浅聊对比学习(Contrastive Learning)第二弹:MINE+SimCLR+SimCLRV2

2022 年 7 月 17 日 PaperWeekly


©作者 | 吴桐

研究方向 | 推荐系统



本文接上篇文章:

浅聊对比学习(Contrastive Learning)第一弹


这次主要是想记录下最近读的三篇对比学习的经典 paper:


SimCLR-A Simple Framework for Contrasting Learning of Visual Representations 

https://arxiv.org/abs/2002.05709 

SimCLRV2-Big Self-Supervised Models are Strong Semi-Supervised Learners 

https://arxiv.org/abs/2006.10029 

Mutual Information Neural Estimation 

https://arxiv.org/abs/1801.04062


题外话:SimCLR 和 SimCLRV2 看完后觉得 CV 的炼丹之路:路漫漫其修远兮。




SimCLR


在组内做paper reading的记录:

https://bytedance.feishu.cn/docx/doxcn0hAWqSip1niZE2ZCpyO4yb


顺带安利下公司的飞书文档,YYDS!

最近学到一个新词儿:「缝合怪」~


1.1 One Sentence Summary

提出了一个对比学习的框架,在今天看来框架不算特别新颖,但做了非常详实的实验,来验证对比学习到底能从哪些方面受益;个人感觉更像是一篇实验总结性 paper:告诉你对比学习的一些特性,提供一些实操中的调参方向。


1.2 算法

  • loss 就是 softmax loss + temperature
  • 这里有个需要注意的点,他在学到的 f 后面加了一个 g,然后进行 loss 的计算和梯度的回传,最后真正在使用的时候用的只有 f,这里作者的猜想和实验确实很有意思,很值得借鉴。(虽然在 SimCLRV2 中这个结论有变的很不一样了哈哈哈,后面会讲到)
  • 框架图:模型训练的时候 f 和 g 同时训练,但是训练完后,就把 g 扔掉了,只保留 f,这里是我觉得这篇论文最有意思的点,一般的思路其实应该是直接用 f 的输出去计算对比学习的 loss~
▲ 框架图

算法步骤

  • 代表 data augmentation 方式的集合:比如旋转,灰度,裁剪等等
  • batch_size = N,对每个 batch 内的每张图片,随机从 中选择两种 data augmentation,得到两张图片,这两张图片就是一个正样本对,总共可以生成 2N 个样本,每个样本有一个样本和自己是正样本对,剩下的 2N-2 都是负样本,这里是用了一个 softmax+temperature 的 loss。

▲ SimCLR算法

1.3 实验


实验图太多就不贴了,想看 detail 的可以直接看我的 paper_reading 记录:

https://bytedance.feishu.cn/docx/doxcn0hAWqSip1niZE2ZCpyO4yb


只对个人认为有意思的点说下。


实验证明对比学习可以从更大的 batch size 和更长的训练时间上受益


作者自己在这里也说:效果的提升是来自于 batch_size 越大,训练时间越久,见过的负样本越多,所以效果越好,这里其实和 batch_softmax 也有异曲同工之妙,在推荐里其实也有类似的经验~



验证在对比学习 loss 计算之前加入一个非线性的映射层会提高效果


作者认为是 g 被训练的能够自动去掉 data transformation 的噪音,为了验证这个猜想,作者做了这个实验:用 h 和 g(h) 来区分做了哪种 data transformation,从下面第二张实验结果图看出,h 确实保留了 data transformation 的信息。


▲ Furthermore, even when nonlinear projection is used, the layer before the projection head, h, is still much better (>10%) than the layer after, z = g(h), which shows that the hidden layer before the projection head is a better representation than the layer after



  • 实验证明「组合不同的 data augumentation」的重要性

  • 实验证明对比学习需要比有监督学习需要更强的 data agumentation

  • 实验证明无监督对比学习会在更大的模型上受益

  • 实验证明了不同 loss 对效果的影响




SimCLRV2


在组内做 paper reading 的记录:

https://bytedance.feishu.cn/docx/doxcn9P6oMZzuwZOrYAhYc5AUUe


2.1 One Sentence Summary

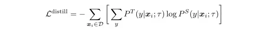
提出了一个基于对比学习半监督学习框架,在 SimCLR 后面接了一个 distillation 模块在做半监督学习,从而很好的提升了效果。(这篇 paper 很有意思的点:用了 self-distillation 居然会比原始的模型效果更好,这一点在组内做 paper reading 的时候,同事提出来了这个问题,后来调研了下,主要是说做 self-distillation 会让 teacher 模型学到不同的视图)

2.2 算法

分为三步:pre-training、fine-tuning、distillation(self-distillation)



分为三个阶段:

  • Pretraining:用了 SimCLR,然后用了更深的 projection head,同时不是直接把 projection head 丢了,而是用 projection head 的 1st layer,来做后面的 fine tune。。。(这也太 trick 了吧)

  • Fine-tune:用 SimCLR 训练出来的网络,接下游的 MLP,做 classification 任务,进行 fine-tune。

  • disitill:用训好的 teacher network 给无 label 的数据打上标签,作为 ground truth,送给 student network 训练。这个地方作者也尝试了加入有标签的(样本+标签),发现差距不大,所以就没有使用有监督样本的(样本+标签)。




2.3 实验结果

实验图就不全贴了,想看 detail 的可以直接看我的 paper_reading 记录:

https://bytedance.feishu.cn/docx/doxcn9P6oMZzuwZOrYAhYc5AUUe


只对个人认为有意思的点说下。


看一张放在论文首页的图吧(按照李沐大神的话说,放在首页的图一定是非常牛逼的图!),确实可以看出只用 1% 的数据+标签,就能获得到和有监督学习用 100% 数据+标签的效果;用 10% 的数据+标签就已经超过 SOTA 了,确实还是挺牛逼的。



Distillation Using Unlabeled Data Improves Semi-Supervised Learning


这个实验很有意思的点是,无论是 self-distillation 还是 distill small model,效果都比 teacher model 效果好,这里的解释可以看这里:Link | arxiv,很有趣~主要在说:distill 能让 student 学到更多的视图,从而提升了效果~



● Bigger Models Are More Label-Efficient

● Bigger/Deeper Projection Heads Improve Representation Learning




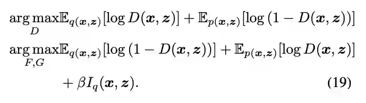
MINE


在组内做 paper reading 的记录:

https://bytedance.feishu.cn/docx/doxcnMHzZBeWFV4HZV6NAU7W73o


3.1 One Sentence Summary

将互信息加入到 loss function 中,从理论上证明了 MINE 更 flexible/scalable;减轻了 GAN 中的 mode-dropping 问题,同时提高了 ALI 的重建和 推理效果。(这篇文章的理论推导很多,感兴趣的建议看原 paper 或者 Link)

3.2 算法

  • 给定一个 batch 内的数据 ,其中 就是我们的训练集,batch_size = b。
  • 然后从训练集中随机 sample b 个 z,作为负样本。

  • 计算 loss,并回传梯度。



3.3 实验

实验图就不全贴了,想看 detail 的可以直接看我的 paper_reading 记录:

https://bytedance.feishu.cn/docx/doxcnMHzZBeWFV4HZV6NAU7W73o


只对个人认为有意思的点说下。


捕获非线性的依赖的能力:



接下来看下怎么将互信息运用到 GAN 和 Bi-GAN 上(具体的实验结果就不贴了,肯定是更好了,具体可以看 paper 或者我的 paper reading Link)

GAN上的应用:



Bi-GAN上的应用:





参考文献

[1] 极市平台:深度学习三大谜团:集成、知识蒸馏和自蒸馏

[2] Chen T, Kornblith S, Norouzi M, et al. A simple framework for contrastive learning of visual representations[C]//International conference on machine learning. PMLR, 2020: 1597-1607.

[3] Chen T, Kornblith S, Swersky K, et al. Big self-supervised models are strong semi-supervised learners[J]. Advances in neural information processing systems, 2020, 33: 22243-22255.

[4] Belghazi M I, Baratin A, Rajeshwar S, et al. Mutual information neural estimation[C]//International conference on machine learning. PMLR, 2018: 531-540.

[5] Allen-Zhu Z, Li Y. Towards understanding ensemble, knowledge distillation and self-distillation in deep learning[J]. arXiv preprint arXiv:2012.09816, 2020.



更多阅读



#投 稿 通 道#

 让你的文字被更多人看到 



如何才能让更多的优质内容以更短路径到达读者群体,缩短读者寻找优质内容的成本呢?答案就是:你不认识的人。


总有一些你不认识的人,知道你想知道的东西。PaperWeekly 或许可以成为一座桥梁,促使不同背景、不同方向的学者和学术灵感相互碰撞,迸发出更多的可能性。 


PaperWeekly 鼓励高校实验室或个人,在我们的平台上分享各类优质内容,可以是最新论文解读,也可以是学术热点剖析科研心得竞赛经验讲解等。我们的目的只有一个,让知识真正流动起来。


📝 稿件基本要求:

• 文章确系个人原创作品,未曾在公开渠道发表,如为其他平台已发表或待发表的文章,请明确标注 

• 稿件建议以 markdown 格式撰写,文中配图以附件形式发送,要求图片清晰,无版权问题

• PaperWeekly 尊重原作者署名权,并将为每篇被采纳的原创首发稿件,提供业内具有竞争力稿酬,具体依据文章阅读量和文章质量阶梯制结算


📬 投稿通道:

• 投稿邮箱:[email protected] 

• 来稿请备注即时联系方式(微信),以便我们在稿件选用的第一时间联系作者

• 您也可以直接添加小编微信(pwbot02)快速投稿,备注:姓名-投稿


△长按添加PaperWeekly小编




🔍


现在,在「知乎」也能找到我们了

进入知乎首页搜索「PaperWeekly」

点击「关注」订阅我们的专栏吧


·

登录查看更多
1

相关内容

【ICML2022】MetAug:通过元特征增强的对比学习
专知会员服务
25+阅读 · 2022年5月20日
专知会员服务
33+阅读 · 2021年7月27日
专知会员服务
90+阅读 · 2021年6月29日
【MIT】硬负样本的对比学习
专知会员服务
40+阅读 · 2020年10月14日
近期必读的六篇 ICML 2020【对比学习】相关论文
专知会员服务
57+阅读 · 2020年9月15日
【MIT】反偏差对比学习,Debiased Contrastive Learning
专知会员服务
92+阅读 · 2020年7月4日
浅聊对比学习(Contrastive Learning)
极市平台
3+阅读 · 2022年7月26日
浅聊对比学习(Contrastive Learning)第一弹
PaperWeekly
1+阅读 · 2022年6月10日
负采样,yyds!
夕小瑶的卖萌屋
0+阅读 · 2022年2月17日
【NeurIPS'21】从典型相关分析到自监督图表示学习
图灵奖大佬 Lecun 发表对比学习新作,比 SimCLR 更好用!
夕小瑶的卖萌屋
0+阅读 · 2021年11月17日
PyTorch 学习笔记(六):PyTorch的十七个损失函数
极市平台
47+阅读 · 2019年5月13日
博客 | CIFAR10 数据预处理
AI研习社
11+阅读 · 2018年10月12日
国家自然科学基金
0+阅读 · 2015年12月31日
国家自然科学基金
0+阅读 · 2015年12月31日
国家自然科学基金
0+阅读 · 2014年12月31日
国家自然科学基金
1+阅读 · 2013年12月31日
国家自然科学基金
0+阅读 · 2013年12月31日
国家自然科学基金
0+阅读 · 2013年12月31日
国家自然科学基金
0+阅读 · 2012年12月31日
国家自然科学基金
1+阅读 · 2011年12月31日
国家自然科学基金
0+阅读 · 2009年12月31日
国家自然科学基金
5+阅读 · 2008年12月31日
Arxiv
0+阅读 · 2022年9月9日
Arxiv
69+阅读 · 2022年9月7日
Max-Margin Contrastive Learning
Arxiv
18+阅读 · 2021年12月21日
Arxiv
31+阅读 · 2020年9月21日
Arxiv
11+阅读 · 2018年1月18日
VIP会员
最新内容
BES:让语言模型通过双向进化搜索自我改进
专知会员服务
2+阅读 · 5月30日
以色列-美国-伊朗战争中的无人机:关键要点
专知会员服务
4+阅读 · 5月30日
《Palantir任务保障性软件安全标准(MA-S2)》
专知会员服务
9+阅读 · 5月30日
基于声学的无人机检测技术综述
专知会员服务
6+阅读 · 5月30日
《当代混合战争分析框架:俄乌战争经验教训》
战略前沿人工智能的再思考(中文)
专知会员服务
8+阅读 · 5月29日
《量化地基防空系统间接效应的博弈论方法》
专知会员服务
6+阅读 · 5月29日
相关VIP内容
【ICML2022】MetAug:通过元特征增强的对比学习
专知会员服务
25+阅读 · 2022年5月20日
专知会员服务
33+阅读 · 2021年7月27日
专知会员服务
90+阅读 · 2021年6月29日
【MIT】硬负样本的对比学习
专知会员服务
40+阅读 · 2020年10月14日
近期必读的六篇 ICML 2020【对比学习】相关论文
专知会员服务
57+阅读 · 2020年9月15日
【MIT】反偏差对比学习,Debiased Contrastive Learning
专知会员服务
92+阅读 · 2020年7月4日
相关资讯
浅聊对比学习(Contrastive Learning)
极市平台
3+阅读 · 2022年7月26日
浅聊对比学习(Contrastive Learning)第一弹
PaperWeekly
1+阅读 · 2022年6月10日
负采样,yyds!
夕小瑶的卖萌屋
0+阅读 · 2022年2月17日
【NeurIPS'21】从典型相关分析到自监督图表示学习
图灵奖大佬 Lecun 发表对比学习新作,比 SimCLR 更好用!
夕小瑶的卖萌屋
0+阅读 · 2021年11月17日
PyTorch 学习笔记(六):PyTorch的十七个损失函数
极市平台
47+阅读 · 2019年5月13日
博客 | CIFAR10 数据预处理
AI研习社
11+阅读 · 2018年10月12日
相关基金
国家自然科学基金
0+阅读 · 2015年12月31日
国家自然科学基金
0+阅读 · 2015年12月31日
国家自然科学基金
0+阅读 · 2014年12月31日
国家自然科学基金
1+阅读 · 2013年12月31日
国家自然科学基金
0+阅读 · 2013年12月31日
国家自然科学基金
0+阅读 · 2013年12月31日
国家自然科学基金
0+阅读 · 2012年12月31日
国家自然科学基金
1+阅读 · 2011年12月31日
国家自然科学基金
0+阅读 · 2009年12月31日
国家自然科学基金
5+阅读 · 2008年12月31日
Top
微信扫码咨询专知VIP会员