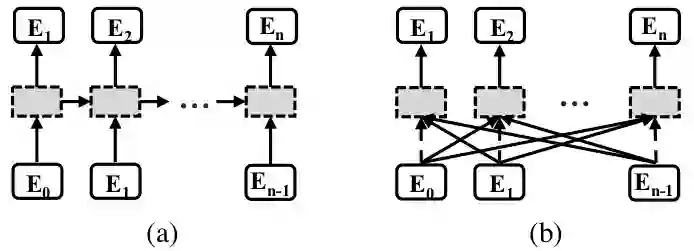
Scene text image contains two levels of contents: visual texture and semantic information. Although the previous scene text recognition methods have made great progress over the past few years, the research on mining semantic information to assist text recognition attracts less attention, only RNN-like structures are explored to implicitly model semantic information. However, we observe that RNN based methods have some obvious shortcomings, such as time-dependent decoding manner and one-way serial transmission of semantic context, which greatly limit the help of semantic information and the computation efficiency. To mitigate these limitations, we propose a novel end-to-end trainable framework named semantic reasoning network (SRN) for accurate scene text recognition, where a global semantic reasoning module (GSRM) is introduced to capture global semantic context through multi-way parallel transmission. The state-of-the-art results on 7 public benchmarks, including regular text, irregular text and non-Latin long text, verify the effectiveness and robustness of the proposed method. In addition, the speed of SRN has significant advantages over the RNN based methods, demonstrating its value in practical use.


翻译:文字图象包含两个层次的内容:视觉纹理和语义信息。虽然以往的现场文字识别方法在过去几年里取得了很大进展,但用于帮助文字识别的采矿语义信息研究没有引起多少注意,但只探讨了类似于RNN的结构,以隐含地模拟语义信息。然而,我们注意到,基于RNN的方法有一些明显的缺点,例如根据时间的解码方式和单向序列传输语义背景,这大大限制了语义信息的帮助和计算效率。为了减少这些限制,我们提议了一个名为语义推理网络(SRN)的新型端到端可训练框架,用于准确的现场文字识别,在此过程中,引入了一个全球语义推理模块(GSRM),通过多路平行传输来捕捉全球语义背景。7个公共基准的状态结果,包括普通文本、非拉丁文本和非拉丁长文本,验证拟议方法的有效性和稳健性。此外,SRN的速度比基于RNNN的方法有相当大的优势,表明其实际使用的价值。

4
下载
关闭预览

相关内容

《计算机信息》杂志发表高质量的论文,扩大了运筹学和计算的范围,寻求有关理论、方法、实验、系统和应用方面的原创研究论文、新颖的调查和教程论文,以及描述新的和有用的软件工具的论文。官网链接:https://pubsonline.informs.org/journal/ijoc
专知会员服务
61+阅读 · 2020年3月19日
Stabilizing Transformers for Reinforcement Learning
专知会员服务
60+阅读 · 2019年10月17日
[综述]深度学习下的场景文本检测与识别
专知会员服务
78+阅读 · 2019年10月10日
Transferring Knowledge across Learning Processes
CreateAMind
29+阅读 · 2019年5月18日
无监督元学习表示学习
CreateAMind
27+阅读 · 2019年1月4日
A Technical Overview of AI & ML in 2018 & Trends for 2019
待字闺中
18+阅读 · 2018年12月24日
Facebook PyText 在 Github 上开源了
AINLP
7+阅读 · 2018年12月14日
ResNet, AlexNet, VGG, Inception:各种卷积网络架构的理解
全球人工智能
20+阅读 · 2017年12月17日
Capsule Networks解析
机器学习研究会
11+阅读 · 2017年11月12日
Auto-Encoding GAN
CreateAMind
7+阅读 · 2017年8月4日
Neural Module Networks for Reasoning over Text
Arxiv
9+阅读 · 2019年12月10日
Local Relation Networks for Image Recognition
Arxiv
4+阅读 · 2019年4月25日
Arxiv
3+阅读 · 2017年11月12日
VIP会员
最新内容
AutoScientists:自组织智能体团队驱动长期科学实验
战略前沿人工智能的再思考(中文)
专知会员服务
3+阅读 · 今天14:53
《量化地基防空系统间接效应的博弈论方法》
专知会员服务
3+阅读 · 今天14:51
“史诗怒火行动”中美军损失的作战飞机
专知会员服务
2+阅读 · 今天14:38
ICML 2026 | 理解上下文持续学习中的泛化与遗忘
专知会员服务
5+阅读 · 5月28日
Agent Harness综述:大模型智能体执行器工程全景
专知会员服务
13+阅读 · 5月28日
《基于理论的威慑效能评估》
专知会员服务
8+阅读 · 5月28日
相关VIP内容
Top
微信扫码咨询专知VIP会员