AAAI 2022 | 同时适用于同质和异质性的图神经网络

2022 年 9 月 29 日 PaperWeekly


©作者 | 庄双双

来源 | MIND Laboratory



论文标题:

Powerful Graph Convolutioal Networks with Adaptive Propagation Mechanism for Homophily and Heterophily

收录会议:

AAAI 2022

论文链接:

https://arxiv.org/abs/2112.13562




文章概述

图卷积网络 (GCN) 在处理图结构数据方面具有显著的能力,已经获得了巨大的成功,并已被应用于各种网络分析任务,包括节点分类,社区检测,异常检测和推荐系统。尽管近年来提出了许多基于 GCN 的方法、如 GraphSa、GAT、MixHop 和 HIN,基于 GCN 的方法通过图邻域内的特征传播和聚集来反映同质性假设。

这些方法在许多具有同质性的网络下游任务中表现出令人满意的性能,然而在异质性或低同质性的情况下,这些方法的性能很差,因为作为 GCN 最基本的部分,图邻域内的传播机制是有问题的,会混合来自不同类别的不相关信息。

为了解决该问题,本文设计了一种新的传播机制(同质性指导的图卷积框架 HOG-GCN),可以根据节点对之间的同质性或异质性自适应的改变传播和聚合过程。因此,新的图卷积框架可以通过使用亲和度矩阵对节点对之间的亲和度进行建模,自动改变特征传播过程。最终从从理论上证明了我们的模型可以根据节点之间的同质性来约束节点之间表征的相似性。



论文方法
HOG-GCN 的模型体系结构:

2.1 Homophily Degree Matrix Estimation

由于在半监督任务下只有部分标签信息可用,因此很难直接从节点标签中计算出亲和度。为此,我们考虑分别从属性空间拓扑空间来估计节点对之间的亲和度,然后将它们与可调整的参数相结合。 

属性空间:我们应用图不可知的多层感知器(MLP)从原始节点属性中提取类感知信息:


设 MLP 的所有参数均为 ,则通过 MLP 最小化随后的预测标签损失,得到最优的

然后根据矩阵 B,我们可以计算出两个节点属于同一类的程度,称为同质度矩阵,定义为:

拓扑空间:经典的标签传播通常假设两个连接的节点更有可能具有相同的类,从而在邻域之间迭代地传播标签,在迭代 l 中的标签传播定义如下:


由于网络表现出不同的异质性,我们在网络的 K 阶结构上进行标签传播,以捕捉更多的同质性节点(例如 k=2)。K 阶结构定义为:

然后将迭代 l 中的广义标签传播定义为:


然后,我们可以通过广义标签传播来最小化预测标签的损失来学习最优边权值



最优的 使每个节点被广义标签传播正确分类的概率最大化,从而也增加了类内的影响,这反映了两个节点属于同一类的程度。为了形成一个端到端模式,这里我们取权值矩阵T作为从拓扑中估计的同质度矩阵空间。

最后,为了使模型更加有效和鲁棒性,我们将从属性空间和拓扑空间估计的均匀度矩阵与可调参数组合如下:


其中,α 和 β 是超参数,矩阵 S 包含任意节点对之间的同质度,而 T 在 k 阶邻域内学习同质度。

2.2 Homophily-guided Propagation

我们的方法的核心是自适应地学习同质性和异质性的传播过程。因此,我们将可学习的同质性度矩阵纳入图卷积框架中,以自动改变传播权值根据同质性程度。最后给出了 HOG-GCN 方法在迭代 l 中的特征传播过程:


2.3 Optimization Objective

整个框架由同质度矩阵估计和同质度引导传播两部分组成。第一个组件包含 MLP 和广义标签传播。通过给出了 MLP 和广义标签传播的目标函数(前文已给出)。


在第二个分量中,我们将同质度矩阵纳入图卷积框架。表示图卷积运算的所有参数均为 ,然后根据 HOG-GCN 的最终输出 Z 得到最优的



在该模型中,在传播过程中从属性和拓扑信息中学习同质度矩阵,并进一步用于进行特征传播。反过来,传播过程可以帮助更好地学习同质性度矩阵。也就是说,这两个组成部分相互增强。因此,我们将这些目标结合起来,以端到端的方式训练整个过程:


其中,λ,γ 为平衡超参数。这样,特征传播过程由当前的同质性度矩阵引导,传播结果可以进行同质性学习通过半监督分类的度矩阵。

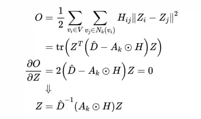
2.4 Theoretical Analysis

在本节中,我们证明了我们的新方法可以根据 k 阶邻域内节点之间的同源性来约束节点之间表示的相似性。将 HOG-GCN 的输出表示为 Z,则其传播过程可以视为最小化下面的目标函数。


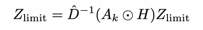
然后,它可以解释为一个极限分布:


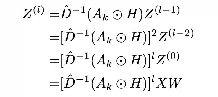
我们使用以下迭代形式来近似与 的极限:



当忽略非线性变换并初始化 时,我们有:


这对应于 HOGGCN 的传播过程。




实验结果

3.1 Datasets



作者在 7 个真实数据集上评估了所提出的 HOG-GCN 和现有方法的性能。

3.2 Node Classification

3.3 Visualization




总结


在本文中,提出了一种新颖的同质引导图可以普遍适用的卷积网络同性和异性网络。具体来说,我们将可学习的同质度矩阵合并到图中用于建模同质性的卷积框架和网络的异质性和进一步的自适应变化节点对之间根据同质度的传播过程。学习同质度矩阵通过提取类感知信息从属性和拓扑信息中提取可以进行传播过程。作为回报,传播过程的结果可以进步通过下游帮助学习同质度矩阵半监督任务。这两个过程可以增强互相训练,共同训练。对七个真实世界数据集的实验表明,所提出的新方法在异质性下优于现有方法,同时拥有同质性下的竞争表现。

更多阅读



#投 稿 通 道#

 让你的文字被更多人看到 



如何才能让更多的优质内容以更短路径到达读者群体,缩短读者寻找优质内容的成本呢?答案就是:你不认识的人。


总有一些你不认识的人,知道你想知道的东西。PaperWeekly 或许可以成为一座桥梁,促使不同背景、不同方向的学者和学术灵感相互碰撞,迸发出更多的可能性。 


PaperWeekly 鼓励高校实验室或个人,在我们的平台上分享各类优质内容,可以是最新论文解读,也可以是学术热点剖析科研心得竞赛经验讲解等。我们的目的只有一个,让知识真正流动起来。


📝 稿件基本要求:

• 文章确系个人原创作品,未曾在公开渠道发表,如为其他平台已发表或待发表的文章,请明确标注 

• 稿件建议以 markdown 格式撰写,文中配图以附件形式发送,要求图片清晰,无版权问题

• PaperWeekly 尊重原作者署名权,并将为每篇被采纳的原创首发稿件,提供业内具有竞争力稿酬,具体依据文章阅读量和文章质量阶梯制结算


📬 投稿通道:

• 投稿邮箱:[email protected] 

• 来稿请备注即时联系方式(微信),以便我们在稿件选用的第一时间联系作者

• 您也可以直接添加小编微信(pwbot02)快速投稿,备注:姓名-投稿


△长按添加PaperWeekly小编




🔍


现在,在「知乎」也能找到我们了

进入知乎首页搜索「PaperWeekly」

点击「关注」订阅我们的专栏吧


·

登录查看更多
0

相关内容

AAAI 2022|对抗攻击鲁棒的异质图神经网络
专知会员服务
36+阅读 · 2022年3月28日
【AAAI2022】同时适用于同质和异质性的图神经网络
专知会员服务
32+阅读 · 2022年1月3日
CIKM2021 | 异质图上的图神经网络对比预训练
专知会员服务
16+阅读 · 2021年11月8日
专知会员服务
52+阅读 · 2021年5月30日
【WWW2021】用优化框架解释和统一图神经网络
专知会员服务
45+阅读 · 2021年2月1日
专知会员服务
110+阅读 · 2020年12月22日
专知会员服务
38+阅读 · 2020年11月24日
【图神经网络(GNN)结构化数据分析】
专知会员服务
117+阅读 · 2020年3月22日
必读的7篇IJCAI 2019【图神经网络(GNN)】相关论文-Part2
专知会员服务
62+阅读 · 2020年1月10日
八篇NeurIPS 2019【图神经网络(GNN)】相关论文
专知会员服务
44+阅读 · 2020年1月10日
AAAI 2022 | 正交图神经网络
PaperWeekly
1+阅读 · 2022年11月17日
IJCAI 2022 | 超越同质性的图神经网络
PaperWeekly
0+阅读 · 2022年9月6日
AAAI 2022 | 对抗攻击鲁棒的异质图神经网络
PaperWeekly
1+阅读 · 2022年8月16日
IJCAI 2022 | 图神经网络可以检测到异常吗?
PaperWeekly
0+阅读 · 2022年8月7日
AAAI 2022|对抗攻击鲁棒的异质图神经网络
专知
3+阅读 · 2022年3月29日
AAAI 2022 | 面向图数据的对抗鲁棒性研究
专知
1+阅读 · 2022年1月4日
AAAI'21 | 对比自监督的图分类
图与推荐
8+阅读 · 2021年10月28日
基于注意力机制的图卷积网络
科技创新与创业
74+阅读 · 2017年11月8日
国家自然科学基金
1+阅读 · 2014年12月31日
国家自然科学基金
6+阅读 · 2013年12月31日
国家自然科学基金
0+阅读 · 2013年12月31日
国家自然科学基金
1+阅读 · 2013年12月31日
国家自然科学基金
0+阅读 · 2013年12月31日
国家自然科学基金
0+阅读 · 2012年12月31日
国家自然科学基金
1+阅读 · 2012年12月31日
国家自然科学基金
0+阅读 · 2011年12月31日
国家自然科学基金
1+阅读 · 2011年12月31日
国家自然科学基金
0+阅读 · 2011年12月31日
Arxiv
10+阅读 · 2021年2月26日
Arxiv
31+阅读 · 2020年9月21日
Heterogeneous Graph Transformer
Arxiv
27+阅读 · 2020年3月3日
Heterogeneous Deep Graph Infomax
Arxiv
12+阅读 · 2019年11月19日
Arxiv
22+阅读 · 2018年2月14日
VIP会员
最新内容
以色列-美国-伊朗战争中的无人机:关键要点
专知会员服务
1+阅读 · 34分钟前
《Palantir任务保障性软件安全标准(MA-S2)》
专知会员服务
2+阅读 · 49分钟前
基于声学的无人机检测技术综述
专知会员服务
3+阅读 · 今天13:37
《当代混合战争分析框架:俄乌战争经验教训》
专知会员服务
3+阅读 · 今天13:11
战略前沿人工智能的再思考(中文)
专知会员服务
7+阅读 · 5月29日
《量化地基防空系统间接效应的博弈论方法》
专知会员服务
5+阅读 · 5月29日
“史诗怒火行动”中美军损失的作战飞机
专知会员服务
6+阅读 · 5月29日
ICML 2026 | 理解上下文持续学习中的泛化与遗忘
专知会员服务
5+阅读 · 5月28日
相关VIP内容
AAAI 2022|对抗攻击鲁棒的异质图神经网络
专知会员服务
36+阅读 · 2022年3月28日
【AAAI2022】同时适用于同质和异质性的图神经网络
专知会员服务
32+阅读 · 2022年1月3日
CIKM2021 | 异质图上的图神经网络对比预训练
专知会员服务
16+阅读 · 2021年11月8日
专知会员服务
52+阅读 · 2021年5月30日
【WWW2021】用优化框架解释和统一图神经网络
专知会员服务
45+阅读 · 2021年2月1日
专知会员服务
110+阅读 · 2020年12月22日
专知会员服务
38+阅读 · 2020年11月24日
【图神经网络(GNN)结构化数据分析】
专知会员服务
117+阅读 · 2020年3月22日
必读的7篇IJCAI 2019【图神经网络(GNN)】相关论文-Part2
专知会员服务
62+阅读 · 2020年1月10日
八篇NeurIPS 2019【图神经网络(GNN)】相关论文
专知会员服务
44+阅读 · 2020年1月10日
相关资讯
AAAI 2022 | 正交图神经网络
PaperWeekly
1+阅读 · 2022年11月17日
IJCAI 2022 | 超越同质性的图神经网络
PaperWeekly
0+阅读 · 2022年9月6日
AAAI 2022 | 对抗攻击鲁棒的异质图神经网络
PaperWeekly
1+阅读 · 2022年8月16日
IJCAI 2022 | 图神经网络可以检测到异常吗?
PaperWeekly
0+阅读 · 2022年8月7日
AAAI 2022|对抗攻击鲁棒的异质图神经网络
专知
3+阅读 · 2022年3月29日
AAAI 2022 | 面向图数据的对抗鲁棒性研究
专知
1+阅读 · 2022年1月4日
AAAI'21 | 对比自监督的图分类
图与推荐
8+阅读 · 2021年10月28日
基于注意力机制的图卷积网络
科技创新与创业
74+阅读 · 2017年11月8日
相关基金
国家自然科学基金
1+阅读 · 2014年12月31日
国家自然科学基金
6+阅读 · 2013年12月31日
国家自然科学基金
0+阅读 · 2013年12月31日
国家自然科学基金
1+阅读 · 2013年12月31日
国家自然科学基金
0+阅读 · 2013年12月31日
国家自然科学基金
0+阅读 · 2012年12月31日
国家自然科学基金
1+阅读 · 2012年12月31日
国家自然科学基金
0+阅读 · 2011年12月31日
国家自然科学基金
1+阅读 · 2011年12月31日
国家自然科学基金
0+阅读 · 2011年12月31日
相关论文
Top
微信扫码咨询专知VIP会员