CVPR 2019 | APDrawingGAN:人脸秒变艺术肖像画

2019 年 10 月 10 日 PaperWeekly


作者丨武广

学校丨合肥工业大学硕士生

研究方向丨图像生成


固定的应用场景对于泛化的图像翻译模型来说存在着一定的局限性,往往需要根据实际的需求对网络和细节进行设计以达到特定的效果。图像转换模型中 CycleGANPix2Pix、StarGAN、FUNIT 都是泛化较好的模型,然而对于特定需求还是需要更为细致的设计。


本篇的目的是为了解读在人脸到肖像画的图像翻译任务下,如何做到这种固定需求的高质量图像转换。本篇的主角是 APDrawingGAN,同时也是 CVPR 2019 Oral,实现了高质量的人脸到肖像图的转换。




论文引入


肖像画是一种艺术表现形式,可以简单的通过线条去捕捉人的独特外观,并且可以做到高相似度的描述。这类素描图往往需要艺术家在人或他们的照片面前绘制,且依赖于整体的观察、分析和经验去创作。一副好的肖像画可以形象的表征人的个性和神气,这往往需要一个受过好的培训的艺术家几个小时的时间去创作。

这种耗时的工作当然可以交给计算机去实现了,但是在实现之前还是要分析一下这项任务的难点。艺术肖像画(APDrawings)是高度抽象的,包含少量稀疏但连续的图形元素(线条)。

同时,APDrawings 涉及数千个不同大小和形状的笔画的密集集合,面部特征下一些小的伪像也能被清楚的看到,面部特征不能有错位、移位出现。不同人物的肖像结构是变化的,没有固定的精确位置,再者为了体现发型的流动性,往往 APDrawings 会有一些指示头发流动的线条。

综合这些难点,想实现一个高质量的人脸到肖像画的转换是难度很大的,上述的特点都要在考虑范围内。

为了解决上述挑战,本文提出了 APDrawingGAN,一种新颖的 Hierarchical GAN 架构,专门用于面部结构和 APDrawing 样式,用于将面部照片转换为高质量的 APDrawings。

为了有效地学习不同面部区域的不同绘图风格,GAN 架构涉及专门用于面部特征区域的几个局部网络,以及用于捕获整体特征的全局网络。为了进一步应对艺术家绘画中基于线条笔划的风格和不精确定位的元素,还提出了一种新的距离变换(DT)损失来学习 APDrawings 中的笔划线。

总结一下 APDrawingGAN 的优势: 

1. 提出了一种 Hierarchical GAN 架构,用于从面部照片中进行艺术人像合成,可以生成高质量和富有表现力的艺术肖像画。特别是,可以用细腻的白线学习复杂的发型;

2. 为了最好地模拟艺术家,模型将 GAN 的渲染输出分成多个层,每个层由分离的损失函数控制;

3. 从 10 个面部数据集中收集的 6,655 张正面照片预训练模型,并构建适合训练和测试的 APDrawing 数据集(包含 140 张专业艺术家的高分辨率面部照片和相应的肖像画)。

模型结构


先从整体上看一下 APDrawingGAN 模型结构:


整体结构是比较直观理解的,整个网络是基于 GAN 建立的,左边为分层生成器,右边为分层判别器,输入的原始人脸图记为 分层生成器的上部分为全局生成器它的输出为全局人脸肖像 ,下部分为分别对应着左眼、右眼、鼻子、嘴巴、头发、背景的六个局部生成器,这六个生成器得到的肖像局部图结合在一起便得到了 通过融合生成器便得到最终的输出结果

对于判别器则整体上采用的是条件 GAN 的判别器设计,对于真实的肖像图给定的标签为 True,对于合成的肖像图给定的标签是 False,这个标签是人为构建的。同时也是采用全局判别器和六个局部判别器组成,最终确定真假以优化生成器。


接下来,我们对各个部分详细的进行梳理。


全局生成器


这里说的全局生成器和局部生成器并不是我们在感受野中定义的全局和局部,这里的全局和局部就是全局得到的人脸肖像和局部得到的眼睛、鼻子、嘴巴和头发。对于全局生成器采用的是 U-Net 的设计思路,通过下采样结合特征复用的上采样最终得到全局的输出。


局部生成器


局部生成器的前提是要把人脸的各个部位提取出来,将人脸图取出左眼、右眼、鼻子、嘴巴出来,扣除掉这些部位后得到的就是头发部分,对人脸图取掩码得到背景图。将这六个部分分别进行小尺度下的 U-Net 的重构得到对应的局部肖像图,通过 partCombiner2_bg 网络将这六个部分组合组合成一副完整的人脸肖像图,partCombiner2_bg 主要通过在重叠区域使用最小池化来将所有局部生成器的输出混合到聚合图形。

其实从扣出局部的部位到再次将每一个部位整合在一起,这中间还是比较繁琐的,同时这块也是 APDrawingGAN 的主要创新之处,在源码中作者通过固定各个部位的尺度大小,然后通过对每一幅图像的各个部位进行标注(主要是嘴巴和中心位置,保存在 txt 中的 5 行 2 列的坐标),在训练阶段进行截取局部位置时调用。


融合生成器


融合生成器就是将全局生成器得到的全局图和局部生成器得到的局部整合图进行 channel 维度的 concat 后送入到 combine 网络再次经过一些卷积处理最终得到最后的输出


全局判别器和局部判别器


全局判别器和局部判别器就和条件 GAN 的判别器类似,定义真实部分的 label 为真,合成部分的 label 为假,然后通过条件判别器进行优化,整个网络的架构就是堆叠的下采样。


损失函数


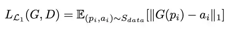
整个模型的损失函数由四部分组成,大家熟知的生成对抗损失、像素层面损失、距离变换损失以及局部像素损失。对于生成对抗损失,主要分为两部分一个是全局性的生成对抗损失和局部性六个部位的生成对抗损失;像素层面损失主要是采用 L1 损失:


其中 就是真实肖像画的数据;局部像素损失就是对各个部位的合成和真实进行 L1 损失优化,比如对鼻子的局部损失:

 

我们重点分析一下距离变换损失。


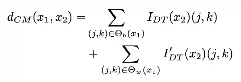
距离变换损失


距离变换指的是对于一张图像中的每一个像素点的值用距离来代替,其实得到的就是一副类似于二值图的图像, 用于表示肖像图的黑线分布,用于表示肖像图白线的分布,由肖像图计算黑线与白线可以用卷积层去检测到,从而确定确定对应的。我们可以用下图进一步理解距离变换的定义。


距离变换损失就是衡量真实肖像图与生成肖像图的的差值:



其中像素 (j,k) 在真实和生成肖像图下的距离,得到的最终的损失表示为: 


这种对肖像图中的黑线和白线的距离控制是为了尽可能还原肖像图中的发型流动性和光泽度,让肖像图更加地逼真。


整体损失


最终得到的损失函数为: 



实验


数据集处理


由于由艺术家手绘的肖像图的成本过高,实验组是收集了 140 对面部照片和相应的肖像画的数据集(由专业人员手绘的肖像图),为了实现少量图像对下的训练,从 10 个面部数据集中收集了 6,655 张正面照片,对每张图片使用双色调 NPR 算法 [1] 生成肖像图纸,这个阶段得到的结果通常会产生没有明确下颚线的结果(由于这些位置的图像中的对比度低),再使用 OpenFace [2] 中的面部模型来检测颌骨上的标记,然后将下颌线添加到NPR结果中。

对于这种处理得到的数据,主要用于预训练,预训练阶段为前 10 个 epoch,由于 NPR 生成的绘图(与艺术家的绘图不同)与照片准确对齐,因此在预训练中不去优化距离变换损失。预训练结束后,将数据集换为由专业人员手绘的肖像图进一步训练得到最后的结果,这个过程解释可看下图。


消融对比


文章在定性上做了消融性对比,包括有无局部生成器、距离变换损失、预训练和完整结果。


实验对比


和已有的方法,APDrawingGAN 也与时下的模型进行了定性和定量上的对比。



总结


文章提出了 APDrawingGAN,一种用于将面部照片转换为 APDrawing 的分层 GAN 模型。实验致力于特定的人脸和 APDrawing 风格的转换,特别是旨在完成这种特定的转换工作。通过全局生成器和局部生成器对人脸进行肖像图重构,利用距离变换损失加强肖像图的逼真度,从实验结果上可以实现成功的艺术肖像风格转移,并且取得了一定的优势。


这也启发了我们在通用型的图像翻译工作下,具体的模型设计还需要根据具体的目的需求去设计,在特定的任务下实现合理而且高质量的结果。


参考文献


[1] Paul L. Rosin and Yu-Kun Lai. Towards artistic minimal rendering. In International Symposium on Non-Photorealistic Animation and Rendering, NPAR ’10, pages 119–127, 2010. 5, 6 

[2] Brandon Amos, Bartosz Ludwiczuk, and Mahadev Satyanarayanan. OpenFace: A general-purpose face recognition library with mobile applications. Technical report, CMUCS-16-118, CMU School of Computer Science, 2016. 6




点击以下标题查看更多往期内容: 





#投 稿 通 道#

 让你的论文被更多人看到 



如何才能让更多的优质内容以更短路径到达读者群体,缩短读者寻找优质内容的成本呢?答案就是:你不认识的人。


总有一些你不认识的人,知道你想知道的东西。PaperWeekly 或许可以成为一座桥梁,促使不同背景、不同方向的学者和学术灵感相互碰撞,迸发出更多的可能性。 


PaperWeekly 鼓励高校实验室或个人,在我们的平台上分享各类优质内容,可以是最新论文解读,也可以是学习心得技术干货。我们的目的只有一个,让知识真正流动起来。


📝 来稿标准:

• 稿件确系个人原创作品,来稿需注明作者个人信息(姓名+学校/工作单位+学历/职位+研究方向) 

• 如果文章并非首发,请在投稿时提醒并附上所有已发布链接 

• PaperWeekly 默认每篇文章都是首发,均会添加“原创”标志


📬 投稿邮箱:

• 投稿邮箱:[email protected] 

• 所有文章配图,请单独在附件中发送 

• 请留下即时联系方式(微信或手机),以便我们在编辑发布时和作者沟通




🔍


现在,在「知乎」也能找到我们了

进入知乎首页搜索「PaperWeekly」

点击「关注」订阅我们的专栏吧



关于PaperWeekly


PaperWeekly 是一个推荐、解读、讨论、报道人工智能前沿论文成果的学术平台。如果你研究或从事 AI 领域,欢迎在公众号后台点击「交流群」,小助手将把你带入 PaperWeekly 的交流群里。


▽ 点击 | 阅读原文 | 下载论文 & 源码

登录查看更多
5

相关内容

专知会员服务
109+阅读 · 2020年5月21日
 【SIGGRAPH 2020】人像阴影处理,Portrait Shadow Manipulation
专知会员服务
29+阅读 · 2020年5月19日
【芝加哥大学】可变形的风格转移,Deformable Style Transfer
专知会员服务
31+阅读 · 2020年3月26日
【北京大学】CVPR 2020 | PQ-NET:序列化的三维形状生成网络
姿势服装随心换-CVPR2019
专知会员服务
36+阅读 · 2020年1月26日
必读的10篇 CVPR 2019【生成对抗网络】相关论文和代码
专知会员服务
33+阅读 · 2020年1月10日
【GitHub实战】Pytorch实现的小样本逼真的视频到视频转换
专知会员服务
36+阅读 · 2019年12月15日
学习一个宫崎骏画风的图像风格转换GAN
AI科技评论
18+阅读 · 2020年3月13日
能生成逼真图像的不只有 GAN
机器学习算法与Python学习
8+阅读 · 2019年6月6日
已删除
将门创投
13+阅读 · 2019年4月17日
【学界】实景照片秒变新海诚风格漫画:清华大学提出CartoonGAN
GAN生成式对抗网络
14+阅读 · 2018年6月20日
Arxiv
4+阅读 · 2018年3月23日
VIP会员
最新内容
美陆军设想无人系统司令部
专知会员服务
2+阅读 · 4月15日
【博士论文】已对齐人工智能系统的持久脆弱性
扭曲还是编造?视频大语言模型幻觉研究综述
专知会员服务
1+阅读 · 4月15日
《采用系统思维应对混合战争》125页
专知会员服务
5+阅读 · 4月15日
战争机器学习:数据生态系统构建(155页)
专知会员服务
8+阅读 · 4月15日
内省扩散语言模型
专知会员服务
6+阅读 · 4月14日
相关资讯
学习一个宫崎骏画风的图像风格转换GAN
AI科技评论
18+阅读 · 2020年3月13日
能生成逼真图像的不只有 GAN
机器学习算法与Python学习
8+阅读 · 2019年6月6日
已删除
将门创投
13+阅读 · 2019年4月17日
【学界】实景照片秒变新海诚风格漫画:清华大学提出CartoonGAN
GAN生成式对抗网络
14+阅读 · 2018年6月20日
Top
微信扫码咨询专知VIP会员