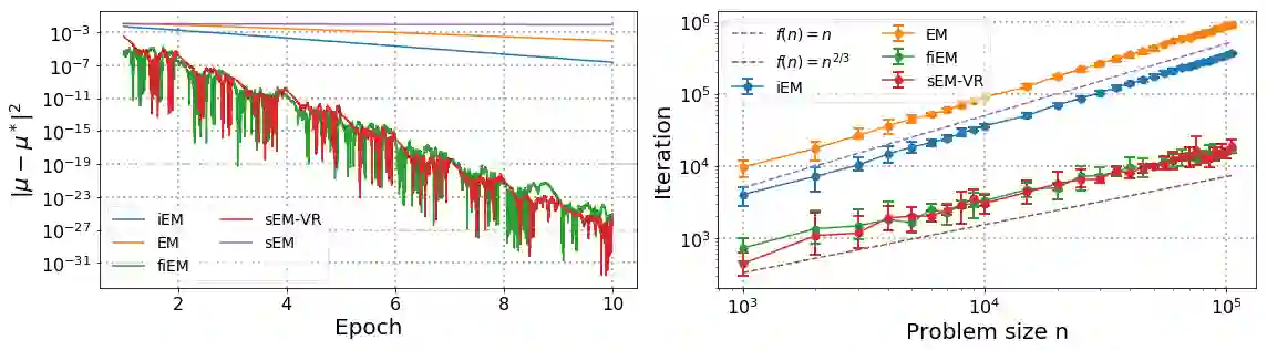
The EM algorithm is one of the most popular algorithm for inference in latent data models. The original formulation of the EM algorithm does not scale to large data set, because the whole data set is required at each iteration of the algorithm. To alleviate this problem, Neal and Hinton have proposed an incremental version of the EM (iEM) in which at each iteration the conditional expectation of the latent data (E-step) is updated only for a mini-batch of observations. Another approach has been proposed by Capp\'e and Moulines in which the E-step is replaced by a stochastic approximation step, closely related to stochastic gradient. In this paper, we analyze incremental and stochastic version of the EM algorithm as well as the variance reduced-version of Chen et. al. in a common unifying framework. We also introduce a new version incremental version, inspired by the SAGA algorithm by Defazio et. al. We establish non-asymptotic convergence bounds for global convergence. Numerical applications are presented in this article to illustrate our findings.


翻译:EM 算法是潜伏数据模型中最受欢迎的推算算法之一。 EM 算法的最初配方不是大数据集, 因为算法的每次迭代都需要整个数据集。 为了缓解这一问题, Neal 和 Hinton 提出了一个EM (iEM) 递增版本, 在每个迭代中, 对潜伏数据( E-step) 的有条件期望只为小型批量的观测更新。 Capp\'e 和 Molines 提出了另一种方法, 即E 步骤由与随机梯度密切相关的随机近似步骤取代。 在本文中, 我们分析了电离子算法的递增和随机版本, 以及在共同的统一框架中陈等人的变换变。 我们还引入了一个新版本的递增版本, 受Defazio 等人的SAGA 算法的启发。 我们为全球趋同建立了非抽调的趋同线。 本文章中介绍了数字应用来说明我们的调查结果。

0
下载
关闭预览

相关内容

FAST:Conference on File and Storage Technologies。 Explanation:文件和存储技术会议。 Publisher:USENIX。 SIT:http://dblp.uni-trier.de/db/conf/fast/
因果图,Causal Graphs,52页ppt
专知会员服务
253+阅读 · 2020年4月19日
《DeepGCNs: Making GCNs Go as Deep as CNNs》
专知会员服务
32+阅读 · 2019年10月17日
Keras François Chollet 《Deep Learning with Python 》, 386页pdf
专知会员服务
164+阅读 · 2019年10月12日
强化学习最新教程,17页pdf
专知会员服务
182+阅读 · 2019年10月11日
人工智能 | ISAIR 2019诚邀稿件(推荐SCI期刊)
Call4Papers
6+阅读 · 2019年4月1日
IEEE | DSC 2019诚邀稿件 (EI检索)
Call4Papers
10+阅读 · 2019年2月25日
人工智能 | CCF推荐期刊专刊约稿信息6条
Call4Papers
5+阅读 · 2019年2月18日
强化学习的Unsupervised Meta-Learning
CreateAMind
18+阅读 · 2019年1月7日
Unsupervised Learning via Meta-Learning
CreateAMind
44+阅读 · 2019年1月3日
A Technical Overview of AI & ML in 2018 & Trends for 2019
待字闺中
18+阅读 · 2018年12月24日
disentangled-representation-papers
CreateAMind
26+阅读 · 2018年9月12日
人工智能 | 国际会议/SCI期刊约稿信息9条
Call4Papers
3+阅读 · 2018年1月12日
【论文】变分推断(Variational inference)的总结
机器学习研究会
39+阅读 · 2017年11月16日
Auto-Encoding GAN
CreateAMind
7+阅读 · 2017年8月4日
Optimization for deep learning: theory and algorithms
Arxiv
106+阅读 · 2019年12月19日
Arxiv
5+阅读 · 2018年6月12日
Arxiv
5+阅读 · 2017年12月14日
VIP会员
最新内容
人工智能在战场行动中的演进及伊朗案例
专知会员服务
2+阅读 · 今天13:08
美AI公司Anthropic推出网络安全模型“Mythos”
专知会员服务
2+阅读 · 今天12:58
【博士论文】面向城市环境的可解释计算机视觉
专知会员服务
0+阅读 · 今天12:57
大语言模型的自改进机制:技术综述与未来展望
专知会员服务
0+阅读 · 今天12:50
《第四代军事特种作战部队选拔与评估》
专知会员服务
1+阅读 · 今天6:23
相关资讯
人工智能 | ISAIR 2019诚邀稿件(推荐SCI期刊)
Call4Papers
6+阅读 · 2019年4月1日
IEEE | DSC 2019诚邀稿件 (EI检索)
Call4Papers
10+阅读 · 2019年2月25日
人工智能 | CCF推荐期刊专刊约稿信息6条
Call4Papers
5+阅读 · 2019年2月18日
强化学习的Unsupervised Meta-Learning
CreateAMind
18+阅读 · 2019年1月7日
Unsupervised Learning via Meta-Learning
CreateAMind
44+阅读 · 2019年1月3日
A Technical Overview of AI & ML in 2018 & Trends for 2019
待字闺中
18+阅读 · 2018年12月24日
disentangled-representation-papers
CreateAMind
26+阅读 · 2018年9月12日
人工智能 | 国际会议/SCI期刊约稿信息9条
Call4Papers
3+阅读 · 2018年1月12日
【论文】变分推断(Variational inference)的总结
机器学习研究会
39+阅读 · 2017年11月16日
Auto-Encoding GAN
CreateAMind
7+阅读 · 2017年8月4日
Top
微信扫码咨询专知VIP会员