论文浅尝 | 面向 cQA 的跨语言问题检索方法

2019 年 11 月 25 日 开放知识图谱

论文笔记整理:谭亦鸣,东南大学博士生,研究方向为知识库问答。




来源:WWW2019

链接:https://dl.acm.org/citation.cfm?doid=3308558.3313502

           

      本文提出了一种面向cQA的跨语言问题检索方法,旨在对于给定的问题检索出其对应另一目标语言的相似问题或查询。这个任务(跨语言信息检索)的常规做法是:1.将给定问题翻译为目标语言;2.应用单语信息检索方法完成查询。这种做法的缺陷在于翻译可能存在错误,并传递到之后的检索过程。针对这一缺陷,作者基于上述方法提出改进:1.利用单语cQA数据提升翻译质量;2.在现有的神经信息检索模型的训练过程添加译回机制(back-translation),提升模型的鲁棒性。

 

贡献   

        本文贡献包括以下几点:

1.    研究了technical cQA上的跨语言问题检索方法,并发现翻译质量是严重影响检索性能的因素

2.    评估cQA问题检索中NMT领域适应性产生的影响

3.    基于现有的商用MT服务也可以达到较好的性能

 

方法

首先对任务进行一个描述:

给定一个输入问题q0和规模为N的相关问题list Q=q1, q2,…,qN(来自cQA),目标是对list进行重排序,从而找到list中与q0最相关的问题qi。跨语言问题检索的给定问题语言为德语(L1)list问题语言为英语(L2)

整体的pipeline如图1所示,给定问题q0首先由一个NMT神经翻译模型转换为L2语言,而后经过一个QR模型将翻译后的给定问题q0和待对比问题qi转换为向量表示,而后通过余弦相似度衡量两者的相关性。

NMT模型

     本文使用Transformer实现给定问题的翻译,作者使用WMT’13WMT’18数据集训练了英语-德语,德语-英语的翻译模型,包含4.5M的英德technical topic平行语料。作为对比,作者引入了谷歌翻译服务

QR模型

本文QR过程基于RCNN实现,该方法将循环单元(unit)与卷积网络相融合,将输入的问题q学习为一个修正维度的特征向量表示r,从而用于下一步的相似性计算。

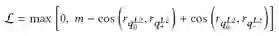
目标函数方面,作者通过随机产生负例,构建了联合损失函数形式如下:

面向跨语言改进

基于合成平行语料的领域神经机器翻译(In-Domain NMT

    具体做法就是,首先利用当前数据训练两个方向的翻译系统(英-德,德-英),而后将大规模领域单语数据(英语)翻译为德语,从而得到更大规模的英德领域平行语料,用于德-英翻译系统性能强化(即译回方法,back-translation)。由于这里的单语数据是本文任务需要的目标语言(英语),即生成的平行语料中即使存在错误也不在于目标语言句子中。因此在译文生成方面,并不会严重影响输出译文的语法错误或不通顺。

        作者举了一些例子在表1

  QR 过程中,back-translation 则用于生成多种问题的复述形式(paraphrase),从而扩充问题自然语言表达的多样性(当然也存在翻译错误,尤其基于少量数据训练得到的Transformer翻译系统存在大量的噪声,所以这里作者依赖于翻译性能更好的谷歌翻译服务来完成)。

           

实验

数据集

        2列举了本文问答实验数据集的一些统计信息,均来自technical领域。

模型与Baseline与实验结果

作者将实验分为了单语和跨语言两组,单语方面主要对比了QR模型(RCNNRCNN-A)在添加back-translation数据调优之后的性能变化。双语方面在此基础上则增加了直接使用谷歌翻译与自主训练Transformer模型之间的性能对比。

      作者也给出了一些实例进行对比,如表45所示:

 


 

OpenKG


开放知识图谱(简称 OpenKG)旨在促进中文知识图谱数据的开放与互联,促进知识图谱和语义技术的普及和广泛应用。

点击阅读原文,进入 OpenKG 博客。

登录查看更多
2

相关内容

论文浅尝 | 利用问题生成提升知识图谱问答
开放知识图谱
20+阅读 · 2019年11月5日
论文浅尝 | XQA:一个跨语言开放域问答数据集
开放知识图谱
26+阅读 · 2019年9月11日
论文浅尝 | 面向自动问题生成的跨语言训练
开放知识图谱
8+阅读 · 2019年9月6日
论文浅尝 | 基于复杂查询图编码的知识库问答
开放知识图谱
17+阅读 · 2019年7月22日
论文浅尝 | 基于知识库的神经网络问题生成方法
开放知识图谱
19+阅读 · 2019年6月21日
论文浅尝 | 面向知识图谱补全的共享嵌入神经网络模型
开放知识图谱
31+阅读 · 2019年4月7日
论文浅尝 | 基于Universal Schema与Memory Network的知识+文本问答
Arxiv
8+阅读 · 2019年3月28日
Arxiv
5+阅读 · 2018年10月23日
Knowledge Based Machine Reading Comprehension
Arxiv
4+阅读 · 2018年9月12日
VIP会员
最新内容
《第四代军事特种作战部队选拔与评估》
专知会员服务
0+阅读 · 今天6:23
不对称优势上升:自主系统如何强化海上拒止
专知会员服务
0+阅读 · 今天5:51
《人工智能赋能电磁战》(报告)
专知会员服务
2+阅读 · 4月17日
【CMU博士论文】迈向可扩展的开放世界三维感知
相关VIP内容
相关资讯
论文浅尝 | 利用问题生成提升知识图谱问答
开放知识图谱
20+阅读 · 2019年11月5日
论文浅尝 | XQA:一个跨语言开放域问答数据集
开放知识图谱
26+阅读 · 2019年9月11日
论文浅尝 | 面向自动问题生成的跨语言训练
开放知识图谱
8+阅读 · 2019年9月6日
论文浅尝 | 基于复杂查询图编码的知识库问答
开放知识图谱
17+阅读 · 2019年7月22日
论文浅尝 | 基于知识库的神经网络问题生成方法
开放知识图谱
19+阅读 · 2019年6月21日
论文浅尝 | 面向知识图谱补全的共享嵌入神经网络模型
开放知识图谱
31+阅读 · 2019年4月7日
论文浅尝 | 基于Universal Schema与Memory Network的知识+文本问答
Top
微信扫码咨询专知VIP会员