图灵奖大佬 Lecun 发表对比学习新作,比 SimCLR 更好用!

2021 年 11 月 17 日 夕小瑶的卖萌屋

文 | Rukawa_Y
编 | 智商掉了一地,Sheryc_王苏

比 SimCLR 更好用的 Self-Supervised Learning,一起来看看吧!

Self-Supervised Learning作为深度学习中的独孤九剑,当融汇贯通灵活应用之后,也能打败声名在外的武当太极剑。比如在NLP领域中,每当遇到文本分类的问题,BERT + funetuning的套路来应对,但是也正因为如此大家解决问题的思路出现固化。也正是这个原因,当本菜鸟第一次接触到Self-Supervised Learning这个概念时,就在项目中尝试应用Self-Supervised的SimCLR方法,但是却事与愿违,模型的预测效果并没有显著地提升,反而出现了一丢丢的下降,等厚着脸皮求助大佬后才明白,SimCLR对于模型效果的提升必须基于大Batch Size才会有效果。

而在近期,由 Yann Lecun 等人发表了一篇题为《Decouple Contrastive Learning》的论文,其中仔细分析了SimCLR和其他自监督学习模型所使用的InfoNCE损失函数,仅仅对InfoNCE的表达式进行了一处修改,就大大缓解了InfoNCE对于大Batch Size的需求问题,并在不同规模的Vision Benchmarks上均取得优于SimCLR的结果。

接下来就让我们跟随论文的思路,一起学习Decoupled Contrastive Learning吧。

论文标题
Decoupled Contrastive Learning

论文链接
https://arxiv.org/abs/2110.06848

1 对比学习中正负样本的解耦

作为本文的背景,我们先来介绍一下SimCLR的基本思想,它是对训练样本做数据增强(例如对于图像进行裁剪等),训练模型让同一图片增强后得到的表示相近,并互斥不同图片增强后的表示。

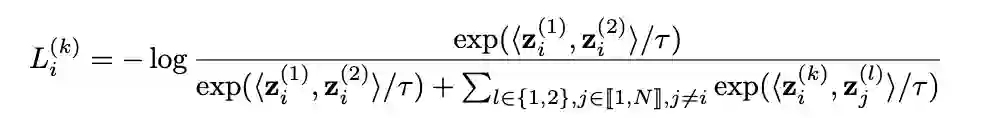
论文从SimCLR所使用的InfoNCE损失函数开始分析。InfoNCE对于其中一个样本 的增强数据 的InfoNCE损失函数 如下:

其中所使用的各个变量的意义分别为:

  • 为一个Batch中所使用的样本, 为Batch Size;
  • 是样本 增强后的两个数据;
  • 是对于Batch中所有样本增强后的数据集合;
  • 是样本 的增强数据输入到Encode Layer中所对应的输出;
  • 是归一化后的表示。

InfoNCE的损失函数分别求对于 的梯度:(这里作者对梯度进行了一定的变化,变化过程可参照论文附录的第一部分)

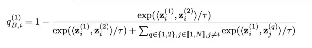
其中需要注意的是损失函数的梯度中均有一个系数 ,这个系数导致模型训练的梯度发生了放缩。该系数的具体形式如下:

作者将这个导致SimCLR模型梯度放缩的系数称为Negative-Positive Coupling (NPC) Multiplier,即NPC乘数。NPC乘数分子和分母上出现的 中衡量了正样本对的相似度,而分母上出现的 则衡量了负样本对的相似度。

顾名思义, 对训练的影响与正负样本的耦合有关:当负样本较为分散时,正样本同样可能较为分散;反之,当正样本较为紧凑时,负样本同样可能较为紧凑。论文中对于不同情形下的NPC乘数进行了定性分析,总结如下:

  • 当训练使用的正样本较 分散时,负样本可能同样比较 分散。此时 正样本为Hard Positive,负样本为Easy Negative。这使得NPC乘数分子分母上的相似度同时减小,得到的小于1的NPC乘数会 减小Hard Positive带来的梯度幅度
  • 当训练使用的负样本较 紧凑时,正样本可能同样比较 紧凑。此时 正样本为Easy Positive,负样本为Hard Negative。这使得NPC乘数分子分母上的相似度同时增大,得到的小于1的NPC乘数会 减小Hard Negative带来的梯度幅度
  • Batch Size较小时,分母上对Batch中负样本相似度的求和会受限于Batch Size,得到 更小的NPC乘数,使得 梯度幅度进一步被减小

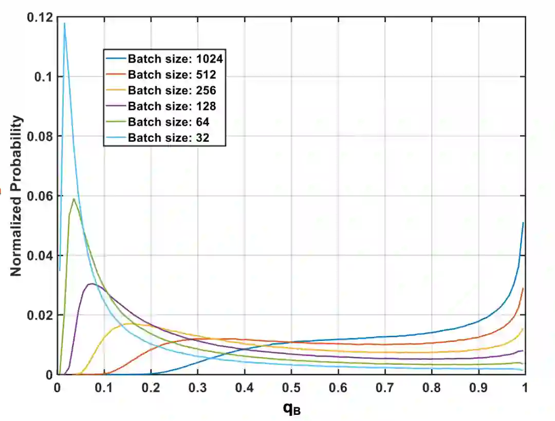
由此可见,SimCLR对于大Batch Size的需求很可能来自于NPC乘数对于梯度的缩小。Batch Size同NPC乘数 分布的具体的关系见下图:

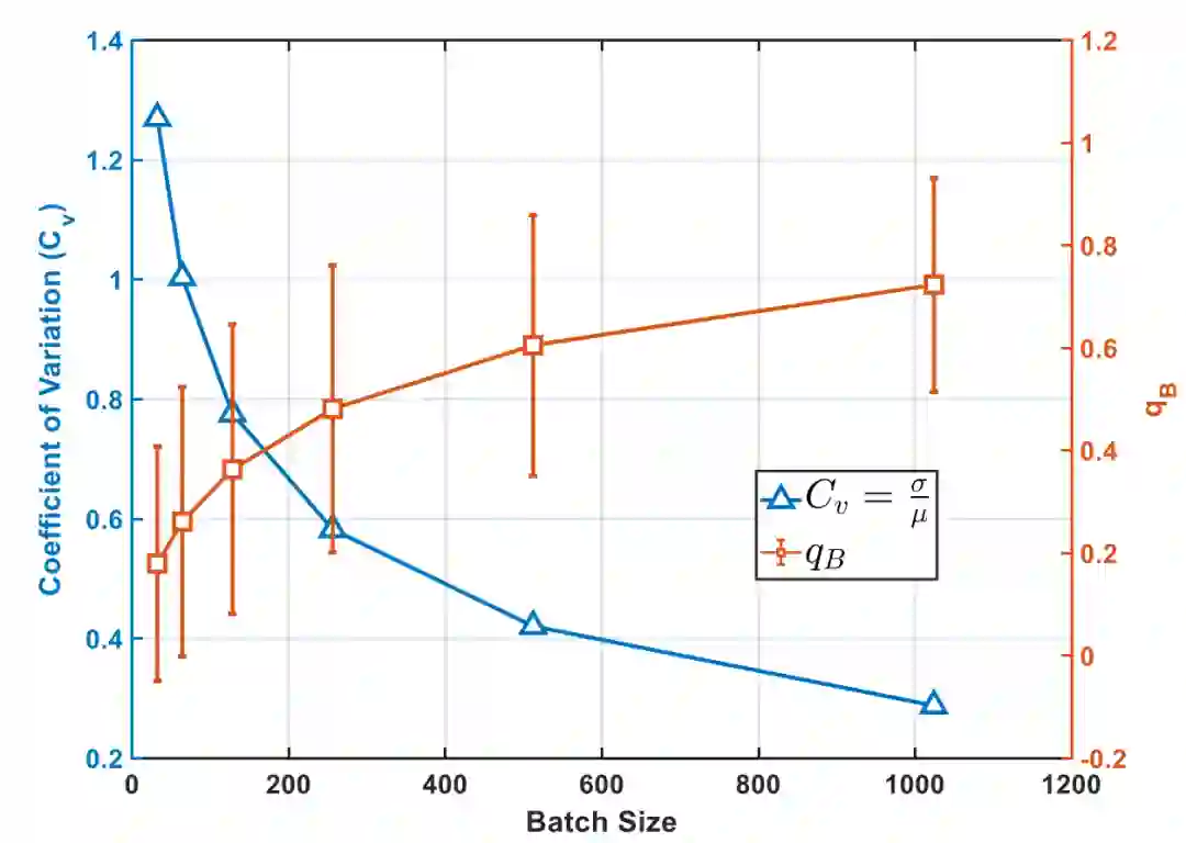
从图中可以明显看出,Batch Size越小, 的分布越接近于 ;Batch Size越大, 的分布越接近于 。同时作者还给出了 的均值和离散系数同Batch Size的关系,见下图:

可以看出,小的Batch Size使得 的均值减小,离散系数增大,从而使得训练过程中的梯度被大幅缩小。

综上所述,SimCLR等自监督模型中对于大Batch Size的需求问题一定程度上来自于 。论文的作者由此修改了InfoNCE的公式来消除 的影响,从而引出了本文的核心:Decoupled Contrastive Learning Loss。

2 Decoupled Contrastive Learning

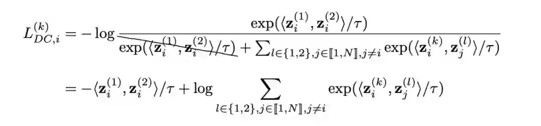
既然NPC乘数的存在会使得梯度被缩小,那么移除掉NPC乘数不就能解决上面的问题了么?通过将导数中的NPC乘数移除,作者推导出了下面的损失函数。在这个损失函数中,正负样本的耦合带来的梯度放缩被消去,作者将该损失称为Decoupled Contrastive Learning (DCL) Loss,即解耦对比损失函数

可见,Decoupled Constrive Learning中的损失直接去掉了SimCLR损失函数分母中两个正样本对之间的相似度,从而直接计算正样本对的相似度同所有负样本对相似度之和的比值。

Decoupled Contrastive Learning中所对应的梯度如下:

我们同样针对正负样本对耦合和Batch Size较小的情况,具体分析反向传播过程中的梯度:因为缺少了NPC这个系数的影响,当出现正负样本耦合的情况,正负样本比较分散(Hard Positive + Easy Negative)或者正负样本比较集中(Easy Positive + Hard Negative)反向传播过程中梯度幅度就不会减少,同时因为没有了NPC系数的存在,比较小的Batch Size也就不会使得梯度幅度变得很小。

综上所述,消去了NPC乘数的DCL损失函数能较SimCLR损失取得更好的效果,后面的实验结果也对此进行了证明。

同时论文的作者还提出了一种DCL损失的变形,即对DCL损失中衡量正样本对相似度的一项增加一个权重 。作者将其称为DCLW损失

上式中,权重使用负von Mises-Fisher权重函数

为参数,在后续实验中取0.5。这一权重使得在出现Hard Positive时能增大其提供的训练信号。显然, 的一个特殊情况。

总结来说,DCL损失仅在SimCLR所采用的损失函数基础上采取了一些小的改动,使得模型能够在训练过程中也不要求大Batch Size,同时对正负样本对进行解耦。

3 实验结果

论文作者首先比较在不同的Batch Size下,使用DCL损失和InfoNCE损失的SimCLR在ImageNet、STL10、CIFAR10和CIFAR100数据集上的表现:

可以发现在不同的Batch Size上,DCL损失的效果均优于SimCLR。同时,Batch Size越小,DCL损失提供的性能提升越大,这与先前的理论推导一致。

作者又比较了在Batch Size固定为256,epoch固定为200时的DCL损失和加权重的DCLW损失,结果如下:

可以看出,DCLW损失相较于DCL损失能进一步提升模型效果,甚至在ImageNet-1K上能够以256的Batch Size超越SimCLR使用8192 Batch Size的结果,66.2%。可见,DCL和DCLW损失能够通过较小的改动解决SimCLR对于大Batch Size的依赖。

4 文章小结

本篇论文针对自监督学习中的SimCLR方法为何要求较大Batch Size的原因开始分析,提出了一种可以让自监督学习在较小的Batch Size上取得很好效果的loss函数,大幅降低了自监督学习的计算成本,使得自监督学习可以有更广泛的应用。

除此之外,本篇论文还分析了SimCLR中使用的loss函数在反向传播梯度计算中的问题时,提出的一种名为正负样本耦合(Negative-Positive Coupling) 现象,同时也给予了我们一定的启发,如果是同SimCLR中所用的InfoNCE形式不相同的loss函数,在计算梯度的时候,是否也会有正负样本耦合现象,或者说不仅仅有正负样本耦合的现象,还有例如对于不同正样本的,在不同负样本之间的负负样本耦合的现象等,如果能够分析出Self-Supervised Learning中不同方法可能存在不同的耦合现象,那么我们是否可以进一步地提升自监督模型的效果,这些都是值得我们去思考和探索的。

后台回复关键词【入群

加入卖萌屋NLP/IR/Rec与求职讨论群

后台回复关键词【顶会

获取ACL、CIKM等各大顶会论文集!

登录查看更多
0

相关内容

专知会员服务
18+阅读 · 2020年10月18日
近期必读的六篇 ICML 2020【对比学习】相关论文
专知会员服务
57+阅读 · 2020年9月15日
【2020 最新论文】对比学习中什么应该不是对比的?
专知会员服务
39+阅读 · 2020年8月16日
赛尔笔记 | 对比学习
哈工大SCIR
0+阅读 · 2021年7月27日
深度学习,路在何方?
夕小瑶的卖萌屋
0+阅读 · 2021年7月12日
笔记 | Deep active learning for named entity recognition
黑龙江大学自然语言处理实验室
24+阅读 · 2018年5月27日
国家自然科学基金
5+阅读 · 2015年12月31日
国家自然科学基金
0+阅读 · 2014年12月31日
国家自然科学基金
1+阅读 · 2013年12月31日
国家自然科学基金
2+阅读 · 2013年12月31日
国家自然科学基金
0+阅读 · 2013年12月31日
国家自然科学基金
1+阅读 · 2013年12月31日
国家自然科学基金
0+阅读 · 2012年12月31日
国家自然科学基金
0+阅读 · 2012年12月31日
国家自然科学基金
0+阅读 · 2012年12月31日
国家自然科学基金
1+阅读 · 2012年12月31日
Arxiv
0+阅读 · 2022年4月20日
Arxiv
13+阅读 · 2022年4月12日
Learning Embedding Adaptation for Few-Shot Learning
Arxiv
17+阅读 · 2018年12月10日
Arxiv
16+阅读 · 2018年2月7日
VIP会员
最新内容
《美陆军条例:陆军指挥政策(2026版)》
专知会员服务
4+阅读 · 今天8:10
《军用自主人工智能系统的治理与安全》
专知会员服务
4+阅读 · 今天8:02
《系统簇式多域作战规划范畴论框架》
专知会员服务
7+阅读 · 4月20日
高效视频扩散模型:进展与挑战
专知会员服务
3+阅读 · 4月20日
乌克兰前线的五项创新
专知会员服务
7+阅读 · 4月20日
 军事通信系统与设备的技术演进综述
专知会员服务
6+阅读 · 4月20日
《北约标准:医疗评估手册》174页
专知会员服务
5+阅读 · 4月20日
相关VIP内容
专知会员服务
18+阅读 · 2020年10月18日
近期必读的六篇 ICML 2020【对比学习】相关论文
专知会员服务
57+阅读 · 2020年9月15日
【2020 最新论文】对比学习中什么应该不是对比的?
专知会员服务
39+阅读 · 2020年8月16日
相关资讯
赛尔笔记 | 对比学习
哈工大SCIR
0+阅读 · 2021年7月27日
深度学习,路在何方?
夕小瑶的卖萌屋
0+阅读 · 2021年7月12日
笔记 | Deep active learning for named entity recognition
黑龙江大学自然语言处理实验室
24+阅读 · 2018年5月27日
相关基金
国家自然科学基金
5+阅读 · 2015年12月31日
国家自然科学基金
0+阅读 · 2014年12月31日
国家自然科学基金
1+阅读 · 2013年12月31日
国家自然科学基金
2+阅读 · 2013年12月31日
国家自然科学基金
0+阅读 · 2013年12月31日
国家自然科学基金
1+阅读 · 2013年12月31日
国家自然科学基金
0+阅读 · 2012年12月31日
国家自然科学基金
0+阅读 · 2012年12月31日
国家自然科学基金
0+阅读 · 2012年12月31日
国家自然科学基金
1+阅读 · 2012年12月31日
相关论文
Top
微信扫码咨询专知VIP会员