AAAI 2022 | 正交图神经网络

2022 年 11 月 17 日 PaperWeekly


©作者 | 桑士龙
单位 | 南京邮电大学
来源 | MIND Laboratory




论文介绍


图神经网络 (GNNs) 模型依靠消息传递和特征转换函数来编码来自邻居的结构和特征信息,消息传递是沿着边传递邻居消息,特征转换是通过投影节点嵌入来提高模型的学习能力,但卷积层太多则会导致 GNNs 的性能降低。最近的研究指出这个问题来源于过平滑,也就是因为图结构上的递归邻域聚合导致节点表示变得难以区分。最近提出了图增强等模型来缓解过平滑,主要思想是避免过多的邻域信息,在每个卷积层都强化自身的特定节点特征。 


相比于深层的 GNNs 模型,本文更加关注影响浅层 GNNs 性能的主要因素。因为从图 1(d) 中可以看到,当 GNNs 的深度增加达到 8 层时,节点分类精度就会迅速下降,但此时还没有达到过平滑的状态。而作者发现仅仅移除特征转换模块,即便有几十个卷积层,但 GNNs 依然可以稳定的执行。


作者通过大量实验提出,因为设计了不恰当的特征转换导致不稳定的前向归一化和后向梯度,最终导致了 GNNs 性能下降。如图 1(a) 和 (b)vanilla GNNs 有前向嵌入爆炸和后向梯度消失的问题,前向嵌入爆炸改变了层之间的内部嵌入分布,使模型训练效率低下,后向梯度消失阻碍了特征转换模块适应下游任务的优化。因此作者认为 vanilla 特征转换在前向和后向都破坏了模型的稳定,从而导致性能降低。 



为了克服训练的不稳定性,本文提出了一种新的正交特征变换方法来保证特征变换的正交性,称为 Ortho-GConv,可以对现有的 GNNs 进行扩展,提升泛化能力。


论文标题:
Orthogonal Graph Neural Networks

论文链接:

https://arxiv.org/pdf/2109.11338.pdf




论文贡献

1. 提出了两个衡量前向推理和后向梯度稳定性的指标,从理论和实验证明了不稳定特征变换对浅层 GNNs 的影响;

2. 提出了正交图卷积,称为 Ortho-GConv,来实现特征变换的正交性,稳定 GNNs 的前向和后向信号;

3. 使用实验测试了 Ortho-GConv 的性能。




实验方法

3.1 实验方法
给定一张无向图 ,令 表示节点的特征矩阵,其中第 行是节点 对应的 维特征向量,邻接矩阵和度矩阵分别为 ,记 是由自循环增广的邻接矩阵和度矩阵 表示归一化的邻接矩阵。
在第 1 层的前向推理可以定义为 其中 表示第 l 层的节点嵌入矩阵, 由X给出, 是例如 ReLU的非线性激活函数, 是线性变换矩阵。可知图卷积由两步组成,分别是基于矩阵 的空间邻域聚合和基于矩阵 的特征变换。
3.2 前向推理稳定性
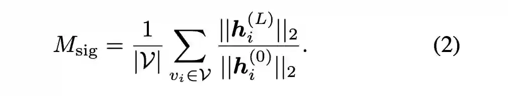
在没有对矩阵 适当约束的情况下,特征变换可以放大节点嵌入的量级,这种放大的幅度呈指数增长,从而导致前向节点嵌入的不确定性和随机性。为了量化节点嵌入在整个 GNN 模型中幅度放大,将信号放大率定义为:


较大表示在前向推理过程中,节点嵌入被过度放大,理想值应该为 1,保证嵌入幅度和层间信号分布相同。
3.3 后向梯度稳定性
作者从参数 的角度对梯度进行了分析,通过简化非线性激活函数可以得到 ,含非线性和不含非线性的 GNNs具有类似的节点分类性能和学习曲线,简化模型可以更直观的理解后向梯度。给定 L 层的线性 GNNs 模型和特定的训练损失 层对参数 的梯度为:
为了在第I层更新参数 ,最初始的梯度 由后面的 L-I 层进行平滑 在训练中产生损失,这样的平滑和变换会使大部分梯度近似于零,也就是后向梯度可能在最初几层后消失,这阻止了 GNNs 训练。为了研究梯度消失的影响,作者选择使用梯度范数 
3.4 正交性
域聚合后的节点嵌入。正交权值 可以保留经过特征转换模块的信号的前向嵌入和后向梯度。文中列举了正交特征变换对稳定简化的 GNNs 的好处:1) 节点嵌入 的 F 范数保持一致,可以约束嵌入幅度,使 近似为 1;2)在特征转换时可以保持后向梯度范数稳定。
由于节点特征通常包含下游任务的关键信息,直观的正交初始化会加速训练过程向局部极小化,达到局部最优,损害模型的学习能力。即使在 严格正交的情况下,由于邻居聚合和非线性激活函数的影响,也无法保持连续层的嵌入稳定。在简化后的  GNNs 中,正交性只能得到  而不是严格等于非线性 GNNs 的连续层中的  因此作者提出了正交图卷积,从混合权值初始化、正交变换和正交正则化三个角度对正交性设计进行综合优化。
3.4.1 混合权值初始化
尽管正交初始化可以有效地训练神经网络,但快速收敛可能会迭代到局部最优,加剧过拟合问题。为了取得正交性和模型学习能力之间的权衡,作者提出混合权值初始化,在第 l 层设置权值 。其中 由传统的随机方法初始化, 是超参数。
3.4.2 正交变换
给定初始权值 ,本文使用一个额外的正交变换层对其进行变换,在将其用于特征变换之前改善正交性,文中使用牛顿迭代法,分为两步:光谱边界和正交投影。由第一步可以得到  然后将正交投影映射到矩阵 可以获得正交权值
3.4.3 正交正则化
即使在特征变换中使用正交矩阵 ,由于 GNNs 的邻域聚合和非线性激活,仍然无法保持正向节点嵌入的规范。作者提出了简单的正交正则化约束为:


其中 是超参数, 是控制权重 范数的可训练标量,初始化为 1。


实验结果


测试了在六个上的分类精确度,并进行了比较,Ortho-GCNII 的平均提升为 2.2%。


在不同的层数下,Ortho-GConv 在性能上都有一定的提升。在 Cora 和 Citeseer 上,Ortho-GConv 在 2 层基础上分别实现了 1.9% 和 2.1% 的提升;而在 8 层的情况下,获得了 2.8% 和 12.4% 的提升。



在 D&D 和蛋白质数据集上,Ortho-g-U-Nets 得到了较好的性能。


随着 T 的增加,时间消耗变得越来越大;较大的迭代次数和较小的迭代次数会降低我们提出的模型的性能。当迭代次数为 4 时,可以得到最好的性能。因此优化适当的T可以在可接受的时间复杂度下获得较高的精度。




总结

本文首先进行了一系列的分析实验,探讨在使用更多卷积层时 GNNs 性能下降的原因,指出主要因素是 GNNs 中不稳定的前向和后向信号。因此提出了一种正交图卷积对 GNNs 进行增强,以稳定模型训练,提高模型的泛化性能。最后通过实验验证模型的性能。


更多阅读



#投 稿 通 道#

 让你的文字被更多人看到 



如何才能让更多的优质内容以更短路径到达读者群体,缩短读者寻找优质内容的成本呢?答案就是:你不认识的人。


总有一些你不认识的人,知道你想知道的东西。PaperWeekly 或许可以成为一座桥梁,促使不同背景、不同方向的学者和学术灵感相互碰撞,迸发出更多的可能性。 


PaperWeekly 鼓励高校实验室或个人,在我们的平台上分享各类优质内容,可以是最新论文解读,也可以是学术热点剖析科研心得竞赛经验讲解等。我们的目的只有一个,让知识真正流动起来。


📝 稿件基本要求:

• 文章确系个人原创作品,未曾在公开渠道发表,如为其他平台已发表或待发表的文章,请明确标注 

• 稿件建议以 markdown 格式撰写,文中配图以附件形式发送,要求图片清晰,无版权问题

• PaperWeekly 尊重原作者署名权,并将为每篇被采纳的原创首发稿件,提供业内具有竞争力稿酬,具体依据文章阅读量和文章质量阶梯制结算


📬 投稿通道:

• 投稿邮箱:[email protected] 

• 来稿请备注即时联系方式(微信),以便我们在稿件选用的第一时间联系作者

• 您也可以直接添加小编微信(pwbot02)快速投稿,备注:姓名-投稿


△长按添加PaperWeekly小编



🔍


现在,在「知乎」也能找到我们了

进入知乎首页搜索「PaperWeekly」

点击「关注」订阅我们的专栏吧


·

登录查看更多
1

相关内容

【AAAI2023】图序注意力网络
专知会员服务
46+阅读 · 2022年11月24日
【ICML2022】图神经网络的局域数据增强方法
专知会员服务
31+阅读 · 2022年7月24日
AAAI 2022|对抗攻击鲁棒的异质图神经网络
专知会员服务
36+阅读 · 2022年3月28日
AAAI 2022 | ProtGNN:自解释图神经网络
专知会员服务
40+阅读 · 2022年2月28日
【AAAI2022】同时适用于同质和异质性的图神经网络
专知会员服务
32+阅读 · 2022年1月3日
专知会员服务
52+阅读 · 2021年5月30日
专知会员服务
38+阅读 · 2020年11月24日
必读的7篇 IJCAI 2019【图神经网络(GNN)】相关论文
专知会员服务
92+阅读 · 2020年1月10日
八篇NeurIPS 2019【图神经网络(GNN)】相关论文
专知会员服务
44+阅读 · 2020年1月10日
AAAI 2022 | 同时适用于同质和异质性的图神经网络
IJCAI 2022 | 超越同质性的图神经网络
PaperWeekly
0+阅读 · 2022年9月6日
AAAI 2022 | ProtGNN:自解释图神经网络络
PaperWeekly
0+阅读 · 2022年8月22日
AAAI 2022 | 对抗攻击鲁棒的异质图神经网络
PaperWeekly
1+阅读 · 2022年8月16日
AAAI 2022|对抗攻击鲁棒的异质图神经网络
专知
3+阅读 · 2022年3月29日
AAAI'21 | 对比自监督的图分类
图与推荐
8+阅读 · 2021年10月28日
论文浅尝 | 图神经网络综述:方法及应用
开放知识图谱
114+阅读 · 2019年2月14日
国家自然科学基金
1+阅读 · 2015年12月31日
国家自然科学基金
1+阅读 · 2015年12月31日
国家自然科学基金
0+阅读 · 2014年12月31日
国家自然科学基金
0+阅读 · 2013年12月31日
国家自然科学基金
0+阅读 · 2013年12月31日
国家自然科学基金
0+阅读 · 2013年12月31日
国家自然科学基金
0+阅读 · 2013年12月31日
国家自然科学基金
0+阅读 · 2012年12月31日
国家自然科学基金
0+阅读 · 2012年12月31日
国家自然科学基金
0+阅读 · 2011年12月31日
Arxiv
0+阅读 · 2023年1月25日
Interest-aware Message-Passing GCN for Recommendation
Arxiv
12+阅读 · 2021年2月19日
Arxiv
27+阅读 · 2020年6月19日
Arxiv
12+阅读 · 2018年9月15日
Arxiv
12+阅读 · 2018年1月28日
VIP会员
最新内容
内省扩散语言模型
专知会员服务
1+阅读 · 4月14日
国外反无人机系统与技术动态
专知会员服务
2+阅读 · 4月14日
大规模作战行动中的战术作战评估(研究论文)
未来的海战无人自主系统
专知会员服务
2+阅读 · 4月14日
美军多域作战现状分析:战略、概念还是幻想?
无人机与反无人机系统(书籍)
专知会员服务
16+阅读 · 4月14日
美陆军2026条令:安全与机动支援
专知会员服务
6+阅读 · 4月14日
相关VIP内容
【AAAI2023】图序注意力网络
专知会员服务
46+阅读 · 2022年11月24日
【ICML2022】图神经网络的局域数据增强方法
专知会员服务
31+阅读 · 2022年7月24日
AAAI 2022|对抗攻击鲁棒的异质图神经网络
专知会员服务
36+阅读 · 2022年3月28日
AAAI 2022 | ProtGNN:自解释图神经网络
专知会员服务
40+阅读 · 2022年2月28日
【AAAI2022】同时适用于同质和异质性的图神经网络
专知会员服务
32+阅读 · 2022年1月3日
专知会员服务
52+阅读 · 2021年5月30日
专知会员服务
38+阅读 · 2020年11月24日
必读的7篇 IJCAI 2019【图神经网络(GNN)】相关论文
专知会员服务
92+阅读 · 2020年1月10日
八篇NeurIPS 2019【图神经网络(GNN)】相关论文
专知会员服务
44+阅读 · 2020年1月10日
相关资讯
AAAI 2022 | 同时适用于同质和异质性的图神经网络
IJCAI 2022 | 超越同质性的图神经网络
PaperWeekly
0+阅读 · 2022年9月6日
AAAI 2022 | ProtGNN:自解释图神经网络络
PaperWeekly
0+阅读 · 2022年8月22日
AAAI 2022 | 对抗攻击鲁棒的异质图神经网络
PaperWeekly
1+阅读 · 2022年8月16日
AAAI 2022|对抗攻击鲁棒的异质图神经网络
专知
3+阅读 · 2022年3月29日
AAAI'21 | 对比自监督的图分类
图与推荐
8+阅读 · 2021年10月28日
论文浅尝 | 图神经网络综述:方法及应用
开放知识图谱
114+阅读 · 2019年2月14日
相关基金
国家自然科学基金
1+阅读 · 2015年12月31日
国家自然科学基金
1+阅读 · 2015年12月31日
国家自然科学基金
0+阅读 · 2014年12月31日
国家自然科学基金
0+阅读 · 2013年12月31日
国家自然科学基金
0+阅读 · 2013年12月31日
国家自然科学基金
0+阅读 · 2013年12月31日
国家自然科学基金
0+阅读 · 2013年12月31日
国家自然科学基金
0+阅读 · 2012年12月31日
国家自然科学基金
0+阅读 · 2012年12月31日
国家自然科学基金
0+阅读 · 2011年12月31日
Top
微信扫码咨询专知VIP会员