oral】用于深度网络的任务感知超参数
专知会员服务
28+阅读 · 2020年5月25日
【CVPR2020】图神经网络中的几何原理连接
专知会员服务
57+阅读 · 2020年4月8日
【CVPR2020-百度】用于视觉识别的门控信道变换
专知会员服务
13+阅读 · 2020年3月30日
TPAMI 2019 | 鲁棒RGB-D人脸识别
计算机视觉life
11+阅读 · 2019年6月8日
商汤及联合实验室入选论文重点解读 | ECCV 2018
Geometric Graph Convolutional Neural Networks
Arxiv
10+阅读 · 2019年9月11日
W-net: Bridged U-net for 2D Medical Image Segmentation
Arxiv
20+阅读 · 2018年7月12日
Arxiv
3+阅读 · 2017年12月14日
VIP会员
最新内容
KDD 2026 | MixRAGRec:面向LLM推荐的混合专家KG-RAG框架
BES:让语言模型通过双向进化搜索自我改进
专知会员服务
3+阅读 · 5月30日
以色列-美国-伊朗战争中的无人机:关键要点
专知会员服务
4+阅读 · 5月30日
《Palantir任务保障性软件安全标准(MA-S2)》
专知会员服务
14+阅读 · 5月30日
基于声学的无人机检测技术综述
专知会员服务
8+阅读 · 5月30日
《当代混合战争分析框架:俄乌战争经验教训》
战略前沿人工智能的再思考(中文)
专知会员服务
8+阅读 · 5月29日
《量化地基防空系统间接效应的博弈论方法》
专知会员服务
6+阅读 · 5月29日
相关VIP内容
【ICML 2020 】小样本学习即领域迁移
专知会员服务
78+阅读 · 2020年6月26日
最新《自然场景中文本检测与识别》综述论文,26页pdf
专知会员服务
70+阅读 · 2020年6月10日
【CVPR2020-Oral】用于深度网络的任务感知超参数
专知会员服务
28+阅读 · 2020年5月25日
【CVPR2020】图神经网络中的几何原理连接
专知会员服务
57+阅读 · 2020年4月8日
【CVPR2020-百度】用于视觉识别的门控信道变换
专知会员服务
13+阅读 · 2020年3月30日
Top
微信扫码咨询专知VIP会员