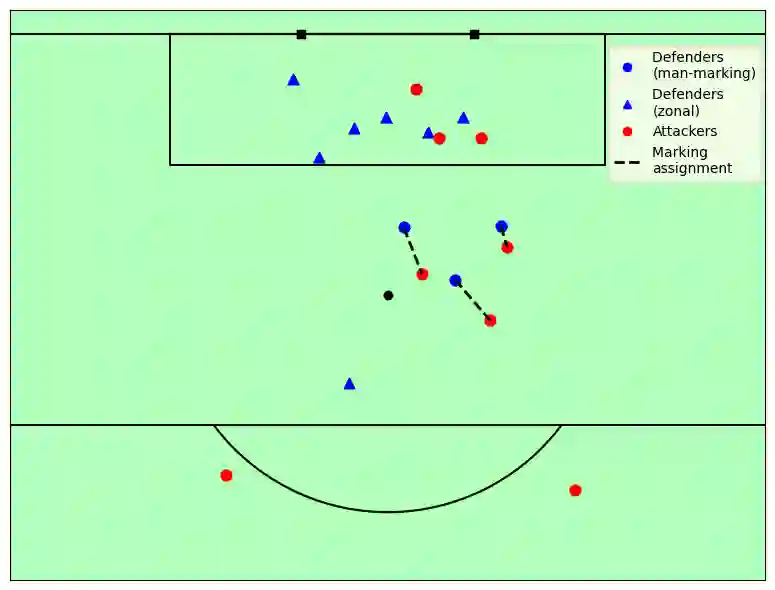
Evaluating off-ball defensive performance in football is challenging, as traditional metrics do not capture the nuanced coordinated movements that limit opponent action selection and success probabilities. Although widely used possession value models excel at appraising on-ball actions, their application to defense remains limited. Existing counterfactual methods, such as ghosting models, help extend these analyses but often rely on simulating "average" behavior that lacks tactical context. To address this, we introduce a covariate-dependent Hidden Markov Model (CDHMM) tailored to corner kicks, a highly structured aspect of football games. Our label-free model infers time-resolved man-marking and zonal assignments directly from player tracking data. We leverage these assignments to propose a novel framework for defensive credit attribution and a role-conditioned ghosting method for counterfactual analysis of off-ball defensive performance. We show how these contributions provide a interpretable evaluation of defensive contributions against context-aware baselines.


翻译:评估足球中的无球防守表现具有挑战性,因为传统指标无法捕捉那些限制对手行动选择和成功概率的微妙协调运动。尽管广泛使用的控球价值模型擅长评估有球行动,但其在防守方面的应用仍然有限。现有的反事实方法,如幻影模型,有助于扩展这些分析,但通常依赖于模拟缺乏战术背景的"平均"行为。为解决这一问题,我们引入了一种专为角球(足球比赛中高度结构化的环节)设计的协变量依赖隐马尔可夫模型。我们的无标签模型直接从球员追踪数据中推断出时间分辨的人盯人和区域防守任务分配。我们利用这些任务分配,提出了一种新颖的防守贡献归因框架,以及一种用于无球防守表现反事实分析的角色条件幻影方法。我们展示了这些贡献如何针对情境感知基线,提供可解释的防守贡献评估。

0
下载
关闭预览

相关内容

《综述:基于博弈论和机器学习的防御性欺骗方法》
专知会员服务
51+阅读 · 2022年10月2日
机器学习中如何处理不平衡数据?
机器之心
13+阅读 · 2019年2月17日
【干货】监督学习与无监督学习简介
专知
14+阅读 · 2018年4月4日
推荐|机器学习中的模型评价、模型选择和算法选择!
全球人工智能
10+阅读 · 2018年2月5日
国家自然科学基金
333+阅读 · 2017年12月31日
国家自然科学基金
6+阅读 · 2017年12月31日
国家自然科学基金
14+阅读 · 2015年12月31日
国家自然科学基金
0+阅读 · 2014年12月31日
国家自然科学基金
17+阅读 · 2014年12月31日
国家自然科学基金
17+阅读 · 2012年12月31日
国家自然科学基金
24+阅读 · 2011年12月31日
VIP会员
最新内容
《美陆军条例:陆军指挥政策(2026版)》
专知会员服务
10+阅读 · 4月21日
《军用自主人工智能系统的治理与安全》
专知会员服务
7+阅读 · 4月21日
《系统簇式多域作战规划范畴论框架》
专知会员服务
10+阅读 · 4月20日
高效视频扩散模型:进展与挑战
专知会员服务
5+阅读 · 4月20日
乌克兰前线的五项创新
专知会员服务
8+阅读 · 4月20日
 军事通信系统与设备的技术演进综述
专知会员服务
8+阅读 · 4月20日
《北约标准:医疗评估手册》174页
专知会员服务
6+阅读 · 4月20日
相关VIP内容
《综述:基于博弈论和机器学习的防御性欺骗方法》
专知会员服务
51+阅读 · 2022年10月2日
相关基金
国家自然科学基金
333+阅读 · 2017年12月31日
国家自然科学基金
6+阅读 · 2017年12月31日
国家自然科学基金
14+阅读 · 2015年12月31日
国家自然科学基金
0+阅读 · 2014年12月31日
国家自然科学基金
17+阅读 · 2014年12月31日
国家自然科学基金
17+阅读 · 2012年12月31日
国家自然科学基金
24+阅读 · 2011年12月31日
Top
微信扫码咨询专知VIP会员