【智能医疗】【知识图谱】中文电子病历命名实体识别的主动学习方法 | 病历智能分析系统的研究与实现 | 临床路径知识建模研究

2017 年 12 月 10 日 产业智能官 中国数字医学

中文电子病历命名实体识别的主动学习方法

来源:中国数字医学 授权 产业智能官 转载



  导读 

主动学习通过选择现有模型中未充分训练的数据进行迭代训练,从而利用少量标注数据训练出较高性能的模型。传统的主动学习方法只关注数据本身的信息量而忽略了该数据是否孤立。本文提出一种改进的主动学习方法,利用相似病历中出现的词汇往往雷同的特点,以文档中文字的分布衡量其在样本集的普遍程度,并以此对信息量进行加权。而后实现该方法,并进行了与消极学习和传统主动学习方法的对比实验。结果表明,该方法相对消极学习与传统的主动学习方法,效果有明显提升,能够减少对标注数据的需求。

---------------------------------------

文章来源:《中国数字医学》杂志2017年第10期,作者及单位:王润奇 李雪莉 黄玉丽 何彬 关毅哈尔滨工业大学计算机科学与技术学院语言技术研究中心网络智能研究室 黑龙江特士信息技术有限公司


原文标题:中文电子病历命名实体识别的主动学习方法研


中文电子病历的命名实体识别工作是开展“智慧医疗”的基础。命名实体识别是指识别出文本中具有特定意义的实体,在中文电子病历中,命名实体主要指与患者接受医疗诊治相关的实体,如疾病、症状等。由于经过实体标注的中文电子病历资源目前十分稀缺,基于小训练样本的有监督机器学习方法成为当前的热点方向。


主动学习的思想是通过对语料中数据的选择性学习提高机器学习效率。在主动学习中,学习器利用普通的机器学习方法训练模型,选择器在未标注数据中选择信息量较大的数据,交给人类专家标注,并将标注好的数据加入到训练集中,进行下一次模型训练(如图1)。目前基于不确定性的采样是主动学习最常用的选择策略,其基本思想是选择当前模型最不确定的样例,不确定性越低则模型预测的可靠性越低,因而将其加入训练可能对分类器有较好地提升。


由于医学文本的专业性较强,专家标注的成本较高,因此可以利用主动学习方法,用较少的标注病历,训练出对大部分病历实体都能正确识别的模型。但有些不常见病例的病历虽然不确定性较高,但是其他病历与之差异明显,即使消耗时间对其标注,对模型整体识别效果的提升也很有限。因此仅仅把不确定性作为信息量的量度,难以避免出现数据孤立点的问题。


图1 主动学习流程示意图


本文针对中文电子病历中相似病历文档出现的词汇往往雷同的特点,提出在选择器采样过程中利用病历文档的词频对不确定性加权,以避免主动学习中的孤立点问题。下文介绍了基于文档的主动学习算法及改进后的选择策略,而后设计实验验证了算法的有效性,最后对算法做了总结。


算法解析


在主动学习中,选择器在学习器训练出的模型的基础上,从未标注数据中选择未充分训练的数据,交给人类专家标注,并将标注好的数据加入到训练集中,进行下一次模型训练。


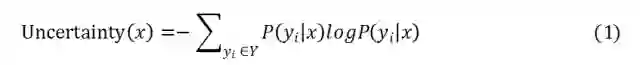
基于不确定性的采样是目前常用的主动学习选择策略。记文档的文本序列,其中表示组成序列的token。设文本中token可能被标记的标签集为,在模型M对文本进行标注时,模型通过token x的特征与上下文窗口,计算出文本中x被标记为的概率


Token x的不确定性可以用熵表示为:



通常来说,模型对token的标注结果越不确定,熵值越大。但是以模型对样本集的整体效果而言,某些孤立点病历虽然不确定性较高,但是对模型泛化能力的提高意义可能并不大。在中文电子病历数据集中,相似的文档之间则通常具有相同的实体词汇,因此考虑从文档词频的角度,对主动学习选择器的选择策略作出改进,降低孤立点问题发生的概率。


在文档已知的前提下,对于任一token,易统计出其在标注集L中出现过的文档占L中总文档数的比例与在未标注集U中出现过的文档占U中总文档数的比例,记token x的分布度Diversity为:



基于分布度Diversity对不确定性Uncertainty的加权程度不同,我们记token分值如下:



最终文档d在主动学习进行选择时的总评分采用文档中token求和(Total Token Entropy,token总熵)的方式计算,为:



因此,利用主动学习策略在未标注集中选择下一步参与迭代训练的文档时,采用如算法1所示的改进算法:



实验与结果分析


本文以992份已标注的电子病历文档作为数据来源,其中随机抽取198份作为测试数据,用于评价模型效果,剩余794份病历当做未标注数据加入到未标注数据集U。每次从未标注集U中选取出文档后,将其已标注的结果加入到标注数据集L中,以此模拟人工标注的过程。


用F值评价模型的标注效果,具体做法是将已标注结果视为标准答案,计算所有测试文档中识别正确的实体数、标注错误的实体数与标准答案中的实体总数,计算准确率(P)和召回率(R),进而计算F值,计算方法如公式(5)-(7):



首先,将除测试数据外的794份标注文档都作为训练集参与训练,评价结果为:准确率P=0.9297,召回率R=0.925,F值=0.9273。设置主动学习停止的阈值th=60。


实验开始时,从未标注集U中随机抽取3份文档加入到标注集L中作为初始数据,训练出初始模型。随后将新生成的模型应用到未标注数据集U,利用模型对U的标注结果,计算出文档的rank值,抽取出rank值较高的3份文档加入标注集L中进行训练,训练出模型。重复以上的应用模型-选择数据-训练模型步骤,直至标注文档数大于th。


对照实验分别利用随机选择、基于熵、基于分布度对熵加权(权重)的选择策略选取训练数据,实验结果如图2所示,在选取的训练数据规模较小(<20)时,基于熵的传统模型与分布度对熵加权模型的评价结果基本相同,这说明二者选出的文档雷同,加权熵的权重没有发挥出作用。这是因为样本空间比较小,较长的文档数量有限,由于我们采用总熵的方式计算文档的评分,故二者均优先选出了样本中的长文档。


当文档规模逐渐增大时,纵向比较,文档数为51时,基于加权熵的模型F值比基于熵的模型高1.68%(0.014);横向比较,基于熵的传统模型在文档数为60时F值为0.844,基于加权熵的模型在51处已达到0.845,均说明权重起到了一定作用。随着文档规模进一步增大,二者选出的文档均覆盖了一定范围,故差距逐渐缩小。随机选择的数据和这二者始终有较大差距,差值的变化趋势与之类似,先增大后逐步减小。


图2 主动学习模型评价图


总结


在文章中,我们对中文电子病历实体识别与主动学习方法做了介绍。中文电子病历实体识别的标注数据有限,基于大量标注数据的监督学习方法并不适用,因而利用主动学习方法,有目的地选择标注数据,建立效果较好的实体识别模型。然后为解决传统的基于信息熵的主动学习方法中数据孤立点的问题,结合中文电子病历中相似病历通常包含相同实体词汇这一特点,提出了分布度这一概念,基于文档中文字在样本集中的分布,对不确定性进行加权的改进策略。基于992份电子病历的对比实验表明,相对基于信息熵的原策略,该策略在识别效果上有1.68%的提高,证明其能够选出对模型效果提升更有效的数据,改进是有效的。


但是策略还存在改进的空间,比如当样本空间中存在两份相同的rank值较高的文档时,它们会被同时选出,这显然对模型的改进并不友好。因此,在样本空间存在重复样本的情况下,在选择策略上,可以增加对选择出的样本多样化的判定,进一步保证选出的样本信息量较大。






病历智能分析系统的研究与实现


作者:王志勇 高白等  来源:中国数字医学


设计和构建了病历智能分析系统,利用中文分词、命名实体识别和语义关联抽取等技术对病历文本进行信息抽取。对病历文本进行了智能分析,实现了结构化处理,为医生开展临床科研提供了便利。

---------------------------------------

文章来源:《中国数字医学》杂志2017年第10期,作者及单位:王志勇 高白 张少典 孙平波上海长海医院 上海森亿医疗科技有限公司



病历作为医院的宝贵财富,里面蕴含了大量的专业知识,但是由于受到技术的限制,长期得不到有效利用。我院作为一所大型三甲综合医院,学科实力雄厚,对临床科研的要求也非常高。但是医生还停留在去病案室借阅病历,手工摘抄收集科研数据的阶段,效率十分低下。如何利用最新的人工智能技术,让机器“读懂”病历数据,提高临床科研效率和质量,是目前亟需解决的课题。


对病历文本相关的智能分析主要涉及自然语言处理技术,相关研究开始于20世纪60年代的美国,衍生出包括医学信息抽取、临床问答系统和临床决策支持系统等。对于医学文本信息抽取,目前已经有相对成熟的系统在医院使用,包括MedLEE、Ctakes和GATE等。YongGang Cao等构建了帮助医生查询病人症状有关帮助的AskHERMES问答系统。


我国医学自然语言处理的发展水平还与发达国家有一定差距,主要集中在基于规则和专家系统的方法,而将机器学习、深度学习应用到医学自然语言处理需要更加深入的研究。对此,我们结合国内外最新的研究现状,在我院率先开展了利用自然语言处理技术构建病历智能分析系统的研究工作。


病历智能分析系统设计


1功能模块


病历智能分析系统的核心技术是自然语言处理。系统主要涉及句法学、语义学和语用学共三个不同等级的语言学分析,由分词、病历标注、命名实体识别和语义关联抽取共四个模块组成,如图1所示。


图1 病历智能分析系统功能模块设计


2核心技术

1
分词 

作为病历智能分析的第一步,对中文病历文本进行分词至关重要。病历文本内有大量的医学专业术语和表达,这种特点导致传统中文分词工具对病历文本的分词效果不好。例如药品名“去甲伪麻黄碱”会被划分为“去/甲/伪/麻黄碱”,而不是将其当成一个整体。为了提高对病历文本的分词效果,我们收集了医学专业词汇和常用药品名等,将这些词条整合成词典作为分词工具的补充。我们将词典与开源的“结巴分词”工具相结合来对中文电子病历进行分词处理,构成了一个完全非监督、无需人工标注即可使用的中文病历分词引擎。

2
病历标注 

有监督的机器学习方法能对病历文本中的医学知识和患者的健康信息进行抽取,而进行监督学习的第一步是进行病历文本的人工标注,以使得标注后的数据能够对机器进行有效的训练。我们对两类信息:医学命名实体(包括疾病、疾病诊断、临床症状、检查和治疗等),以及实体间的语义关联(治疗和疾病间的关系、治疗和症状的关系、检查和疾病的关系、检查和症状的关系以及疾病和症状的关系),进行了人工标注。在标注过程中我们采用了BIO的标注体系,即B表示一个命名实体的开始,I表示目标词在命名实体的内部,O表示目标词不属于命名实体。我们随机抽样了来自我院的3000份出院小结,并召集我院内的临床实习生对其进行上述标注。在其中300份病历上,我们制定了两名标注者同时对其进行标注,并使用Cohen′s Kappa计算其标注一致性,并获得了0.68的Kappa值。

3
命名实体识别分析技术 

命名实体识别技术指的是将病历中重要的医学实体,如疾病、症状、检查、治疗变量等从病历文本中抽取出来。例如“患者30余年前因反复咳嗽咳痰多次就诊,诊断为慢性支气管炎,平素服用顺尔宁控制症状”这句话中,“咳嗽咳痰”被识别为症状,“慢性支气管炎”被识别为诊断,“顺尔宁”被识别为药物,属于医疗手段。


由于病历文本是由自由文本书写而成,因此将这些医学命名实体进行识别时将病历文本进行结构化是病历智能分析的重要环节。目前命名实体识别的方法主要分为基于词典和规则的方法和基于机器学习的方法。基于词典和规则的方法需要人工编制出很多相关规则和专业的医学词典,而词典和规则的编制过程需要大量的人力,并且这些规则和词典应用到病历文本时受到命名实体上下文的影响很大,因此效果不是很理想;而基于机器学习的方法是将命名实体识别任务作为序列数据的标注问题,主要考虑上下文的信息。


目前公认完成命名实体识别性能较好的机器学习模型是条件随机场(Conditional Random Fields),特征构造过程中常用的特征是上下文特征、字典特征等。我们利用条件随机场来训练命名实体识别模型,并采用了开源的CRF++作为我们依赖的工具。我们使用原始字、分词的结果、以及上下文(窗口大小为5)中的信息作为特征,对CRF模型进行训练。并利用上一章节中所述的3000份标注病历,我们对其进行了5-fold的交叉验证。结果显示命名实体识别的总体F-1评分(Micro-F)达到了0.92,证实了模型能够准确地完成医学命名实体识别的任务。

4
语义关联抽取技术 

对病历文本中抽取出来命名实体之间的语义关联进行分析,也是病历智能分析的重要环节。抽取的关系包括疾病和症状之间的关系、疾病和治疗之间的关系、时间副词的修饰等。在这个步骤中,我们把问题转化成了一个分类问题。即,对于每一对特定距离内(100字以内)的命名实体(相距过远的命名实体我们认为其产生关联的可能性很小)我们使用机器学习模型去判断其是否有关联以及如果有关联其类别是什么。在本工作中,我们尝试了条件随机场(SVM)、逻辑回归、决策树(C4.5)等模型,发现在同等的特征和训练数据下,得到了相似性能。因此,我们最终采用了条件随机场作为模型,并同样对3000份标注病历进行了5-fold的交叉验证,获得了平均0.88的语义关联抽取准确度。将该分类器应用于新的病历上,能够获得的完整解析后的效果,如图2所示。


图2 命名实体识别和命名实体关系抽取结果示例图


系统应用


1加速填写病例报告表(CRF)


病例报告表(Case Report Form, CRF)是临床研究数据获取的主要工具,在药物临床实验和临床研究中都有广泛的应用。收集到准确、可靠的临床数据是临床实验的重要环节。在填写病例报告表的过程中要求填写受试者的基本信息、治疗期及随访期记录、试验结束记录等。病例报告表中包含大量的临床变量,包括患者的症状、临床表现、体征、实验室检查等情况。


利用我们构建的病历智能分析系统,用命名实体识别技术能将病例报告表中需要填写的变量在受试者的报告中进行自动抽取,从而加速CRF表中的填写速度,优化临床实验的处理流程。


2优化临床数据中心(CDR)


作为构建临床数据中心的重要环节,数据的标准化和结构化成为一个棘手的问题。由于不同系统的电子病历系统和医院信息系统的数据标准不同,电子病历中的医学信息在临床数据中心进行流通和利用困难重重。在病历智能分析系统的帮助下,以自由文本书写的病历能进行结构化,结构化后病历文本就可以在不同医院和不同区域间进行交换整合。同时,对电子病历中积压的临床数据进行结构化处理,能够实现对历史电子病历中的诊疗过程的整合,丰富临床数据中心的内容。


3辅助临床决策支持系统(CDSS)


临床决策支持系统(Clinical Decision Support System, CDSS)是对临床工作的有益补充,能在复杂和变化的临床场景下为医务人员提供及时有效的辅助诊断,有效地提高临床决策的准确率和效率。

临床辅助决策支持系统的数据来源通常是医学书籍、文献、病历等非结构化数据,直接利用这些数据难以抽取出来诊疗过程中的变量和变量之间的关系。利用病历智能分析系统,将这些自由文本进行结构化处理之后能帮助临床辅助决策支持系统,更好地挖掘患者既往病史与医学知识的关系,提供更优质和科学的推荐方案。 


本文阐述了病历智能分析系统的模块组成、核心技术及应用场景,解决了部分临床中遇到的问题,得到了临床的普遍好评。目前阶段,电子病历中的主观数据需要人工标注,占全部病历数的10%左右。如何从无标注的数据进行学习,将是未来三到五年需要解决的重要问题。此外,如何像人一样从小样本进行有效学习,以及如何从认知性的任务扩展到决策性任务,同样是需要解决的问题。相信随着人工智能技术的快速发展,特别是深度学习技术的逐渐成熟,自然语言处理技术将在医学大数据挖掘中发挥越来越重要的作用。




基于本体的临床路径知识建模研究




  导读 

采用规范化的知识表达方式——本体,使用Protégé工具对临床路径进行表达和建模。可以预见,在医疗信息化的发展过程中,本体将越来越广泛地应用于医学领域的知识建模中。

---------------------------------------

文章来源:《中国数字医学》杂志2017年第10期,作者及单位:陈洞天 任宇飞华中科技大学同济医学院附属同济医院计算机中心




临床路径是医护人员和其他专业人员针对某个诊断或者手术所做的最适当、有顺序性和时间性的照顾计划,以减少康复的延迟和资源的浪费,使服务对象获得最佳的照顾质量,随着我国医院医疗信息化的发展,各医院信息系统逐步引入电子化临床路径功能。但是由于医院信息系统的技术架构之间存在较大差异,各个医院信息系统的临床路径功能如同一座座信息孤岛,无法进行通讯和知识共享。




如何对临床路径进行规范化表达建模,使其与现有的信息系统进行分离,并能在各系统之间共享,是当前亟待解决的问题。本文针对该需求,提出了一种基于本体的临床路径知识建模方式。


本体概念及其构建方法介绍


本体(Ontology)起源于哲学,是对世界上客观存在物的系统描述。本体可以看做是某个领域的一个正式的词汇表,其核心作用就在于定义某一领域或领域内的专业词汇以及他们之间的关系。由于本体能够准确地描述概念含义以及概念之间的内在联系, 并能通过逻辑推理获取概念之间蕴含的关系,具有很强的表达概念语义和推理能力, 更适用于数字化时代的信息组织, 因此很多研究领域都在试图利用本体解决专业问题, 特别是专业知识库的构建。


七步法是斯坦福大学的Noy以及Hafner在分析一些典型的本体设计项目如Cyc、WordNet和UMLS之后,结合自身的经验提出的一种具有指导性的方法。七步法主要用于构建领域本体,构建过程清晰准确,具有普适性。本文选用七步法作为目标本体的构建方法。七步法的主要步骤如下:确定本体的相关领域和范围;考虑复用现有本体;罗列本体所在领域的术语;建立类的层次结构;定义属性和关系;定义规则;创建实例。


临床路径本体的构建


构建临床路径本体知识库时,首先需要确定知识来源。本文中构建临床路径本体的知识来源于我院医务部给出的的39条国家标准临床路径以及125条已经实际应用的临床路径。


1
临床路径本体关键概念抽取


本体的关键组成元素包括类、属性以及关系。以我院现有的临床路径作为领域的知识来源,对其中的关键概念进行抽象和提取,整理出了构建临床路径本体所需的术语和规则表。表1列出了实体类术语;表2列出了属性类术语;表3列出了关系类术语。


实体类描述了本体中的实体概念;属性描述了实体概念所具有的内在性质,是从一个概念的个体指向一个具体的数据值;关系描述了一个概念所具有的与其他概念之间的联系,是从一个概念的个体指向另一个概念的个体。


表1 部分临床路径本体术语表(实体类)

表2 部分临床路径本体术语表(属性类)

表3 部分临床路径本体术语表(关系类)

2
采用Protégé构建本体


Protégé软件是斯坦福大学医学院生物信息研究中心基于Java语言开发的本体编辑和知识获取软件,提供了本体概念类、关系、属性和实例的构建功能。


根据3.1所抽取的关键概念,通过对临床路径知识的归纳总结,构建了整个临床路径本体的类本体部分。图1是Protégé的类编辑界面,左侧为类的树形分级视图,右侧为类的详细信息,图2是Protégé的OntoGraf插件,展示了类之间的层级关系和对象关系。


图1 Protégé工具类构建界面截图

图2 Protégé工具类层次结构截图(OntoGraf插件截图)


3
规则的实现


SWRL(Semantic Web Rule Language)是一门描述语义规则的语言,可以直接使用本体的描述,提供更强的逻辑表达能力。


以卫生部免疫性血小板减少性紫癜病临床路径为例,其入径规则为:(1)第一诊断必须符合ICD-10:D69.402免疫性血小板减少性紫癜疾病编码,且1月≤年龄<18岁。(2)血液检查指标符合需要住院指征:血小板数≤30×10^9/L,或伴有广泛皮肤、粘膜出血,或有脏器出血倾向。(3)当患者同时具有其他疾病诊断,但在住院期间不需要特殊处理,也不影响第一诊断的临床路径流程实施时,可以进入路径。


使用SWRL语言描述上述入径规则如下:


其中,D69_402是ICD Code类的个体,表示该病种的ICD10疾病编码。Immune Thrombocytopenic Purpura Sub Cond是Subjective Condition类的个体,表示该病种主观入径条件。Immune Thrombocytopenic Purpura Pathway是Pathway类的个体,表示免疫性血小板减少性紫癜对应的临床路径。


该规则表明,如果患者p诊断ICD10编码为D69.402,并且年龄大于等于30天,小于365乘以18天(即18岁),血小板数小于等于30×10^9/L,具有Immune Thrombocytopenic Purpura Sub Cond描述的情况,则该患者可以进入免疫性血小板减少性紫癜对应的临床路径。


本文分析了目前临床路径的实施方式中存在的问题,提出采用本体的方式对临床路径进行知识建模。在分析现有临床路径的基础上,抽取了临床路径知识领域中关键的概念、属性、关系和规则,并使用Protégé工具对临床路径知识领域进行本体构建和规则编写。本文描述的临床路径本体,对临床路径的通用概念和规则进行了规范表达,适配于各类单病种临床路径,前提是该临床路径采用规范的医疗操作并由规范的医疗术语描述。


本体作为一种知识建模方式,用来描述临床路径中的概念和规则具有规范性好,共享能力强等特点,可以预见,本体将越来越广泛地应用于各类医学领域知识的建模。


本文所完成的临床路径本体建模只是一个初步工作。知识建模是一个迭代的过程,需要在实际工作中对现有模型不断进行丰富和完善。在本体建设完成之后,下一步工作是将其集成到已有医院信息系统中。



人工智能赛博物理操作系统

AI-CPS OS

人工智能赛博物理操作系统(新一代技术+商业操作系统“AI-CPS OS”:云计算+大数据+物联网+区块链+人工智能)分支用来的今天,企业领导者必须了解如何将“技术”全面渗入整个公司、产品等“商业”场景中,利用AI-CPS OS形成数字化+智能化力量,实现行业的重新布局、企业的重新构建和自我的焕然新生。


AI-CPS OS的真正价值并不来自构成技术或功能,而是要以一种传递独特竞争优势的方式将自动化+信息化、智造+产品+服务和数据+分析一体化,这种整合方式能够释放新的业务和运营模式。如果不能实现跨功能的更大规模融合,没有颠覆现状的意愿,这些将不可能实现。


领导者无法依靠某种单一战略方法来应对多维度的数字化变革。面对新一代技术+商业操作系统AI-CPS OS颠覆性的数字化+智能化力量,领导者必须在行业、企业与个人这三个层面都保持领先地位:

  1. 重新行业布局:你的世界观要怎样改变才算足够?你必须对行业典范进行怎样的反思?

  2. 重新构建企业:你的企业需要做出什么样的变化?你准备如何重新定义你的公司?

  3. 重新打造自己:你需要成为怎样的人?要重塑自己并在数字化+智能化时代保有领先地位,你必须如何去做?

AI-CPS OS是数字化智能化创新平台,设计思路是将大数据、物联网、区块链和人工智能等无缝整合在云端,可以帮助企业将创新成果融入自身业务体系,实现各个前沿技术在云端的优势协同。AI-CPS OS形成的字化+智能化力量与行业、企业及个人三个层面的交叉,形成了领导力模式,使数字化融入到领导者所在企业与领导方式的核心位置:

  1. 精细种力量能够使人在更加真实、细致的层面观察与感知现实世界和数字化世界正在发生的一切,进而理解和更加精细地进行产品个性化控制、微观业务场景事件和结果控制。

  2. 智能:模型随着时间(数据)的变化而变化,整个系统就具备了智能(自学习)的能力。

  3. 高效:企业需要建立实时或者准实时的数据采集传输、模型预测和响应决策能力,这样智能就从批量性、阶段性的行为变成一个可以实时触达的行为。

  4. 不确定性:数字化变更颠覆和改变了领导者曾经仰仗的思维方式、结构和实践经验,其结果就是形成了复合不确定性这种颠覆性力量。主要的不确定性蕴含于三个领域:技术、文化、制度。

  5. 边界模糊:数字世界与现实世界的不断融合成CPS不仅让人们所知行业的核心产品、经济学定理和可能性都产生了变化,还模糊了不同行业间的界限。这种效应正在向生态系统、企业、客户、产品快速蔓延。

AI-CPS OS形成的数字化+智能化力量通过三个方式激发经济增长:

  1. 创造虚拟劳动力,承担需要适应性和敏捷性的复杂任务,即“智能自动化”,以区别于传统的自动化解决方案;

  2. 对现有劳动力和实物资产进行有利的补充和提升,提高资本效率

  3. 人工智能的普及,将推动多行业的相关创新,开辟崭新的经济增长空间


给决策制定者和商业领袖的建议:

  1. 超越自动化,开启新创新模式:利用具有自主学习和自我控制能力的动态机器智能,为企业创造新商机;

  2. 迎接新一代信息技术,迎接人工智能:无缝整合人类智慧与机器智能,重新

    评估未来的知识和技能类型;

  3. 制定道德规范:切实为人工智能生态系统制定道德准则,并在智能机器的开

    发过程中确定更加明晰的标准和最佳实践;

  4. 重视再分配效应:对人工智能可能带来的冲击做好准备,制定战略帮助面临

    较高失业风险的人群;

  5. 开发数字化+智能化企业所需新能力:员工团队需要积极掌握判断、沟通及想象力和创造力等人类所特有的重要能力。对于中国企业来说,创造兼具包容性和多样性的文化也非常重要。


子曰:“君子和而不同,小人同而不和。”  《论语·子路》云计算、大数据、物联网、区块链和 人工智能,像君子一般融合,一起体现科技就是生产力。


如果说上一次哥伦布地理大发现,拓展的是人类的物理空间。那么这一次地理大发现,拓展的就是人们的数字空间。在数学空间,建立新的商业文明,从而发现新的创富模式,为人类社会带来新的财富空间。云计算,大数据、物联网和区块链,是进入这个数字空间的船,而人工智能就是那船上的帆,哥伦布之帆!


新一代技术+商业的人工智能赛博物理操作系统AI-CPS OS作为新一轮产业变革的核心驱动力,将进一步释放历次科技革命和产业变革积蓄的巨大能量,并创造新的强大引擎。重构生产、分配、交换、消费等经济活动各环节,形成从宏观到微观各领域的智能化新需求,催生新技术、新产品、新产业、新业态、新模式。引发经济结构重大变革,深刻改变人类生产生活方式和思维模式,实现社会生产力的整体跃升。





产业智能官  AI-CPS



用“人工智能赛博物理操作系统新一代技术+商业操作系统“AI-CPS OS”:云计算+大数据+物联网+区块链+人工智能)在场景中构建状态感知-实时分析-自主决策-精准执行-学习提升的认知计算和机器智能;实现产业转型升级、DT驱动业务、价值创新创造的产业互联生态链






长按上方二维码关注微信公众号: AI-CPS,更多信息回复:


新技术:“云计算”、“大数据”、“物联网”、“区块链”、“人工智能”;新产业:“智能制造”、“智能农业”、“智能金融”、“智能零售”、“智能城市”、“智能驾驶”;新模式:“财富空间”、“特色小镇”、“赛博物理”、“供应链金融”


“人工智能赛博物理操作系统”官网:AI-CPS.NET




本文系“产业智能官”(公众号ID:AI-CPS)收集整理,转载请注明出处!



版权声明产业智能官(公众号ID:AI-CPS推荐的文章,除非确实无法确认,我们都会注明作者和来源。部分文章推送时未能与原作者取得联系。若涉及版权问题,烦请原作者联系我们,与您共同协商解决。联系、投稿邮箱:[email protected]





登录查看更多
29

相关内容

主动学习是机器学习(更普遍的说是人工智能)的一个子领域,在统计学领域也叫查询学习、最优实验设计。“学习模块”和“选择策略”是主动学习算法的2个基本且重要的模块。 主动学习是“一种学习方法,在这种方法中,学生会主动或体验性地参与学习过程,并且根据学生的参与程度,有不同程度的主动学习。” (Bonwell&Eison 1991)Bonwell&Eison(1991) 指出:“学生除了被动地听课以外,还从事其他活动。” 在高等教育研究协会(ASHE)的一份报告中,作者讨论了各种促进主动学习的方法。他们引用了一些文献,这些文献表明学生不仅要做听,还必须做更多的事情才能学习。他们必须阅读,写作,讨论并参与解决问题。此过程涉及三个学习领域,即知识,技能和态度(KSA)。这种学习行为分类法可以被认为是“学习过程的目标”。特别是,学生必须从事诸如分析,综合和评估之类的高级思维任务。
深度学习可解释性研究进展
专知会员服务
103+阅读 · 2020年6月26日
人机对抗智能技术
专知会员服务
214+阅读 · 2020年5月3日
基于深度学习的多标签生成研究进展
专知会员服务
147+阅读 · 2020年4月25日
2020年中国《知识图谱》行业研究报告,45页ppt
专知会员服务
241+阅读 · 2020年4月18日
医疗知识图谱构建与应用
专知会员服务
390+阅读 · 2019年9月25日
【综述】智能医疗综述,48页论文详述医学AI最新进展
专知会员服务
71+阅读 · 2019年9月1日
阿里健康夺冠中文电子病历实体识别评测任务
AI掘金志
40+阅读 · 2018年8月17日
【知识图谱】中医临床知识图谱的构建与应用
产业智能官
61+阅读 · 2017年12月18日
【知识图谱】医学知识图谱构建技术与研究进展
产业智能官
44+阅读 · 2017年11月16日
【知识图谱】中文知识图谱构建方法研究
产业智能官
99+阅读 · 2017年10月26日
VIP会员
最新内容
以色列-美国-伊朗战争中的无人机:关键要点
专知会员服务
0+阅读 · 17分钟前
《Palantir任务保障性软件安全标准(MA-S2)》
专知会员服务
2+阅读 · 32分钟前
基于声学的无人机检测技术综述
专知会员服务
3+阅读 · 44分钟前
《当代混合战争分析框架:俄乌战争经验教训》
专知会员服务
3+阅读 · 今天13:11
战略前沿人工智能的再思考(中文)
专知会员服务
7+阅读 · 5月29日
《量化地基防空系统间接效应的博弈论方法》
专知会员服务
5+阅读 · 5月29日
“史诗怒火行动”中美军损失的作战飞机
专知会员服务
6+阅读 · 5月29日
ICML 2026 | 理解上下文持续学习中的泛化与遗忘
专知会员服务
5+阅读 · 5月28日
相关VIP内容
深度学习可解释性研究进展
专知会员服务
103+阅读 · 2020年6月26日
人机对抗智能技术
专知会员服务
214+阅读 · 2020年5月3日
基于深度学习的多标签生成研究进展
专知会员服务
147+阅读 · 2020年4月25日
2020年中国《知识图谱》行业研究报告,45页ppt
专知会员服务
241+阅读 · 2020年4月18日
医疗知识图谱构建与应用
专知会员服务
390+阅读 · 2019年9月25日
【综述】智能医疗综述,48页论文详述医学AI最新进展
专知会员服务
71+阅读 · 2019年9月1日
Top
微信扫码咨询专知VIP会员