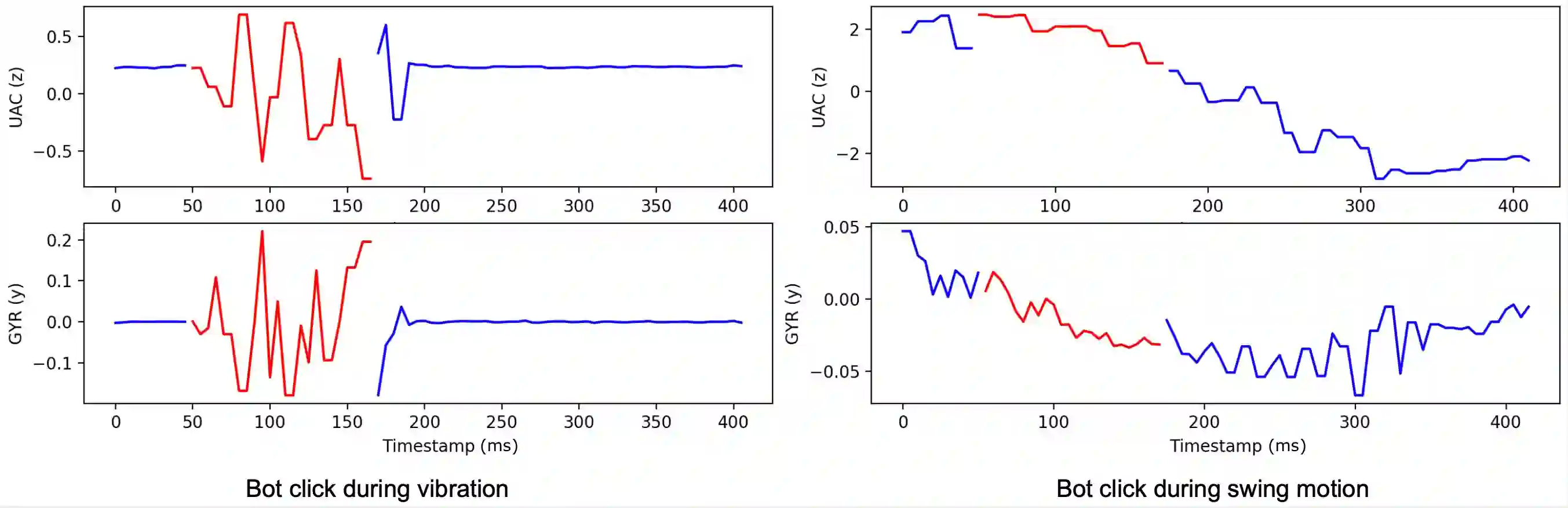
Recent studies show that 20.4% of the internet traffic originates from automated agents. To identify and block such ill-intentioned traffic, mechanisms that verify the humanness of the user are widely deployed across the internet. CAPTCHA is the most popular among such mechanisms. Original CAPTCHAs require extra user effort (e.g., solving mathematical or image-based puzzles), which severely harms user's experience, especially on mobile, and provide only sporadic verification of their humanness. More recent solutions like Google's reCAPTCHA v3 leverage attestation data (e.g., user behavioral data, device fingerprints) shared with a remote server, thus raising significant privacy concerns. To address all of the above, we present ZKSENSE: the first zero knowledge proof-based humanness attestation system designed for mobile devices. Contrary to state-of-the-art systems, ZKSENSE assesses humanness continuously on the background in a privacy preserving way. ZKSENSE achieves that by classifying the motion sensor outputs of the mobile device based on a model trained by using both publicly available sensor data and data collected from a small group of volunteers. The classification result is enclosed in a zero knowledge proof of humanness that can be safely shared with an attestation service such as Privacy Pass. We implement ZKSENSE as an Android service to demonstrate its effectiveness and practicability. In our evaluation, we show that ZKSENSE verifies the humanness of the users asynchronously, on the background, without degrading their experience or jeopardizing user privacy, while it achieves 91% accuracy across a variety of attack scenarios. On a two years old Samsung S9, each attestation takes around 3 seconds in total (when visual CAPTCHAs need 9.8 seconds) and consumes a negligible amount of battery.


翻译:最近的研究显示,20.4%的互联网流量来自自动化代理商。为了识别和阻止这种恶意流量,与远程服务器共享的验证用户人性的机制(例如用户行为数据、设备指纹等)在互联网上广泛部署。CAPTCHA是这类机制中最受欢迎的机制。原始CAPTCHA需要额外的用户努力(例如,解决数学或基于图像的谜题),这严重损害了用户的经验,特别是在移动方面,并且只提供零星的人类特征验证。最近的一些解决方案,如Google的RECAPTCHA v3杠杆验证数据(例如,用户行为数据、设备指纹等)与远程服务器共享,从而引起对隐私的重大关切。为了解决上述所有问题,我们提出了ZKSENE:为移动设备设计的第一个零知识性校验人性证明系统(例如,解决数学或基于图像的谜团的谜团 ), ZKSSSSENEEE 能够将移动设备的运动传感器输出数据进行分类,而我们通过使用公开的感官能获取的准确的服务器数据,我们从服务器上获取的序列数据, 显示一个数据。

0
下载
关闭预览

相关内容

Automator是苹果公司为他们的Mac OS X系统开发的一款软件。 只要通过点击拖拽鼠标等操作就可以将一系列动作组合成一个工作流,从而帮助你自动的(可重复的)完成一些复杂的工作。Automator还能横跨很多不同种类的程序,包括:查找器、Safari网络浏览器、iCal、地址簿或者其他的一些程序。它还能和一些第三方的程序一起工作,如微软的Office、Adobe公司的Photoshop或者Pixelmator等。
《DeepGCNs: Making GCNs Go as Deep as CNNs》
专知会员服务
32+阅读 · 2019年10月17日
计算机 | 中低难度国际会议信息8条
Call4Papers
9+阅读 · 2019年6月19日
Transferring Knowledge across Learning Processes
CreateAMind
29+阅读 · 2019年5月18日
人工智能 | ISAIR 2019诚邀稿件(推荐SCI期刊)
Call4Papers
6+阅读 · 2019年4月1日
强化学习的Unsupervised Meta-Learning
CreateAMind
18+阅读 · 2019年1月7日
Unsupervised Learning via Meta-Learning
CreateAMind
44+阅读 · 2019年1月3日
RL 真经
CreateAMind
6+阅读 · 2018年12月28日
A Technical Overview of AI & ML in 2018 & Trends for 2019
待字闺中
18+阅读 · 2018年12月24日
计算机视觉近一年进展综述
机器学习研究会
9+阅读 · 2017年11月25日
【推荐】YOLO实时目标检测(6fps)
机器学习研究会
20+阅读 · 2017年11月5日
强化学习 cartpole_a3c
CreateAMind
9+阅读 · 2017年7月21日
Advances and Open Problems in Federated Learning
Arxiv
18+阅读 · 2019年12月10日
Clustered Object Detection in Aerial Images
Arxiv
5+阅读 · 2019年8月27日
Object Detection in 20 Years: A Survey
Arxiv
48+阅读 · 2019年5月13日
Arxiv
7+阅读 · 2018年12月5日
Arxiv
5+阅读 · 2018年5月16日
VIP会员
最新内容
非对称优势:美海军开发低成本反无人机技术
专知会员服务
4+阅读 · 今天4:39
《美战争部小企业创新研究(SBIR)计划》
专知会员服务
5+阅读 · 今天2:48
《军事模拟:将军事条令与目标融入AI智能体》
专知会员服务
8+阅读 · 今天2:43
【NTU博士论文】3D人体动作生成
专知会员服务
6+阅读 · 4月24日
以色列军事技术对美国军力发展的持续性赋能
专知会员服务
8+阅读 · 4月24日
《深度强化学习在兵棋推演中的应用》40页报告
专知会员服务
13+阅读 · 4月24日
《多域作战面临复杂现实》
专知会员服务
9+阅读 · 4月24日
《印度的多域作战:条令与能力发展》报告
专知会员服务
4+阅读 · 4月24日
相关VIP内容
《DeepGCNs: Making GCNs Go as Deep as CNNs》
专知会员服务
32+阅读 · 2019年10月17日
相关资讯
计算机 | 中低难度国际会议信息8条
Call4Papers
9+阅读 · 2019年6月19日
Transferring Knowledge across Learning Processes
CreateAMind
29+阅读 · 2019年5月18日
人工智能 | ISAIR 2019诚邀稿件(推荐SCI期刊)
Call4Papers
6+阅读 · 2019年4月1日
强化学习的Unsupervised Meta-Learning
CreateAMind
18+阅读 · 2019年1月7日
Unsupervised Learning via Meta-Learning
CreateAMind
44+阅读 · 2019年1月3日
RL 真经
CreateAMind
6+阅读 · 2018年12月28日
A Technical Overview of AI & ML in 2018 & Trends for 2019
待字闺中
18+阅读 · 2018年12月24日
计算机视觉近一年进展综述
机器学习研究会
9+阅读 · 2017年11月25日
【推荐】YOLO实时目标检测(6fps)
机器学习研究会
20+阅读 · 2017年11月5日
强化学习 cartpole_a3c
CreateAMind
9+阅读 · 2017年7月21日
Top
微信扫码咨询专知VIP会员