太天才了,把感知机组装在一起是不是就是神经网络了?

2020 年 11 月 30 日 图与推荐

,关注并星标,




大家好,今天来继续聊聊深度学习。

有同学跟我说很久没有更新深度学习的模型了,倒不是不愿意更新,主要是一次想把一个技术专题写完。但是纯技术文章观众老爷们不太爱看,所以我一般都把纯技术文章放在次条。不过既然有同学催更,那么我还是响应一下需求,来更新一篇。


神经网络与感知机的不同


上一篇文章当中我们讲了感知机,由于文章比较久了,估计很多同学没有看过,没有关系,可以点击下方传送门回去补课。

原创 | 深度学习开篇,来聊聊感知机的原理

我们当时在文章里放了一张图,这张图是一个多层感知机的图,大家看一下,就是下面这张图。

这张图乍一看没什么问题,但是细想会觉得有点奇怪,好像我们印象里看到的神经网络的图片也是这样的,既然如此,那么它们之间有什么区别呢?

表面上最明显的区别就是名字不同,这是一张神经网络的图片。我们发现同样是三层,但是它每一层的名字分别是输入层、中间层(隐藏层)和输出层。我们一般把输入层和输出层单独命名,中间的若干层都叫做隐藏层或者是中间层。当然像是感知机一样,以数字来命名层数也是可以的,比如下图当中的输入层叫做第0层,中间层叫做第一层,最后输出层叫做第2层。

我们一般不把输出层看作是有效的神经网络,所以下图的网络被称为二层神经网络,而不是三层神经网络。

除了名字的叫法不同之外,还有一个最关键的区别就是激活函数,为了说明白这点,我们先来看看神经网络当中的信号传递。


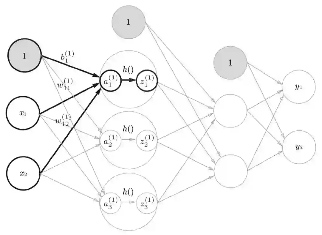
信号传递


图是一张我随便找来的神经网络图,我们可以看到输入的第一个节点被置为了1。这样做是为了方便引入偏移量,只是我们一般情况下画图的时候,不会特意把偏移量画出来。我们以下图为例子来看下神经网络当中信号的传递方式。



我们以 为例,可以来试着写出 的表达式,它一共有三个input,分别是1, , ,然后我们也可以看到每一个input对应的权重,所以最后 可以写成:



到这里还没有结束,神经网络当中每一层都会有对应的激活函数。一般情况下同一层网络当中的激活函数相同,我们把它叫做h,所以最终 这个节点的输出并不是刚刚得到的 ,而是



激活函数我们已经比较熟悉了,之前介绍过很多次,常用的大概有以下几种:Relu、Sigmoid、tanh、softmax,以及一些衍生出的变种。一般情况下,在输出层之前我们通常使用Relu,如果模型是一个分类模型,我们会在最后使用Sigmoid或者是softmax,如果是回归模型则不使用任何激活函数。

Sigmoid我们已经很熟悉了,如果我们把LR模型也看成是一个单层的神经网络的话,那么Sigmoid就是它的激活函数。Sigmoid应用在二分类场景当中单个的输出节点上,输出的值 如果大于0.5表示为真,否则为假。在一些概率预估场景当中,也可以认为输出值就代表了事件发生的概率。

与之对应的是softmax函数,它应用在多分类问题当中,它应用的节点数量不是1个,而是k个。这里的k表示多分类场景当中的类别数量。我们以k=3举例,看下图:

在图中一共有三个节点,对于每一个节点来说,它的公式可以写成:



其实和Sigmoid的计算方式是一样的,只不过最后计算了一个权重。最后我们会在这k个节点当中选择 最大的作为最终的分类结果。


代码实现


最后,我们来试着写一下神经网络的代码,由于现在我们还没有介绍神经网络的训练方法,所以我们只能实现它预测的部分。等我们介绍完了反向传播算法之后,再来补上模型训练的过程。

如果不考虑反向传播的话,其实整个算法的代码非常简单,只要熟悉Python语法的同学都能看懂。

import numpy as np

def relu(x):
    return np.where(x > 0, x, 0)


def sigmoid(x):
    return 1 / (1 + np.exp(-x))


class NeuralNetwork():
    def __init__(self):
        self.params = {}
        self.params['W1'] = np.random.rand(23)
        self.params['b1'] = np.random.rand(13)
        self.params['W2'] = np.random.rand(32)
        self.params['b2'] = np.random.rand(12)
        self.params['W3'] = np.random.rand(21)
        self.params['b3'] = np.random.rand(11)
       
    def forward(self, x):
        a1 = np.dot(x, self.params['W1']) + self.params['b1']
        z1 = relu(a1)
        
        a2 = np.dot(z1, self.params['W2']) + self.params['b2']
        z2 = relu(a2)
        
        a3 = np.dot(z2, self.params['W3']) + self.params['b3']
        return np.where(sigmoid(a3) > 0.510)
    
    
if __name__ == "__main__":
    nn = NeuralNetwork()
    print(nn.forward(np.array([32])))
登录查看更多
0

相关内容

感知机在机器学习中,感知机是一种二进制分类器监督学习的算法。二值分类器是一个函数,它可以决定输入是否属于某个特定的类,输入由一个数字向量表示。它是一种线性分类器,即基于线性预测函数结合一组权值和特征向量进行预测的分类算法。
专知会员服务
44+阅读 · 2020年12月28日
专知会员服务
29+阅读 · 2020年10月24日
神经网络的拓扑结构,TOPOLOGY OF DEEP NEURAL NETWORKS
专知会员服务
35+阅读 · 2020年4月15日
模型压缩究竟在做什么?我们真的需要模型压缩么?
专知会员服务
28+阅读 · 2020年1月16日
不加载任何包,手撕一个R语言版BP神经网络模型
R语言中文社区
4+阅读 · 2018年12月18日
从零开始深度学习:利用numpy手写一个感知机
数萃大数据
10+阅读 · 2018年6月10日
一起读懂传说中的经典:受限玻尔兹曼机
算法与数学之美
4+阅读 · 2018年5月12日
如何简单形象又有趣地讲解神经网络是什么?
算法与数据结构
5+阅读 · 2018年1月5日
小白都能看懂的神经网络入门,快收下吧~
码农翻身
3+阅读 · 2018年1月4日
用Python实现BP神经网络(附代码)
七月在线实验室
4+阅读 · 2017年12月4日
神经网络bp算法推导
统计学习与视觉计算组
11+阅读 · 2017年11月17日
入门 | 一文概览深度学习中的激活函数
机器之心
7+阅读 · 2017年11月2日
干货|浅谈神经网络中激活函数的设计
机器学习研究会
5+阅读 · 2017年10月28日
人工神经网络
平均机器
15+阅读 · 2017年7月17日
Arxiv
0+阅读 · 2021年1月27日
Arxiv
0+阅读 · 2021年1月25日
Arxiv
9+阅读 · 2018年10月18日
Neural Arithmetic Logic Units
Arxiv
5+阅读 · 2018年8月1日
Arxiv
3+阅读 · 2018年3月5日
Arxiv
11+阅读 · 2018年2月4日
VIP会员
最新内容
《美陆军条例:陆军指挥政策(2026版)》
专知会员服务
10+阅读 · 4月21日
《军用自主人工智能系统的治理与安全》
专知会员服务
5+阅读 · 4月21日
《系统簇式多域作战规划范畴论框架》
专知会员服务
10+阅读 · 4月20日
高效视频扩散模型:进展与挑战
专知会员服务
5+阅读 · 4月20日
乌克兰前线的五项创新
专知会员服务
8+阅读 · 4月20日
 军事通信系统与设备的技术演进综述
专知会员服务
7+阅读 · 4月20日
《北约标准:医疗评估手册》174页
专知会员服务
6+阅读 · 4月20日
相关VIP内容
相关资讯
不加载任何包,手撕一个R语言版BP神经网络模型
R语言中文社区
4+阅读 · 2018年12月18日
从零开始深度学习:利用numpy手写一个感知机
数萃大数据
10+阅读 · 2018年6月10日
一起读懂传说中的经典:受限玻尔兹曼机
算法与数学之美
4+阅读 · 2018年5月12日
如何简单形象又有趣地讲解神经网络是什么?
算法与数据结构
5+阅读 · 2018年1月5日
小白都能看懂的神经网络入门,快收下吧~
码农翻身
3+阅读 · 2018年1月4日
用Python实现BP神经网络(附代码)
七月在线实验室
4+阅读 · 2017年12月4日
神经网络bp算法推导
统计学习与视觉计算组
11+阅读 · 2017年11月17日
入门 | 一文概览深度学习中的激活函数
机器之心
7+阅读 · 2017年11月2日
干货|浅谈神经网络中激活函数的设计
机器学习研究会
5+阅读 · 2017年10月28日
人工神经网络
平均机器
15+阅读 · 2017年7月17日
相关论文
Arxiv
0+阅读 · 2021年1月27日
Arxiv
0+阅读 · 2021年1月25日
Arxiv
9+阅读 · 2018年10月18日
Neural Arithmetic Logic Units
Arxiv
5+阅读 · 2018年8月1日
Arxiv
3+阅读 · 2018年3月5日
Arxiv
11+阅读 · 2018年2月4日
Top
微信扫码咨询专知VIP会员