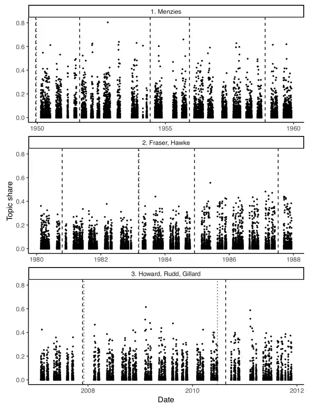
Politics and discussion in parliament is likely to be influenced by the party in power and associated election cycles. However, little is known about the extent to which these events affect discussion and how this has changed over time. We systematically analyse how discussion in the Australian Federal Parliament changes in response to two types of political events: elections and changed prime ministers. We use a newly constructed dataset of what was said in the Australian Federal Parliament from 1901 through to 2018 based on extracting and cleaning available public records. We reduce the dimensionality of discussion in this dataset by using a correlated topic model to obtain a set of comparable topics over time. We then relate those topics to the Comparative Agendas Project, and then analyse the effect of these two types of events using a Bayesian hierarchical Dirichlet model. We find that: changes in prime minister tend to be associated with topic changes even when the party in power does not change; and the effect of elections has been increasing since the 1980s, regardless of whether the election results in a change of prime minister.


翻译:议会的政治和讨论很可能受到执政党及相关选举周期的影响。然而,对于这些事件在多大程度上影响到讨论,以及这种变化如何随时间推移而变化,我们鲜为人知。我们系统地分析澳大利亚联邦议会的讨论如何因两种类型的政治事件而发生变化:选举和更换总理。我们使用1901年至2018年澳大利亚联邦议会根据抽取和清理现有公共记录而新建的一组数据来说明其言论。我们使用一个相关主题模型来获取一套可比议题,从而减少了该数据集的讨论的广度。我们然后将这些议题与比较议程项目联系起来,然后使用巴伊西亚等级的Dirichlet模式来分析这两类事件的影响。我们发现:总理的变动往往与主题变化有关,即使当掌权的政党没有改变;选举的效果自1980年代以来一直在增加,无论选举结果是否导致总理的更替。

0
下载
关闭预览

相关内容

Fariz Darari简明《博弈论Game Theory》介绍,35页ppt
专知会员服务
112+阅读 · 2020年5月15日
强化学习最新教程,17页pdf
专知会员服务
182+阅读 · 2019年10月11日
2019年机器学习框架回顾
专知会员服务
36+阅读 · 2019年10月11日
【SIGGRAPH2019】TensorFlow 2.0深度学习计算机图形学应用
专知会员服务
41+阅读 · 2019年10月9日
最新BERT相关论文清单,BERT-related Papers
专知会员服务
53+阅读 · 2019年9月29日
CCF C类 | DSAA 2019 诚邀稿件
Call4Papers
6+阅读 · 2019年5月13日
IEEE | DSC 2019诚邀稿件 (EI检索)
Call4Papers
10+阅读 · 2019年2月25日
【TED】生命中的每一年的智慧
英语演讲视频每日一推
10+阅读 · 2019年1月29日
A Technical Overview of AI & ML in 2018 & Trends for 2019
待字闺中
18+阅读 · 2018年12月24日
计算机类 | LICS 2019等国际会议信息7条
Call4Papers
3+阅读 · 2018年12月17日
CCF B类期刊IPM专刊截稿信息1条
Call4Papers
3+阅读 · 2018年10月11日
【计算机类】期刊专刊/国际会议截稿信息6条
Call4Papers
3+阅读 · 2017年10月13日
Adversarial Variational Bayes: Unifying VAE and GAN 代码
CreateAMind
7+阅读 · 2017年10月4日
Auto-Encoding GAN
CreateAMind
7+阅读 · 2017年8月4日
【今日新增】IEEE Trans.专刊截稿信息8条
Call4Papers
7+阅读 · 2017年6月29日
Invasion Dynamics in the Biased Voter Process
Arxiv
0+阅读 · 2022年1月20日
Arxiv
12+阅读 · 2021年3月25日
VIP会员
最新内容
人工智能赋能无人机:俄乌战争(万字长文)
专知会员服务
5+阅读 · 今天6:56
国外海军作战管理系统与作战训练系统
专知会员服务
2+阅读 · 今天4:16
美军条令《海军陆战队规划流程(2026版)》
专知会员服务
10+阅读 · 今天3:36
《压缩式分布式交互仿真标准》120页
专知会员服务
4+阅读 · 今天3:21
《电子战数据交换模型研究报告》
专知会员服务
6+阅读 · 今天3:13
《基于Transformer的异常舰船导航识别与跟踪》80页
《低数据领域军事目标检测模型研究》
专知会员服务
6+阅读 · 今天2:37
【CMU博士论文】物理世界的视觉感知与深度理解
专知会员服务
10+阅读 · 4月22日
相关资讯
CCF C类 | DSAA 2019 诚邀稿件
Call4Papers
6+阅读 · 2019年5月13日
IEEE | DSC 2019诚邀稿件 (EI检索)
Call4Papers
10+阅读 · 2019年2月25日
【TED】生命中的每一年的智慧
英语演讲视频每日一推
10+阅读 · 2019年1月29日
A Technical Overview of AI & ML in 2018 & Trends for 2019
待字闺中
18+阅读 · 2018年12月24日
计算机类 | LICS 2019等国际会议信息7条
Call4Papers
3+阅读 · 2018年12月17日
CCF B类期刊IPM专刊截稿信息1条
Call4Papers
3+阅读 · 2018年10月11日
【计算机类】期刊专刊/国际会议截稿信息6条
Call4Papers
3+阅读 · 2017年10月13日
Adversarial Variational Bayes: Unifying VAE and GAN 代码
CreateAMind
7+阅读 · 2017年10月4日
Auto-Encoding GAN
CreateAMind
7+阅读 · 2017年8月4日
【今日新增】IEEE Trans.专刊截稿信息8条
Call4Papers
7+阅读 · 2017年6月29日
Top
微信扫码咨询专知VIP会员