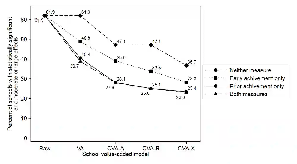
School accountability systems increasingly hold schools to account for their performances using value-added models purporting to measure the effect of schools on student learning. The most common approach is to fit a linear regression of student current achievement on student prior achievement, where the school effects are the school means of the predicted residuals. In the literature further adjustments are made for student sociodemographics and sometimes school composition and 'non-malleable' characteristics. However, accountability systems typically make fewer adjustments: for transparency to end users, because data is unavailable or of insufficient quality, or for ideological reasons. There is therefore considerable interest in understanding the extent to which simpler models give similar school effects to more theoretically justified but complex models. We explore these issues via a case study and empirical analysis of England's 'Progress 8' secondary school accountability system.


翻译:学校问责制度越来越多地利用旨在衡量学校对学生学习的影响的增值模式,让学校对其表现负责; 最常见的办法是,将学生目前成绩的线性倒退与学生在学前成绩相适应,因为学校的作用是学校预测的残余物的学习手段; 在文献中,对学生的社会人口学,有时是学校的组成和“不可变化”的特点作了进一步调整; 然而,问责制度通常减少调整:对最终用户的透明度,因为数据缺乏或质量不足,或出于意识形态原因; 因此,人们很有兴趣了解更简单的模式在多大程度上在理论上更合理、但复杂的模式中产生了类似的学校影响; 我们通过案例研究和对英格兰的“进步8”中学问责制度的经验分析来探讨这些问题。

0
下载
关闭预览

相关内容

ACM/IEEE第23届模型驱动工程语言和系统国际会议,是模型驱动软件和系统工程的首要会议系列,由ACM-SIGSOFT和IEEE-TCSE支持组织。自1998年以来,模型涵盖了建模的各个方面,从语言和方法到工具和应用程序。模特的参加者来自不同的背景,包括研究人员、学者、工程师和工业专业人士。MODELS 2019是一个论坛,参与者可以围绕建模和模型驱动的软件和系统交流前沿研究成果和创新实践经验。今年的版本将为建模社区提供进一步推进建模基础的机会,并在网络物理系统、嵌入式系统、社会技术系统、云计算、大数据、机器学习、安全、开源等新兴领域提出建模的创新应用以及可持续性。 官网链接:http://www.modelsconference.org/
Linux导论,Introduction to Linux,96页ppt
专知会员服务
82+阅读 · 2020年7月26日
【哈佛大学商学院课程Fall 2019】机器学习可解释性
专知会员服务
105+阅读 · 2019年10月9日
学术报告|港科大助理教授宋阳秋博士
科技创新与创业
7+阅读 · 2019年7月19日
计算机 | CCF推荐期刊专刊信息5条
Call4Papers
3+阅读 · 2019年4月10日
人工智能 | CCF推荐期刊专刊约稿信息6条
Call4Papers
5+阅读 · 2019年2月18日
A Technical Overview of AI & ML in 2018 & Trends for 2019
待字闺中
18+阅读 · 2018年12月24日
Disentangled的假设的探讨
CreateAMind
9+阅读 · 2018年12月10日
Hierarchical Disentangled Representations
CreateAMind
4+阅读 · 2018年4月15日
人工智能 | 国际会议/SCI期刊约稿信息9条
Call4Papers
3+阅读 · 2018年1月12日
【推荐】自然语言处理(NLP)指南
机器学习研究会
35+阅读 · 2017年11月17日
Arxiv
0+阅读 · 2021年9月16日
Arxiv
66+阅读 · 2021年6月18日
Arxiv
3+阅读 · 2018年2月24日
VIP会员
最新内容
人工智能赋能无人机:俄乌战争(万字长文)
专知会员服务
5+阅读 · 今天6:56
国外海军作战管理系统与作战训练系统
专知会员服务
2+阅读 · 今天4:16
美军条令《海军陆战队规划流程(2026版)》
专知会员服务
10+阅读 · 今天3:36
《压缩式分布式交互仿真标准》120页
专知会员服务
4+阅读 · 今天3:21
《电子战数据交换模型研究报告》
专知会员服务
6+阅读 · 今天3:13
《基于Transformer的异常舰船导航识别与跟踪》80页
《低数据领域军事目标检测模型研究》
专知会员服务
6+阅读 · 今天2:37
【CMU博士论文】物理世界的视觉感知与深度理解
专知会员服务
10+阅读 · 4月22日
相关VIP内容
Linux导论,Introduction to Linux,96页ppt
专知会员服务
82+阅读 · 2020年7月26日
【哈佛大学商学院课程Fall 2019】机器学习可解释性
专知会员服务
105+阅读 · 2019年10月9日
相关资讯
学术报告|港科大助理教授宋阳秋博士
科技创新与创业
7+阅读 · 2019年7月19日
计算机 | CCF推荐期刊专刊信息5条
Call4Papers
3+阅读 · 2019年4月10日
人工智能 | CCF推荐期刊专刊约稿信息6条
Call4Papers
5+阅读 · 2019年2月18日
A Technical Overview of AI & ML in 2018 & Trends for 2019
待字闺中
18+阅读 · 2018年12月24日
Disentangled的假设的探讨
CreateAMind
9+阅读 · 2018年12月10日
Hierarchical Disentangled Representations
CreateAMind
4+阅读 · 2018年4月15日
人工智能 | 国际会议/SCI期刊约稿信息9条
Call4Papers
3+阅读 · 2018年1月12日
【推荐】自然语言处理(NLP)指南
机器学习研究会
35+阅读 · 2017年11月17日
Top
微信扫码咨询专知VIP会员