图卷积网络GCN的理解与介绍

2020 年 7 月 23 日 机器学习与推荐算法

作者 | 明楠

链接 | https://zhuanlan.zhihu.com/p/90470499


1.背景

图卷积的核心思想是利用『边的信息』对『节点信息』进行『聚合』从而生成新的『节点表示』, 有的研究在此基础上利用『节点表示』生成『边表示』或是『图表示』完成自己的任务 .

卷积网络的卷积, 本质是通过滤波器来对某个空间区域的像素点进行加权求和,得到新的特征表示的过程. 加权系数就是卷积核的参数,如图所示

图1

CNN适用于规则二维矩阵数据 (如图1, 每个像素点有上下左右相连), 或一维序列数据(如语音,每个点左右相连) 来提取特征.

然而很多数据类型不具备规则的结构(称为非欧几里得数据,Non Euclidean Structure Data),如社交网络, 推荐系统上抽取的图谱, 每个节点可能有不一样连接方式. 图卷积中的graph 指的也就是 图论中用顶点和边建立相关关系的拓扑图,如图2所示“非欧几里得结构的数据示例”

图2

CNN无法处理非欧几里得结构的数据, 因为传统的卷积没法处理节点关系多变的信息(没法固定尺寸进行设置卷积核 及其他问题), 为了从这样的数据结构有效地提取特征, GCN成为研究热点.

广义上来说, 任何数据在在赋范空间内都可以建立拓扑关联. 简单地说, 二维图像也可以构成拓扑图. 如下简单例子 .

图数据的特点是:

  • 1. 节点特征: 每个节点都具有自己的向量表示;
  • 2. 结构特征: 节点与节点间具有一定的联系, 即携带信息的边.

GCN的目的就是用来提取拓扑图的空间特征。

而GCN主要有两类解释方法,一是基于顶点域或空间域 vertex domain(spatial domain),另一种则是基于频域或谱域spectral domain 。即顶点域可以类比到直接在图片的像素点上进行卷积,而频域可以类比到对图片进行傅里叶变换后,再进行卷积。两类其实就是从两个不同的角度理解,空间的角度理解会简单些, 而谱方法的推导和思路是比较严谨和理论的方法

2.顶点域来解释GCN

先从简单的顶点域角度说起. 定义几个符号:

  • 表示所有节点的编号。
  • 表示所有节点的特征, 表示 节点的特征。
  • 表示邻接矩阵, 表示节点 和节点 之间之间边的权重(目前没有自环,即 )。

每个节点, 收集来自邻居传递的信息, 然后汇总后更新自己.

2.1平均法

最简单的是平均法, 物以类聚, 每个节点和它邻居都是相似的, 那么每个节点就等于邻居节点的平均值。

所以对于所有节点, 其平均法的更新过程为(写成矩阵运算):

2.2 加权平均法

每个节点和邻居的关系强度是不同的, 考虑到边的权重关系, 只需要将邻接矩阵 变为有权图, 即让 的取值不局限于{0,1}, 而是任何合适的权值. (有些工作研究如何构建有权图, 简单的如利用高斯分布赋权值).

对所有节点的加权平均,更新过程为:

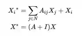
2.3 GCN的简单例子

对汇聚节点, 加入线性变换矩阵 , 将该节点的汇聚特征 变换到 h 维度空间( 为激活函数) :

故节点特征在GCN的前后变化为:

上式是最基础的表达方式, 通过叠加GCN就可以得到节点的 维的特征, 其中维度 是自定义的超参, 一般GCN最后一层的特征维度 和某固定维度对齐(如属性或视觉特征的维度数).

比如我们叠加两层GCN, 每个节点可以把 2-hops 邻居的特征加以聚合,得到自身特征.

这样看来, 多层GCN中, 邻接矩阵 是固定不变的,它依赖于拓扑图的构建. 我们要学习的只有转换矩阵的参数 , 通过反向传播即可学习更新.

2.4 添加自回环

返回刚刚的汇集邻居信息的地方. 前面提到的平均法, 加权平均法都忽略了自身节点的特征, 故在更新自身节点时, 一般会添加个自环,把自身特征和邻居特征结合来更新节点:

那么邻接矩阵和对应的度矩阵就变为:

其中度数矩阵 是一个对角矩阵 ,其中包含的信息为的每一个顶点的度数, 节点的度数定义为其边的权重的总和.

2.5 归一化

不同节点, 其边的数量和权重幅值都不一样, 比如有的节点特别多边, 这导致多边(或边权重很大)的节点在聚合后的特征值远远大于少边(边权重小)的节点. 所以需要在节点在更新自身前, 对邻居传来的信息(包括自环信息)进行归一化来消除这问题, 即为 , 所以聚合前后为:

2.6 对称归一化

上述的归一化只考虑了聚合节点 的度的情况, 但没有考虑到邻居 其节点的情况, 即未对邻居 所传播的信息进行归一化. (此处默认每个节点通过边对外发送相同量的信息, 边越多的节点,每条边发送出去的信息量就越小, 类似均摊. 防止部分交际花节点占据了大部分信息传播量)

采用几何平均数 来归一化, 即归一化为 , 所以聚合前后为:

归一化 是对 的行进行归一化, 对称归一化是对 的行和列分别进行归一化.

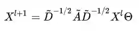
那么一层GCN的输入输出为:


3. 谱域来解释GCN

借助图谱的理论来实现拓扑图上的卷积操作. 也是利用图的拉普拉斯Laplacian矩阵的特征值和特征向量来研究图的性质.

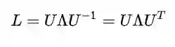
Graph Fourier Transformation及Graph Convolution的定义都用到图的拉普拉斯矩阵。频域卷积的前提条件是图必须是无向图,只考虑无向图,那么L就是对称矩阵. 拉普拉斯矩阵的定义: 其中 是度矩阵, 是邻接矩阵(取值{0,1}).

常见的拉普拉斯矩阵:

  • 定义的Laplacian 矩阵更专业的名称叫Combinatorial Laplacian
  • 定义的叫 Symmetric normalized Laplacian,很多GCN的论文中应用的是这种拉普拉斯矩阵.
  • 定义的叫Random walk normalized Laplacian .

虽然GCN的核心基于拉普拉斯矩阵的谱分解, 我们待会再看其理论知识, 现在先从一个简单的类比例子加深拉普拉斯的印象.

3.1 简单的类比例子

我们用特例(图片像素点构造的拓扑图)来思考顶点域角度的GCN.

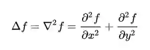
之前所说每个节点聚合邻居的节点值, 这和平滑空间滤波器的操作特别相似 (用于模糊处理或降低噪声,如均值滤波). 但是, 节点的一些突变信息也很重要(比如说破产/暴发户节点). 回想起锐化空间滤波器的知识, 知道微分算子的响应强度与突变程度成正比关系, 所以可以用微分来提取额外特征信息.

图片中, 二阶微分在增强细节上要比一阶微分好, 最简单的各向同性(旋转后结果不变)微分算子是拉普拉斯算子:

其中

常用的一种拉普拉斯滤波器为(也是 ):

那我们 "理解" 了, 能提取图片的细节特征, 也能提取出节点的细节特征.

拉普拉斯算子(Laplacian operator) 的是空间二阶导, 是梯度的散度. 一般可用于描述物理量的流入流出。比如说在二维空间中的温度传播规律. 散度为正的点是“热源”,热量从其中流出;散度为负的点是“冷源”,热量流入该点.

tips:

采用拉普拉斯矩阵, 现在的论文方案可能不是说利用它来提取二阶微分信息,

而是认为拉普拉斯矩阵更能表达这个拓扑图, 其特征向量作为基函数更有代表性.

现在很多论文也对 L 进行各种魔改, 可能是想找到个更能适应任务代表拓扑图的矩阵.

3.2 拉普拉斯作用

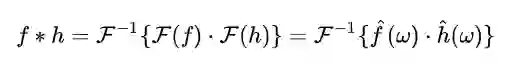
滤波器通过卷积方法,能从图片中提取特征. 拓扑图也是. 卷积一般在傅里叶域中计算(时域卷积=频域相乘), 而为了满足傅里叶变换要求, 需要找到连续的正交基对应于傅里叶变换的基. 若拿到了正交基后, 就可以进行卷积操作(在傅里叶域中计算), 得到卷积结果了.

拉普拉斯矩阵恰好满足这些条件.

  • 拉普拉斯是半正定实对称矩阵, 对称矩阵一定n个线性无关的特征向量
  • 实对称矩阵具有n个特征值,所对应的n个特征向量相互正交
  • 半正定矩阵特征值非负.
  • n阶实对称矩阵L必可对角化, 且可用正交矩阵对角化。

那可以直接将拉普拉斯矩阵谱分解:

其中 是n个特征值构成的对角矩阵, 是单位特征向量(列向量)组成的矩阵. 是正交矩阵,满足

所以通过正交基 可以让卷积操作转到傅里叶域中进行, 从而能得到卷积后结果(即包含节点细节特征的输出).

3.3 Graph上的傅里叶变换

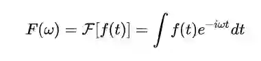
卷积定理:函数卷积的傅里叶变换是函数傅立叶变换的乘积,即对于函数 两者的卷积是其函数傅立叶变换乘积的逆变换:

直接说结果:

  • 表示对 进行傅里叶变换.
  • 表示对 进行傅里叶逆变换.
  • 的卷积结果为(Graph卷积公式, 是hadamard product内积运算)

3.3.1 普通信号的傅里叶与逆变换

对于信号 , 其基函数 , 传统傅里叶变换为:

逆变换为:

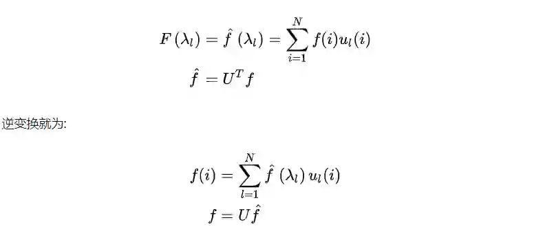
3.3.2 Graph上的傅里叶与逆变换

Graph上 维向量 , 其中 表示拓扑图上节点的特征向量.

拓扑图的拉普拉斯矩阵L的特征向量矩阵为 , 那么特征值 (频率)所对应的特征向量 可作为傅里叶变换中的一个正交基, 计算得到 的傅里叶变换(不考虑复数情况):

3.3.3 Graph的卷积结果

由上面可知, 和卷积核 的傅里叶变换结果 (均为列向量), 和   的卷积为 其分别傅里叶变换后的乘积的逆变换, 故Graph卷积公式为如下:

其中 是hadamard product(哈达马积), 即这两个向量进行内积运算(对应元素的乘积).

因为卷积核是自设计(或学习)的,可以将 的傅里叶变换 写成对角形式:

其中 . (这可以理解为每个 提取一种频率上的信息).

所以Graph的卷积结果为(需要设计/学习的参数是 ):

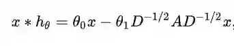
3.4 第一代GCN

论文 Spectral Networks and Locally Connected Networks on Graphs

直接将卷积核 从而让:

但弊端在于:

  • 每次前传,都需要计算拉普拉斯矩阵的特征向量矩阵 , 以及 , , 的矩阵乘积, 计算代价高, 是 ;
  • 不具有 spatial localization (类似感受野的意思, 这里只能用到 K=1 的邻居.);
  • 需要 个参数(卷积核, 来提取各个频率的信息). 拓扑图大时计算量大,参数且多.

3.5 第二代GCN-ChebNet

论文 2016_NIPS_Convolutional Neural Networks on Graphs with Fast Localized Spectral Filtering

用切比雪夫多项式去拟合, 利用Chebyshev多项式去拟合卷积核方法降低复杂度.

图卷积网络 GCN Graph Convolutional Network(谱域GCN)的理解和详细推导

如何理解 Graph Convolutional Network(GCN)?

图卷积网络(GCN)新手村完全指南

定义特征向量对角矩阵的切比雪夫多项式为滤波器:

可以通过 Chebyshev 多项式 的 K -th 阶截断展开来进行拟合, 并且 进行scale 使其元素位于 [-1,1]. . (因为原来的 处于 [0,2]). 这样缩放是为了满足 Chebyshev多项式展开的条件:自变量处于[-1,1]之间.

所以最后卷积情况为:

现在整个运算复杂度是 , 式子是 K-localized(类比于感受野), 具有局部连接性.

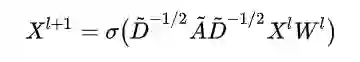
3.6 一阶ChebNet

让GCN火起来的是这篇文章: 2017_ICLR_Semi-supervised classification with graph convolutional networks

当ChebNet一阶近似时, 让 , 那么ChebNet卷积公式简化近似为:

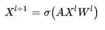
为了限制参数的数量以解决过度拟合, 并最小化每层的计算操作, 1-st ChebNet假设 ,图卷积的定义就近似为(简单一阶模型):

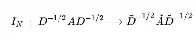
的特征值范围在 [0,2], 所以在深度神经网络中反复使用该算子将导致数值消失或爆炸问题(梯度爆炸或消失问题). 所以引入归一化技巧(renormalization trick):

其中, , 即拓扑图加上自环.

所以论文中的快速卷积公式就是:

其中 是参数 矩阵, 为节点的特征向量. 计算复杂度也大大降低.

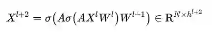
那么 ,就具有 维特征(每个节点具有 维特征向量)的 , 以及 个 卷积核参数时,

其中 是卷积核参数矩阵, 且 为新的特征向量. 计算复杂度为

注意, 此时该公式和 [GCN顶点域] 解释中的 [对称归一化] 公式完全一样.


到这里, GCN的原理就算大致介绍完毕了. 下面简略介绍下 一阶ChebNet 以及其他一些GCN论文的应用吧.



4.GCN的应用

4.1 一阶ChebNet的应用

在半监督的节点分类任务中, 可以构建两层的GCN 来完成.

计算邻接矩阵 , 后得到 . 每个节点的最后 output 是 维特征向量(对应为   类):

其中 , 是可学习参数, 将标签传给交叉熵就可以让网络进行学习了.

我们看看论文中提供的表格, 加深我们对不同 Propagation (及公式) 的感受.

4.2 学习类别Graph特征与视觉向量对齐 (ZeroShot)

2018_CVPR_Zero-shot Recognition via Semantic Embeddings and Knowledge Graphs

构建知识图谱, 每个节点代表一个类, 利用多层的GCN进行不同类间的信息迁移.

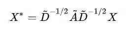
GCN中采用归一化后的 Binary 邻接矩阵. 代码中查得采用对称归一化邻接矩阵, 即传播模式为:

GCN的输入是每类的Word Embedding 向量, 最后一层的输出维度 和视觉向量的维度一致. 通过 均方误差(MSE) 来训练让节点最后的输出和对应的视觉向量相近.

采用的数据集是 Imagenet, 类别间的关系可从Imagenet官网中提取.

4.3 构建加权的密集图_信息传播更广且避免平滑_与视觉向量对齐(ZeroShot)

2019_CVPR_Rethinking Knowledge Graph Propagation for Zero-Shot Learning

简单地叠加普通GCN层虽然能让知识的传播范围增广, 但也容易让节点平滑(稀释了知识), 而降低了性能. 该文章提出一种密集设计的图, 让远距离(但有关系)的节点之间能直接连接进行传播.

简单地说, 以前都是亲兄弟节点才有联系(连线), 如果想让那些表表表亲戚的信息传播过来, 需要叠加GCN层, 这样会导致信息稀释(或说平滑). 而该论文就直接让同一个血缘(或说比较亲的血缘关系)的大家族都有线相连接(设置不同的权重), 那浅层的GCN网络就可以让远方亲戚的信息传播过来.

本文基于节点之间的距离学习权重. 明确利用知识图的层次结构,构建密集连接结构. 节点汇集信息时分为"从祖先辈获得的信息"和"从子孙辈获得的信息"阶段.

由于传播时文中定义"先从子辈汇聚信息", 再从"父辈汇聚信息", 所以本文的GCN传播为:

定义表示可学习参数来获得ancestor 和 descendant的权重, K 表示 K -hops的距离. 那么就可以让边的权重

重新修改GCN传播方式:

训练时的步骤为:

  • 第一步, 训练图卷积网络DGP, 让其来预测CNN最后的FC层权重(即对齐视觉向量), 用均方误差.
  • 第二步, 让DGP预测值替代FC的视觉权重, 从而微调CNN网络.

4.4 GCN网络的改进-残差结构与扩张卷积

2019_CVPR_Oral_Can GCNs Go as Deep as CNNs?

CNN的成功的一个关键因素是能够设计和训练一个深层的网络模型。但多层 GCN 会导致提取消失, 导致定点过度平滑, 让顶点特征值收敛到一致的值, 导致目前 GCN 架构都非常浅. 而且,浅层GCN 的感受野有限.

故本文借助CNN的概念, 把 Residual, Dense connections (残差,密集连接) 和 dilated convolutions(扩张/空洞卷积) 应用到GCN架构中.

几种结构

残差结构中, 通过逐点加法, 让节点(经过GCN得到的)残差特征, 加上节点原来的特征, 作为最后的节点新特征:

遇到维度不一致问题, 则跟残差网络一样进行转换(用GCN). 那么密集连接类似上述公式一样处理.

扩张卷积中, 每个GCN层后用 Dilated k-NN去寻找扩张邻居, 并构建扩张图, 在训练时采用随机扩张的方式(按概率进行扩张聚合). 其他细节的从CNN类比过来即可.

GCN的聚合函数

一般GCN中的聚合函数是 sum aggregator, 将邻域信息直接相加, 而同时也有 mean aggregator(和sum相像,归一化后的sum), max-pooling, attention, LSTM 等等聚合方式.

本文采用的是 简单无参数的max-pooling顶点特征聚集器. GCN结构是带BN+ReLU 的MLP.

Dynamic Edgs

GCN在训练中, 图结构一般是保持不变的. 有研究表明, 与具有固定图结构的GCN相比,动态图卷积可以更好地学习图的表示.

让节点的边动态变化, 能 有助于缓解过度平滑问题, 也能产生较大的感受野. 本文中每一层特征空间中通过 Dilated k-NN 来重新计算顶点之间的边, 来动态变化拓扑图.

虽然有改进, 但是计算成本较高.

4.5 GCN的改进-图注意力网络GAT

2018_ICLR_Graph Attention Networks

GCN局限有: 难处理动态图; 难分配不同的权重给不同的neighbor.

其实GAT是GNN的改进, 与GCN类似, 只是它是基于self-attention的图模型.

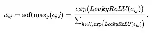
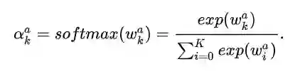
本文: 对不同的相邻节点学习分配相应的权重, multi-head多头的Attention结构, 计算注意力系数

对于顶点 , 逐个计算它的邻居和 之间的相似系数:

即先用共享参数 对顶点进行增维, 后拼接(concatenate)两个特征, 通过映射函数 将高维特征映射到一个Attention实数上.

通过对 的邻居进行softmax, 就可以得到(学习出)节点间的关系系数:

加权求和 aggregate

一般来说,聚合方式一般将邻居传来特征进行加权求和, 即可更新本节点的特征:

本文中增强了集合的方式, 采用 K 个注意力机制, 即用了K种邻居加权方式, 来更新本节点特征. 即Attention中的multi-head思想:


欢迎指正讨论 ~

参考

[1]https://www.zhihu.com/question/54504471/answer/611222866 
[2]https://zhuanlan.zhihu.com/p/35083956 
[3]https://tkipf.github.io/graph-convolutional-networks/ 
[4]https://zhuanlan.zhihu.com/p/81617775 
[5]https://blog.csdn.net/yyl424525/article/details/100058264
[6]https://blog.csdn.net/yyl424525/article/details/100058264 
[7]https://www.zhihu.com/question/54504471/answer/332657604 
[8]https://zhuanlan.zhihu.com/p/54505069 


推荐阅读

PinSAGE | GCN 在工业级推荐系统中的应用

万字长文带你入门 GCN

当推荐系统邂逅深度学习

一文概览知识图谱在推荐系统的发展现状
喜欢的话点个在看吧👇
登录查看更多
1

相关内容

图卷积网络(简称GCN),由Thomas Kpif于2017年在论文Semi-supervised classification with graph convolutional networks中提出。它为图(graph)结构数据的处理提供了一个崭新的思路,将深度学习中常用于图像的卷积神经网络应用到图数据上。

知识荟萃

精品入门和进阶教程、论文和代码整理等

更多

查看相关VIP内容、论文、资讯等
KDD20 | AM-GCN:自适应多通道图卷积网络
专知会员服务
40+阅读 · 2020年8月26日
系列教程GNN-algorithms之六:《多核卷积拓扑图—TAGCN》
专知会员服务
50+阅读 · 2020年8月8日
基于知识图谱和图卷积神经网络的应用和开发
深度学习自然语言处理
4+阅读 · 2020年6月9日
一文读懂图卷积GCN
计算机视觉life
21+阅读 · 2019年12月21日
跳出公式,看清全局,图神经网络(GCN)原理详解
AI科技评论
64+阅读 · 2019年9月22日
GraphSAGE: GCN落地必读论文
AI100
29+阅读 · 2019年8月15日
Graph Neural Networks 综述
计算机视觉life
30+阅读 · 2019年8月13日
专栏 | 深入理解图注意力机制
机器之心
25+阅读 · 2019年2月19日
图卷积网络介绍及进展【附PPT与视频资料】
人工智能前沿讲习班
24+阅读 · 2019年1月3日
基于注意力机制的图卷积网络
科技创新与创业
74+阅读 · 2017年11月8日
Principal Neighbourhood Aggregation for Graph Nets
Arxiv
17+阅读 · 2020年6月7日
AdarGCN: Adaptive Aggregation GCN for Few-Shot Learning
Arxiv
15+阅读 · 2020年2月5日
Self-Attention Graph Pooling
Arxiv
13+阅读 · 2019年6月13日
Arxiv
16+阅读 · 2019年4月4日
Arxiv
3+阅读 · 2018年2月11日
Arxiv
11+阅读 · 2018年2月4日
Arxiv
7+阅读 · 2018年1月10日
VIP会员
最新内容
战略前沿人工智能的再思考(中文)
专知会员服务
5+阅读 · 5月29日
《量化地基防空系统间接效应的博弈论方法》
专知会员服务
5+阅读 · 5月29日
“史诗怒火行动”中美军损失的作战飞机
专知会员服务
5+阅读 · 5月29日
ICML 2026 | 理解上下文持续学习中的泛化与遗忘
专知会员服务
5+阅读 · 5月28日
Agent Harness综述:大模型智能体执行器工程全景
专知会员服务
15+阅读 · 5月28日
《基于理论的威慑效能评估》
专知会员服务
8+阅读 · 5月28日
相关资讯
基于知识图谱和图卷积神经网络的应用和开发
深度学习自然语言处理
4+阅读 · 2020年6月9日
一文读懂图卷积GCN
计算机视觉life
21+阅读 · 2019年12月21日
跳出公式,看清全局,图神经网络(GCN)原理详解
AI科技评论
64+阅读 · 2019年9月22日
GraphSAGE: GCN落地必读论文
AI100
29+阅读 · 2019年8月15日
Graph Neural Networks 综述
计算机视觉life
30+阅读 · 2019年8月13日
专栏 | 深入理解图注意力机制
机器之心
25+阅读 · 2019年2月19日
图卷积网络介绍及进展【附PPT与视频资料】
人工智能前沿讲习班
24+阅读 · 2019年1月3日
基于注意力机制的图卷积网络
科技创新与创业
74+阅读 · 2017年11月8日
相关论文
Principal Neighbourhood Aggregation for Graph Nets
Arxiv
17+阅读 · 2020年6月7日
AdarGCN: Adaptive Aggregation GCN for Few-Shot Learning
Arxiv
15+阅读 · 2020年2月5日
Self-Attention Graph Pooling
Arxiv
13+阅读 · 2019年6月13日
Arxiv
16+阅读 · 2019年4月4日
Arxiv
3+阅读 · 2018年2月11日
Arxiv
11+阅读 · 2018年2月4日
Arxiv
7+阅读 · 2018年1月10日
Top
微信扫码咨询专知VIP会员