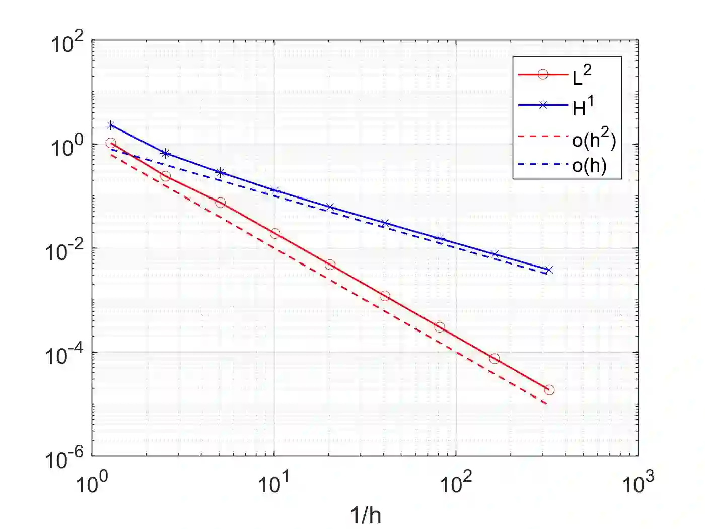
This work is focused on the modelling of signal propagations in myelinated axons to characterize the functions of the myelin sheath in the neural structure. Based on reasonable assumptions on the medium properties, we derive a two-dimensional neural-signaling model in cylindrical coordinates from the time-harmonic Maxwell's equations. The well-posedness of model is established upon Dirichlet boundary conditions at the two ends of the neural structure and the radiative condition in the radial direction of the structure. Using the perfectly matched layer (PML) method, we truncate the unbounded background medium and propose an approximate problem on the truncated domain. The well-posedness of the PML problem and the exponential convergence of the approximate solution to the exact solution are established. Numerical experiments based on finite element discretization are presented to demonstrate the theoretical results and the efficiency of our methods to simulate the signal propagation in axons.


翻译:这项工作的重点是模拟近离轴中的信号传播,以描述神经结构中弥散层的功能。根据对介质特性的合理假设,我们从时间-和谐Maxwell的方程式的圆柱形坐标中得出一个二维神经信号信号信号模型。模型的精度是在神经结构两端Drichlet边界条件和结构放射方向的辐射条件上确定的。我们使用与极匹配的层(PML)方法,对无线背景介质进行截断,并提出疏漏域的近似问题。确定了PML问题的准确位置和接近解决方案与确切解决方案的指数趋同。根据有限元素离散进行的数字实验是为了展示模拟轴中信号传播的理论结果和效率。

0
下载
关闭预览

相关内容

不可错过!《机器学习100讲》课程,UBC Mark Schmidt讲授
专知会员服务
76+阅读 · 2022年6月28日
专知会员服务
78+阅读 · 2021年3月16日
强化学习最新教程,17页pdf
专知会员服务
182+阅读 · 2019年10月11日
【哈佛大学商学院课程Fall 2019】机器学习可解释性
专知会员服务
105+阅读 · 2019年10月9日
【SIGGRAPH2019】TensorFlow 2.0深度学习计算机图形学应用
专知会员服务
41+阅读 · 2019年10月9日
VCIP 2022 Call for Special Session Proposals
CCF多媒体专委会
1+阅读 · 2022年4月1日
ACM MM 2022 Call for Papers
CCF多媒体专委会
5+阅读 · 2022年3月29日
AIART 2022 Call for Papers
CCF多媒体专委会
1+阅读 · 2022年2月13日
【ICIG2021】Check out the hot new trailer of ICIG2021 Symposium5
中国图象图形学学会CSIG
1+阅读 · 2021年11月11日
【ICIG2021】Check out the hot new trailer of ICIG2021 Symposium3
中国图象图形学学会CSIG
0+阅读 · 2021年11月9日
Hierarchically Structured Meta-learning
CreateAMind
27+阅读 · 2019年5月22日
Transferring Knowledge across Learning Processes
CreateAMind
29+阅读 · 2019年5月18日
Unsupervised Learning via Meta-Learning
CreateAMind
44+阅读 · 2019年1月3日
A Technical Overview of AI & ML in 2018 & Trends for 2019
待字闺中
18+阅读 · 2018年12月24日
disentangled-representation-papers
CreateAMind
26+阅读 · 2018年9月12日
国家自然科学基金
0+阅读 · 2015年12月31日
国家自然科学基金
0+阅读 · 2015年12月31日
国家自然科学基金
0+阅读 · 2014年12月31日
国家自然科学基金
0+阅读 · 2012年12月31日
国家自然科学基金
0+阅读 · 2012年12月31日
国家自然科学基金
0+阅读 · 2012年12月31日
国家自然科学基金
0+阅读 · 2011年12月31日
国家自然科学基金
0+阅读 · 2009年12月31日
VIP会员
最新内容
2025年大语言模型进展报告
专知会员服务
9+阅读 · 4月25日
多智能体协作机制
专知会员服务
8+阅读 · 4月25日
非对称优势:美海军开发低成本反无人机技术
专知会员服务
9+阅读 · 4月25日
《美战争部小企业创新研究(SBIR)计划》
专知会员服务
8+阅读 · 4月25日
《军事模拟:将军事条令与目标融入AI智能体》
专知会员服务
12+阅读 · 4月25日
【NTU博士论文】3D人体动作生成
专知会员服务
9+阅读 · 4月24日
以色列军事技术对美国军力发展的持续性赋能
专知会员服务
9+阅读 · 4月24日
《深度强化学习在兵棋推演中的应用》40页报告
专知会员服务
16+阅读 · 4月24日
《多域作战面临复杂现实》
专知会员服务
13+阅读 · 4月24日
《印度的多域作战:条令与能力发展》报告
专知会员服务
6+阅读 · 4月24日
相关资讯
VCIP 2022 Call for Special Session Proposals
CCF多媒体专委会
1+阅读 · 2022年4月1日
ACM MM 2022 Call for Papers
CCF多媒体专委会
5+阅读 · 2022年3月29日
AIART 2022 Call for Papers
CCF多媒体专委会
1+阅读 · 2022年2月13日
【ICIG2021】Check out the hot new trailer of ICIG2021 Symposium5
中国图象图形学学会CSIG
1+阅读 · 2021年11月11日
【ICIG2021】Check out the hot new trailer of ICIG2021 Symposium3
中国图象图形学学会CSIG
0+阅读 · 2021年11月9日
Hierarchically Structured Meta-learning
CreateAMind
27+阅读 · 2019年5月22日
Transferring Knowledge across Learning Processes
CreateAMind
29+阅读 · 2019年5月18日
Unsupervised Learning via Meta-Learning
CreateAMind
44+阅读 · 2019年1月3日
A Technical Overview of AI & ML in 2018 & Trends for 2019
待字闺中
18+阅读 · 2018年12月24日
disentangled-representation-papers
CreateAMind
26+阅读 · 2018年9月12日
相关基金
国家自然科学基金
0+阅读 · 2015年12月31日
国家自然科学基金
0+阅读 · 2015年12月31日
国家自然科学基金
0+阅读 · 2014年12月31日
国家自然科学基金
0+阅读 · 2012年12月31日
国家自然科学基金
0+阅读 · 2012年12月31日
国家自然科学基金
0+阅读 · 2012年12月31日
国家自然科学基金
0+阅读 · 2011年12月31日
国家自然科学基金
0+阅读 · 2009年12月31日
Top
微信扫码咨询专知VIP会员